Section 1

Preview this deck

Receptors

Front

Star 0%
Star 0%
Star 0%
Star 0%
Star 0%

0.0

0 reviews

5
0
4
0
3
0
2
0
1
0

Active users

0

All-time users

0

Favorites

0

Last updated

6 years ago

Date created

Mar 1, 2020

Cards (164)

Section 1

(50 cards)

Receptors

Front

Special structures located on the membranes for hormones that allow living organisms to sense the conditions of their internal or external environment

Back

Phospholipid hydrophobic or philic?

Front

-Fatty acid tails = hydrophobic -PO4 head = hydrophilic -Makes the phospholipid bi-layer

Back

Amine

Front

NH2

Back

Saturated Fats

Front

-All C bonded to H -Max number of hydrogens -No double bonds (C=O) -Straight and long -Solid at room temp

Back

Membrane transport

Front

Are used for active transport, electron transport, facilitated diffusion

Back

Polymer

Front

Long molecules built by linking repeating building blocks in a chain

Back

Blood clotting

Front

Fibrin and Thrombin are used for blood clottin g

Back

Unsaturated fats

Front

-Double bonds (C=O) -Liquid at room temp -Bent

Back

Monomer of protein

Front

Amino acid (20 diff amino acids)

Back

Condensation Reaction

Front

Take out water in order to build a compound

Back

Lipids

Front

-fats (nonpolar) -phospholipids -steroids

Back

Cholesterol

Front

High level in blood may contribute to cardiovascular disease

Back

What is cholesterol used for?

Front

-Cell components -Animal cell membranes -Precursor of all other steroids

Back

Lipid Function

Front

-Long-term energy storage -Cushions organs -Insulates body

Back

Estradiol

Front

Uterus lining thickness, egg formtation

Back

Hormones

Front

Chemical messengers that are manufactured by the endocrine glands, travel through the bloodstream, and affect other tissues (insulin)

Back

Sulfhydryl

Front

SH

Back

Properties of the combinations of Carbon and Hydrogen

Front

-Nonpolar -Not soluble in H2O -Hydrophobic -Stable

Back

Organic molecules

Front

Molecules of life and are built around chains of carbon

Back

Carbonyl

Front

C=O

Back

Glycogen

Front

-alpha glucose -highly branched -helix 1,4 and 1,6 glycosidic linkage -quick release -storage in animals

Back

Catabolism

Front

The breaking down of complex molecules into simpler molecules (requires enzymes, and releases energy)

Back

Packing of DNA

Front

During mitosis

Back

Phospholipid Structure

Front

Glycerol + 2 fatty acids + PO4 (negative charge) -Makes the cell membrane

Back

Disaccharides

Front

Maltose (glucose + glucose) Lactose (glucose + galactose) Sucrose (glucose + fructose)

Back

Steroids

Front

4 fused C rings + (depends on what comes off the steroid) different functional groups to rings

Back

Protein Functions

Front

Catalysis, cytoskeleton, tensile strengthening, blood clotting, transportation, cell adhesion, membrane transport, hormones, receptors, immunity, packing of DNA

Back

Cellulose

Front

-Unbranched beta-glucose -Linear -1,4 glycosidic linkage -Structural material in cell wall of plants -Rigid

Back

Hydrolysis Reaction

Front

Put in water in order to break down a compound into a single substance

Back

Carboxyl

Front

COOH

Back

Building Fats

Front

3 fatty acids linked to glycerol with an ester linkage between OH and COOH

Back

Difference between aldehyde and ketone?

Front

The positioning of the c=o

Back

Cytoskeleton

Front

a microscopic network of protein filaments and tubules in the cytoplasm of many living cells, giving them shape and coherence.

Back

Carbohydrate Functions

Front

Quick energy Energy storage Structure

Back

Phosphate

Front

PO4

Back

Highly branched

Front

More enzymes can attach to the molecule which means faster reaction

Back

Starch

Front

Energy storage in plans a-glucos Amylose - Unbranched -1,4 glycosidic linkage -Slow release -Helix Amylopectin -Branched -1,4 and 1,6 glycosidic linkage -Helix

Back

Transport

Front

Hemoglobin transports O2 and CO2

Back

Cell adhesion

Front

Proteins on the membrane cause cell to attach to each other within tissues

Back

Hydroxl

Front

OH

Back

Tensile strengthening

Front

Fibrous proteins. Strengthens ligaments, tendons, skin and blood vessel walls (collagen)

Back

Immunity

Front

A condition of being able to resist a particular disease, especially through preventing development of a pathogenic microorganism or by counteracting the effects of its products.

Back

Macro-molecules

Front

Carbohydrates Lipids Protein Nucleic Acids

Back

Monosacchrides

Front

-Glucose -Galactose -Ribose -Fructose

Back

Monomers

Front

Building blocks, repeated small units, covalent bonds

Back

Catalysis

Front

A substance that increases the rate of reaction without altering anything else. It is not used up during the reaction, and can be used over and over again.

Back

Polysaccharides

Front

Cellulose Starch Glycogen Chitin

Back

Testosterone

Front

Primary sex characteristics (male/female parts, sex drive, production of sperm) Secondary sex characteristics (more hair, more muscle tone)

Back

Metabolism

Front

The web of all the enzyme-catalyzed reactions in a cell or organism (catabolism+anabolism)

Back

Anabolism

Front

The synthesis of complex molecules from simpler molecules (joins monomers by taking h2o out, requires energy and enzymes)

Back

Section 2

(50 cards)

Chemical reactions that release energy

Front

Exergonic, digesting polymers, hydrolysis= catabolism

Back

Optimum temp (enzymes)

Front

Greatest number of molecular collisions (human enzymes = 35 C- 40 C)

Back

Active site

Front

Enzyme's catalytic site; substrate fits into active site

Back

Properties of enzymes

Front

-Reaction specific -Not consumed in reaction -Affected by cellular conditions

Back

Reducing activation energy

Front

Catalysts - Reducing the amount of energy to start a reaction make it react faster

Back

Peptide bonds

Front

Covalent bonds between NH2 of one amino acid and COOH of another amino acid

Back

Sulfur containing amino acids

Front

Form disulfide bridges (covalent cross links between sulfhydryls)

Back

What does the R group of an amino acid do?

Front

It is different for each amino acid, and it confers unique chemical property and function

Back

Lock and Key Model

Front

Simplistic model of enzyme action

Back

Insulin

Front

A protein hormone synthesized in the pancreas that regulates blood sugar levels by facilitating the uptake of glucose into tissues

Back

Nonpolar amino acids (hydrocarbon)

Front

-Glycine -Alanine -Valine -Leucine

Back

Polar amino acids

Front

-Serine (O2) -Theorine (O2) -Cysteine -Tyrosine (O2) -Asparagine (O2)

Back

Rubisco

Front

Captures CO2 in plants

Back

Enzymes

Front

Increase rate of reaction without being consumed and reduce the activation energy without changing the free energy released or required

Back

Amino acid structure

Front

Central carbon, amino acid group, carboxyl (C=O), R group

Back

Cold: decrease temp (enzymes)

Front

Molecules move slower, decrease collisions between enzyme and substrate

Back

Affected by cellular conditions (enzymes)

Front

Any condition that affects protein structure (temp, pH, salinity)

Back

Not consumed in reaction (enzymes)

Front

Single enzyme molecules can catalyze thousands or more reactions per second

Back

Digestion (enzymes)

Front

Active site bind substrate and puts stress on bonds that must be broken, making it easier to separate molecules

Back

Changes in pH (enzymes)

Front

adds or removes hydrogens, disturbs bonds between the amino acids, denature the protein

Back

Heat: increase beyond optimum temp (enzymes)

Front

Denatures- increased energy level of molecules disrupts bonds in enzyme and between enzyme and substrate

Back

Induced Fit Model

Front

More accurate model of enzyme action, substrate binding cause enzyme to change shape in active site leading to a tighter fit

Back

What denatures a protein

Front

-Temperature -pH -Salinity

Back

Unfolding a protein (denaturing)

Front

COnditions that disturb pH, Hydrogen bonds, Ionic bonds, and disulfide bridges

Back

Naming conventions (enzymes)

Front

Enzymes are named for reaction they catalyze (-ase)

Back

Chemical reactions that require energy

Front

Endergonic, building polymers, condensation= anabolism

Back

Rhodopsin

Front

Pigment found in the eye that absorbs light

Back

Exergonic reaction

Front

Energy is released

Back

Examples of protein

Front

Rubisco, Insulin, Immoglobin, Rhodopsin, Collagen, Spider Silk

Back

Product

Front

End result of a reaction

Back

Substrate concentration reaction rate levels off

Front

all enzymes have active site engaged, all enzymes are saturated, max rate of reaction (only certain amount of active sites)

Back

Substrate

Front

Reactant which binds to enzyme

Back

Polymer of protein

Front

Polypeptide (can be more than one polypeptide)

Back

Collagen

Front

Fibrous protein that gives the skin form and strength

Back

What does denaturing do?

Front

Alters secondary and tertiary structure, and destroys functionality

Back

Amino acid sequence

Front

Amino acid sequence is coded for by the genes

Back

Immoglobin

Front

Antibodies, they bing/tag antigens that are foreign from pathogens (immune system)

Back

Activation Energy

Front

Amount of energy needed to destabilize the bonds of a molecules (moves the reaction over an energy level)

Back

Factors that affect enzyme functions

Front

Enzyme concentration, substrate concentration, temperature, pH, salinity, activators, inhibitors

Back

Proteomes

Front

All of the proteins produced by a cell, tissue, organism (what gene produced what protein)

Back

Endergonic reaciton

Front

Energy is needed

Back

Reaction specific (enzyme)

Front

Each enzyme works with a specific substrate

Back

Enzyme concentration reaction rate levels off

Front

Substrate becomes limiting factor, not all enzymes molecules can find substrate

Back

Synthesis (enzymes)

Front

Active site orients substrate in correct position for reaction

Back

Substrate concentration (enzymes)

Front

As substrate increases, reaction rate increases, more substrate = more frequently collide with enzyme

Back

Optimal pH (enzymes)

Front

Most humans = pH 6-8 Pepsin = pH 2-3 (stomach) Trypsin = pH 8 (small intestine)

Back

pH (enzymes)

Front

Depending on the level of pH the enzyme will denature or not

Back

Temperature (enzymes)

Front

Depending on the temperature, the enzyme is going to denature or the molecules will move slower

Back

Spider Silk

Front

structural protein that is used to make webs to catch preys.

Back

Enzyme concentration (enzymes)

Front

As enzyme increases, reaction rate increases, more enzyme =more frequently collide with substrate

Back

Section 3

(50 cards)

Covalent bonds

Front

Atoms sharing electrons to make it strong and stable (forms molecules)

Back

Activators (enzymes)

Front

keep enzyme in active form

Back

Draw a saturated fatty acid

Front

Back

Inhibitors (regulate enzymes) (enzymes)

Front

Molecules that reduce enzyme activity -competitive inhibitions -noncompetitive inhibitions -irreversible inhibitions -feedback inhibitions

Back

Metabolic Pathways

Front

Chemical reactions of life are organized in pathways

Back

Water vs Methane

Front

water absorbs a lot of energy, while methane doesn't absorb a lot of energy

Back

Use for ice floats

Front

Surface ice insulates water below allowing life to survive the winter

Back

Allosteric Regulation

Front

Conformational changes by regulatory molecule

Back

How lactase breaks down lactose

Front

Lactase breaks down lactose into glucose and galactose, by pouring lactose into a container filled with lactase gelatin beads which then breaks it down.

Back

Activators (help) (enzymes)

Front

Cofactors- nonprotein and small inorganic compounds and ions Coenzymes- nonprotein organic molecules that bind temporarily or perminatly to enzyme

Back

Ice floats

Front

Water in solid form is less dense than water at liquid form (H bonds form a crystal)

Back

Who falsified it?

Front

Wolher, by synthesizing urea (found in urine)

Back

Real world connection for universal solvent

Front

Water transports nutrients in your body through your blood (glucose, amino acids, cholesterol, fats, oxygen, sodium chloride in blood)

Back

Feedback Inhibition

Front

Regulation and coordination of production

Back

High specific heat

Front

Water resists changes in temperature (takes a lot to heat it up and cool it down)

Back

Paradigm shift

Front

Idea change after prove it false

Back

Hydrophobic

Front

Don't attract to water (non-polar)

Back

Universal solvent

Front

Polarity makes water a good solvent which means solvents dissolve solutes creating solutions

Back

Use for ice floats #2

Front

If ice sank, it would kill all marine life and freeze solid

Back

Feedback inhibition procedure

Front

Product is used by next step in pathway, final product in inhibitor of earlier step, not unnecessary accumulation of product

Back

Surface tension

Front

Because of cohesion water sticks to itself which allows the surface tension to be hard to break

Back

Noncompetitive inhibitions (enzymes)

Front

Inhibitor binds to site other than active site

Back

Competitive inhibitions (enzymes)

Front

Inhibitor and substrate "compete" for active site (penicillin- blocks enzyme bacteria used to build cell walls) (disulfiram- treats chronic alcoholism) over come by increasing substrate concentration

Back

Buffers

Front

It reserves the amount of hydrogen, it can either add or subtract hydrogen from the solution to keep it at a regular pH

Back

What is vitalism?

Front

The belief that organic matter cannot be made by non organic matter

Back

Cohesion

Front

Water sticks to itself

Back

Real world connection for adhesion and cohesion

Front

When water moves up the roots of a plant through the xylem vessels to get to the leaves to make photosynthesis.

Back

Irreversible inhibitions types (enzymes)

Front

Competitor- permenently binds to active site Allosteric- permenantly binds to allosteric site and changes shape on enzyme

Back

Chemical re-activity

Front

Atoms tend to complete/empty a partially fill valance shell

Back

Lactose free milk

Front

Sweeter than regular milk, monossaccharides are sweeter than dissaccharides and polymers, often times use lactose free milk to make ice cream because it has less ice crystals

Back

Hydrophilic

Front

Do attract to water (polar)

Back

Heat of vaporization

Front

Cooling system allows people to sweat the heat off

Back

Van derWaals forces

Front

ionic

Back

Water and pH

Front

neutral = 7, acidic = 1-7, basic = 7-14

Back

What metabolic pathways do?

Front

Divide chemical reaction into many small steps

Back

Adhesion

Front

Water sticks to other polar substances

Back

Nonpolar covalent bonds

Front

Pair of electrons shared equally by 2 atoms

Back

Real world connection for high specific heat

Front

Moderates temperatures in the ocean and then that causes the moderation of temperature on Earth

Back

How does high specific heat work?

Front

Energy absorbed when hydrogen bonds are broken

Back

Hydrogen bonds

Front

Weak bonds, attraction between (+) and (-)

Back

Irreversible inhibition (enzymes)

Front

Inhibitor permanently binds to enzyme

Back

Polar covalent bonds

Front

Pair of electrons shared unequally by 2 atoms (water- oxygen has a stronger attraction for the electrons than hydrogen)

Back

Chemistry of water

Front

H2O molecules form hydrogen bonds with each other and create sticky molecules

Back

HONC?

Front

Hydrogen, oxygen, nitrogen, carbon

Back

Hydrogen Bonding

Front

Polar water creates molecular attractions, it is a weak bond

Back

Capillary action

Front

Because of cohesion and adhesion water is able to move up against gravity

Back

Salinity (enzymes)

Front

Changes in salinity will add or remove cations and anions and disrupt bonds

Back

Properties of water

Front

Cohesion and adhesion, universal solvent, ice floats, high specific heat, heat of vaporization,

Back

Inhibitors (enzymes)

Front

Keep enzyme in inactive form

Back

Hydrophobic and hydrophilic interactions

Front

Interactions with H2O

Back

Section 4

(14 cards)

Molecular composition diagram for sugar

Front

Back

Draw a unsaturated fatty acid

Front

Back

Trans and cis fatty acids

Front

Unsaturated fatty acids can exist as trans and cis isomers

Back

Hydrogen location on the trans fats

Front

Hydrogen is located on the opposite side of the double bond producing a straight molecule

Back

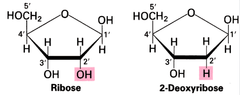
Draw a D-ribose

Front

Back

Draw b-glucose

Front

Back

Molecular diagram for lipids

Front

Back

Draw an amino acid

Front

Back

Draw a-glucose

Front

Back

Molecular diagram for polypeptide

Front

Back

Trans fats

Front

Not beneficial for human health, artificially made by pumping in hydrogen, packs together more tightly, increases risk of coronary heart disease

Back

Cis fats

Front

More natural than trans fats, pack less tightly

Back

B plated sheet

Front

Back

Hydrogen location on the cis fats

Front

Have hydrogen on the same side of the double bond making the molecule bend

Back