Section 1

Preview this deck

acceleration of a pendulum

Front

Star 0%
Star 0%
Star 0%
Star 0%
Star 0%

0.0

0 reviews

5
0
4
0
3
0
2
0
1
0

Active users

2

All-time users

2

Favorites

0

Last updated

1 year ago

Date created

Mar 1, 2020

Cards (16)

Section 1

(16 cards)

acceleration of a pendulum

Front

4pi²/slope=g

Back

What is Hooke's Law?

Front

Force, F, applied to a spring is DIRECTLY PROPORTIONAL to the displacement, x, of the spring

Back

period length pendulum graph

Front

length on x (cm), period on y (s²). slope = change in period squared/change in length of string (s²/cm)

Back

Force of a Spring Equation

Front

Fs=kx

Back

period of a spring is inversely proportional to

Front

the square root of the spring constant.. Ts ∝ 1/√k

Back

Period of a Spring formula

Front

Ts=2π√(m/k)

Back

Force-displacement graph

Front

displacement (x) on the x, force on the Y. slope = F/x

Back

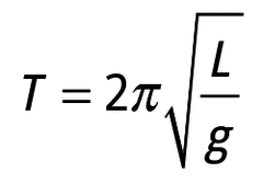
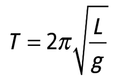
Period of a pendulum equation

Front

Back

PE spring equation

Front

PEs= 1/2kx²

Back

period of a spring is proportional to

Front

to the square root of its mass. Ts ∝√m

Back

to get a direct relationship between period of a spring and mass

Front

square the period

Back

period of a pendulum is..

Front

proportional to square root of length. Tp ∝ √l

Back

slope of a period of a spring and mass graph

Front

change in period of spring squared/change in mass (Ts²/m)

Back

the period of a pendulum is affected/not affected by?

Front

change in length causes significant changes in period. change in angle and change in mass cause negligible changes in period.

Back

what does the slope of a force vs displacement graph represent

Front

spring constant (F/x=K)

Back

PE spring

Front

when a spring is DISPLACED from its UNSTRESSED condition, spring (elastic) potential energy is stored in the spring.

Back