AP Calculus AB Knowledge

AP Calculus AB Knowledge

memorize.aimemorize.ai (lvl 286)
Section 1

Preview this deck

Types of discontinuity

Front

Star 0%
Star 0%
Star 0%
Star 0%
Star 0%

0.0

0 reviews

5
0
4
0
3
0
2
0
1
0

Active users

0

All-time users

0

Favorites

0

Last updated

6 years ago

Date created

Mar 1, 2020

Cards (87)

Section 1

(50 cards)

Types of discontinuity

Front

Removable Discontinuity: when a point on the graph is undefined or does not fit the rest of the graph (there is a hole) Jump Discontinuity: when two one-sided limits exist, but they have different values Infinite Discontinuity:

Back

What is the derivative of a position function? How do you find where the function is decreasing?

Front

Speed/Velocity. The function is decreasing when y' is negative (below the x-axis)

Back

Limit

Front

A limit is the value that a function or sequence "approaches" as the input or index approaches some value.

Back

If the appropriate conditions are satisfied, what does the Mean Value Theorem guarantee?

Front

There is at least one point c in the interval (a, b) at which f'(c) = [f(b) - f(a)] / [b - a]

Back

If the definition of the derivative is recognized, what does it guarantee?

Front

Back

Power Rule

Front

Function - x^n Derivative - 〖nx〗^(n-1)

Back

What does a cusp look like?

Front

When a function becomes vertical and then virtually doubles back on itself. Such pattern signals the presence of what is known as a vertical cusp.

Back

Second Derivative

Front

Take first derivative. Then, find the derivative of the first derivative. f'(x), then f''(x).

Back

What are the derivatives of trig functions?

Front

sin(x) = cos (x); cos (x) = -sin(x); tan(x) = sec^2(x)

Back

Power rule

Front

Back

Derivative rules

Front

Back

What does a jump discontinuity look like?

Front

Back

How do you determine the end behavior model of a polynomial function going to positive or negative infinity?

Front

take the variable with the largest exponent and substitute the variable with the limit

Back

Derivative of tangent inverse

Front

Back

How do you find a Local Extrema?

Front

1. Find the first derivative of f using the power rule. 2. Set the derivative equal to zero and solve for x. x = 0, -2, or These three x-values are the critical numbers of f.

Back

Reciprocal Rule

Front

Function 1/f Derivative −f'/f2

Back

Chain Rule (Using d/dx)

Front

Back

What does a Vertical Tangent look like?

Front

vertical tangent image

Back

How to find derivative?

Front

Solve a problem for (dy/dx). Solutions may involve power, product, chain or quotient rule.

Back

The derivative of the function f at the point x=a is the limit... if the limit exists.

Front

picture on email

Back

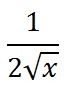
Find the derivative of the square root of f(x)

Front

The derivative of the square root of a function is equal to the derivative of the radical divided by the double of the root.

Back

how to find identify the original function of a graph

Front

Back

How do you find the absolute extrema of a function? How can you find the absolute extrema of a function on an interval with end points?

Front

Find critical points by funding where the first derivative is 0 or undefined, then plug in end points to f(x) and critical points to find extrema.

Back

Product rule?

Front

uv'+vu'

Back

When does a derivative not exist at 'x' (with a graph)?

Front

Corner Cusp Vertical Tangent Discontinuity

Back

Recognizing Implicit Differentiation

Front

Used when an equation contains a variable besides x For example: 3x + 4y = 12 derivative of y= dy/dx

Back

Difference Rule

Front

Function - f - g Derivative - f' − g'

Back

What conditions must be to satisfied for the Mean Value Theorem to be valid?

Front

f(x) is continuous in the interval [a, b] and differentiable in the interval (a, b)

Back

Implicit differentitation

Front

(image)

Back

Quotient Rule

Front

Function (f/g) Derivative

Back

How do we handle negative exponents?

Front

Negative exponents are moved to the bottom of a fraction to make the exponent positive. When finding derivatives, it's easier to solve when you put a factor from the denominator of the fraction to the top with a negative exponent and use the power rule.

Back

Rules of Piecewise Functions

Front

A Piecewise function is made up of sub-functions that apply to a certain interval of the main function's domain. First look at the conditions on the right to see where x is. Then just plug that number into the equation.

Back

Mean value theorem for derivatives

Front

if f(x) is continuous over [a,b] and differentiable over (a,b), then at some point c is between a and b.

Back

How do you interpret a velocity graph to determine speed?

Front

Velocity is the first derivative of position. In order to graph speed from velocity then you need to find the derivative of velocity from the graph. In order to do that you need to reflect the negative terms across the x-axis making them positive.

Back

What does a Corner look like?

Front

Corner at (17, 600) and (18, 530)

Back

Product Rule

Front

Function - fg Derivative - f g' + f' g

Back

Derivative of e^x

Front

e^x * derivative of argument

Back

Power Rule

Front

If function f is f(x) = x^n, where n is any integer, then f' (x) = n·x^n-1.

Back

Unit Circle

Front

Since C = 2πr, the circumference of a unit circle is 2π. A unit circle is a circle with a radius of one. Frequently, especially in trigonometry, the unit circle is the circle of radius one centered at the origin (0, 0) in the Cartesian coordinate system.

Back

Product Rule

Front

uv' + vu'

Back

What are discontinuities? When are limits nonexistent?

Front

Limits dont exist when the values from the left and righ are3 no equal

Back

Power rule

Front

X^2 --> 2X^2-1 ---> 2X

Back

Rate of Change

Front

Expressed as a ratio between a change in one variable relative to a corresponding change in another. When the function y=F(x) is concave up, the graph of its derivative y=f'(x) is increasing. When the function y=F(x) is concave down, the graph of its derivative y=f'(x) is decreasing.

Back

Quotient rule?

Front

(vu'-uv')/v^2

Back

Sum Rule

Front

Function - f + g Derivative - f' + g'

Back

Definition of a limit

Front

definition of a limit

Back

Chain Rule

Front

(F o G)' (x) = f'(g(x)) *g' (x)

Back

Chain Rule (Using ' )

Front

Function f(g(x)) Derivative f'(g(x))g'(x)

Back

What are the 1st and 2nd derivatives of displacement?

Front

1st derivative is velocity and the 2nd is acceleration. These are found by identifying the slope of displacement to find velocity, and slope of velocity to find acceleration

Back

How do I find an equation of a line tangent to a curve

Front

1.) Calculate the slope of a secant through P and a point Q nearby on the curve. 2.)Find the limiting value of a secant slope (if it exists) as Q approaches P along the curve. 3.)Define the slope of the curve at P to be this number and define the tangent to the curve at P to be the line through P with this slope.

Back

Section 2

(37 cards)

When is the Vertical asymptotes

Front

lim(x→0)⁡ (1/x)

Back

What does a tangent line look like?

Front

A straight line that hits a curve at exactly one point

Back

What graph comes as a result of finding the derivative of an position/displacement graph in absolute valuation?

Front

Speed Graph

Back

Where can you not draw a tangent line?

Front

A Corner

Back

When can removable discontinuities be fixed?

Front

Removable discontinuities can be "fixed" by re-defining the function.

Back

Mean Value Theorem

Front

F'(c)= f(b)-f(a)/b-a

Back

When are limits nonexistent?

Front

Jump Discontinuities: both one-sided limits exist, but have different values. Infinite Discontinuities: both one-sided limits are infinite. Endpoint Discontinuities: only one of the one-sided limits exists. Mixed: at least one of the one-sided limits does not exist.

Back

How do you find the local extrema of a function?

Front

Find the first derivative and set it equal to zero

Back

Chain Rule

Front

We use chain rule to find the derivative of the composition of two functions. formula : dy/dx f(g(x)) = f'(g(x))*g'(x)

Back

When is the second derivative of a function positive?

Front

When the graph of the function is concave up

Back

How do you find the derivative of an inverse function?

Front

If f and g are inverse functions, then f'(x)=1/(g'(f(x))

Back

How do you find the limit of a piece-wise function?

Front

Step 1 Evaluate the one-sided limits for each function. Step 2 If the one-sided limits are the same, the limit exists. If the one-sided limits are different, the limit doesn't exist.

Back

Derivative of sine inverse

Front

1/sqrt(1-x^2)

Back

How to find a vertical asymptote

Front

1. Set the denominator equal to zero 2. Simplify the fraction 3. Cancel out like terms on the top and the bottom

Back

How do you move a term from the denominator to the numerator?

Front

Make the power of the denominator negative than multiply the denominator by the numerator

Back

What graph comes as a result of finding the derivative of a displacement graph?

Front

Velocity Graph

Back

Derivative of a function in f(x) notation

Front

Back

What graph comes as a result of finding the derivative of a speed graph?

Front

Acceleration Graph

Back

critical points

Front

Is where there is a point in the domain of a function f at which f'=0 or f' does not exist is a critical point of f. *critical points are not always maximum and minimum values.

Back

Finding the vertical asymptote

Front

When the denominator of the function equals 0.

Back

Extreme Value theorem

Front

If f is continuous over a closed interval, then f has maximum an minimum values over that interval.

Back

What is an inflection point?

Front

A point of a curve at which a change in the direction of curvature occurs.

Back

When is the second derivative of a function negative?

Front

When the graph of the function is concave down

Back

Why can't you draw a tangent line on a corner?

Front

You can't draw a tangent line because the tangent line from the left and the right will be going different directions.

Back

Derivative of y

Front

dy/dx

Back

What graph comes as a result of finding the derivative of an acceleration graph?

Front

Jerk Graph

Back

When is a function increasing?

Front

When the first derivative/ slope is positive

Back

What must be true for a limit to exist?

Front

limit from the left = limit from the right

Back

What is a secant line? *Used in Mean Value Theorem

Front

A secant line is a straight line joining two points on a function. It is also equivalent to the average rate of change, or simply the slope between two points. The average rate of change of a function between two points and the slope between two points are the same thing.

Back

When is the horizontal asymptotes

Front

lim(x→∞) (1/x)

Back

When is a function decreasing?

Front

When the first derivative/ slope is negative

Back

What does removable continuity look like?

Front

Back

Increasing Functions

Front

Where the graph of the first derivative shows the original function being continuous, differentiable and increasing.

Back

f^-1 represents what?

Front

An inverse function

Back

What is point-slope form?

Front

Back

Derivative of cosine inverse

Front

- 1/sqrt(1-x^2)

Back

How do you find a local maxima on a graph?

Front

Set derivative equal to zero and solve for "x" to find critical points. Critical points are where the slope of the function is zero or undefined.

Back