Unit 3 Vocab Algebra 2

Unit 3 Vocab Algebra 2

memorize.aimemorize.ai (lvl 286)
Section 1

Preview this deck

a<0

Front

Star 0%
Star 0%
Star 0%
Star 0%
Star 0%

0.0

0 reviews

5
0
4
0
3
0
2
0
1
0

Active users

0

All-time users

0

Favorites

0

Last updated

6 years ago

Date created

Mar 1, 2020

Cards (15)

Section 1

(15 cards)

a<0

Front

reflects a function over the x-axis

Back

Imaginary solution

Front

Exists when taking the square root of a negative number

Back

vertex form of a quadratic

Front

Back

vertex from vertex form

Front

(h,k)

Back

P

Front

distance from vertex to directrix AND vertex to focus

Back

A= 1/4P

Front

Formula used to find A or P

Back

axis of symmetry from standard form

Front

x=-b/2a

Back

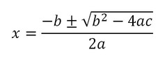
Quadratic formula

Front

Back

4 ways to solve a quadratic

Front

Factoring, Square root method, completing the square, quadratic formula

Back

standard form of a quadratic

Front

Back

Quadratic Regression

Front

A statistical method used to fit a quadratic model to a given data set.

Back

a>1

Front

vertically stretches a function

Back

axis of symmetry from vertex form

Front

x=h

Back

vertex from standard form

Front

(-b/2a, y)

Back

0<a<1

Front

vertically compresses a function

Back