AP Calculus Vocabulary

AP Calculus Vocabulary

memorize.aimemorize.ai (lvl 286)
Section 1

Preview this deck

End behavior of a function

Front

Star 0%
Star 0%
Star 0%
Star 0%
Star 0%

0.0

0 reviews

5
0
4
0
3
0
2
0
1
0

Active users

0

All-time users

0

Favorites

0

Last updated

6 years ago

Date created

Mar 1, 2020

Cards (10)

Section 1

(10 cards)

End behavior of a function

Front

the end behavior of a polynomial function is the behavior of the graph of f(x) as x approaches positive/negative infinity

Back

calculus

Front

the branch of mathematics that deals with the finding and properties of derivatives and integrals of functions.

Back

piecewise function

Front

a function composed of 2 or more functions

Back

point slope form

Front

y-y₁=m(x-x₁)

Back

rationalize the denominator

Front

when we move a root (square root or cube root) from the bottom of a fraction to the top

Back

tangent line

Front

line that has the same slope as the curve at the point it intersects

Back

standard form of

Front

Ax+By=C

Back

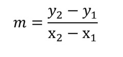
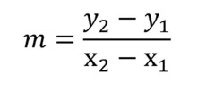
slope formula

Front

Back

slope-intercept form

Front

y=mx+b

Back

secant line

Front

straight line joining two points on a function

Back