Calculus AB AP - Limit Practice

Calculus AB AP - Limit Practice

memorize.aimemorize.ai (lvl 286)
Section 1

Preview this deck

5

Front

Star 0%
Star 0%
Star 0%
Star 0%
Star 0%

0.0

0 reviews

5
0
4
0
3
0
2
0
1
0

Active users

0

All-time users

0

Favorites

0

Last updated

6 years ago

Date created

Mar 1, 2020

Cards (20)

Section 1

(20 cards)

5

Front

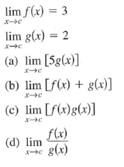
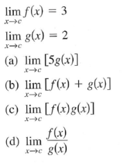
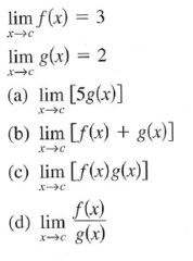
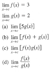
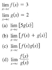
Evaluate the limit in Part B given the following information:

Back

-1

Front

Evaluate the limit in Part 9 given the graph:

Back

does not exist (black lined Graph)

Front

Evaluate the limit in Part 12 given the graph:

Back

-7

Front

Evaluate the limit:

Back

-3

Front

Evaluate the limit in Part 4 given the graph:

Back

negative infinity

Front

Evaluate the limit in Part 10 given the graph:

Back

Does Not Exist (analytical answer)

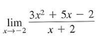
Front

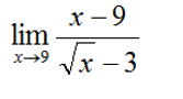
Evaluate the limit:

Back

6

Front

Evaluate the limit in Part C given the following information:

Back

8

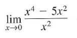
Front

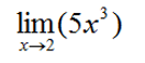
Evaluate the limit:

Back

40

Front

Evaluate the limit:

Back

positive infinity

Front

Evaluate the limit in Part 11 given the graph:

Back

-5

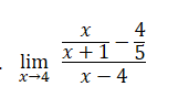
Front

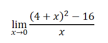
Evaluate the limit:

Back

1/25

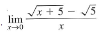
Front

Evaluate the limit:

Back

sqrt(5)/10

Front

Evaluate the limit:

Back

DNE (red lined Graph)

Front

Evaluate the limit in Part D given the graph:

Back

6

Front

Evaluate the limit:

Back

4

Front

Evaluate the limit in Part 2 given the graph:

Back

2 (answer with graphing question)

Front

Evaluate the limit in Part C given the graph:

Back

3/2

Front

Evaluate the limit in Part D given the following information:

Back

10

Front

Evaluate the limit in Part A given the following information:

Back