Section 1

Preview this deck

Mean Value Theorem for Integrals

Front

Star 0%
Star 0%
Star 0%
Star 0%
Star 0%

0.0

0 reviews

5
0
4
0
3
0
2
0
1
0

Active users

0

All-time users

0

Favorites

0

Last updated

6 years ago

Date created

Mar 1, 2020

Cards (6)

Section 1

(6 cards)

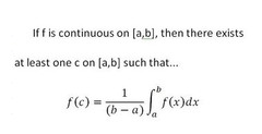
Mean Value Theorem for Integrals

Front

Back

Extreme Value Theorem

Front

Back

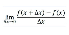
Limit Definition of a Derivative

Front

Back

Intermediate Value Theorem

Front

Back

Mean Value Theorem

Front

Given a continuous function [a,b] and a differentiable function (a,b), then there must be at least one c between a and b such that f'(c)=(f(b)-f(a))/(b-a).

Back

Continuity

Front

Limit from the left and right exists and therefore the limit exists. This value is equal to the value of the function at that value.

Back