Section 1

Preview this deck

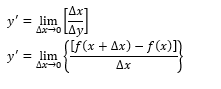
What is the discriminant in the quadratic equation?

Front

Star 0%
Star 0%
Star 0%
Star 0%
Star 0%

0.0

0 reviews

5
0
4
0
3
0
2
0
1
0

Active users

0

All-time users

1

Favorites

0

Last updated

6 years ago

Date created

Mar 1, 2020

Cards (246)

Section 1

(50 cards)

What is the discriminant in the quadratic equation?

Front

The terms under the radical

Back

What is the vertex?

Front

The "extremity" of the closed end of the parabola. It is where the parabola intercepts the parabolic axis

Back

What is the minor axis of an ellipse?

Front

The short axis of the ellipse perpendicular to the major axis

Back

What does (h,k) in the conic section denote?

Front

The coordinates of the center of the conic section

Back

What are the latera recta of an ellipse?

Front

The lines passing through the foci and perpendicular to the major axis

Back

What is the latus rectum for a parabola?

Front

The distance between the focus and the directrix. The vertex is halfway between the focus and the directrix

Back

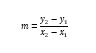
Perpendicular Slopes Equation

Front

Back

Straight Line Equation

Front

Back

If A=C but not equal to 0, then...

Front

The conic section is a circle

Back

What is the semi-minor distance of an ellipse?

Front

The distance along the minor axis from the center point to where the ellipse intersects the minor axis

Back

What is the perpendicular distance from the vertex to the asymptote?

Front

b as designated by the standard form of hyperbola

Back

What is an reflex angle?

Front

An angle more than 180 degrees

Back

Distance between two points on a plane

Front

Back

Standard form equation for horizontal parabola

Front

Back

What is the directrix of a parabola?

Front

A line that is outside the closed end of the parabola by the distance of half the latus rectum. The slope of the directrix is the slope of the parabola through the vertex

Back

What is the distance between the center of the hyperbola and either vertex?

Front

a as designated by the standard form of hyperbola

Back

Normal Equation of conic section

Front

Back

Distance between points in space

Front

Back

General form equation of conic section

Front

Back

What is an acute angle?

Front

An angle less than 90 degrees

Back

Equation for angle between lines

Front

Back

If A does not equal C, then...

Front

B^2-4AC <0 is an ellipse B^2-4AC >0 is a hyperbola B^2-4AC =0 is a parabola

Back

What is an obtuse angle?

Front

An angle more than 90 degrees

Back

What is an related angle?

Front

An angle that differs from some other by a multiple of 90 degrees

Back

What is the parabolic axis?

Front

The line across which the parabola is symmetric

Back

Features of ellipse with center at origin

Front

Back

Standard form equation of a hyperbola

Front

Back

If A=C=0 in a conic section, then...

Front

The conic section is a line

Back

What is the semi-major distance of a an ellipse?

Front

The distance along the major axis from the center point to a vertex

Back

Point-Slope form for equation of a line

Front

Back

Features of parabola with vertex at origin

Front

Back

What are the vertices of an ellipse?

Front

The points where the ellipse intersects the major axis

Back

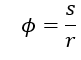
Equation for eccentricity of cutting plane through conic section

Front

Back

Features of an hyperbola with center at the origin

Front

Back

What is the transverse axis of a hyperbola?

Front

The line that passes through both foci of the hyperbola

Back

if A=C in a conic section, then...

Front

B of the conic section must be 0

Back

What are the conjugate axis of a hyperbola?

Front

The lines that pass through the foci of a hyperbola but are perpendicular to the transverse axis

Back

What is an straight sngle?

Front

An angle that is 180 degrees

Back

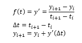
Quadratic Equations

Front

Back

Standard form equation for ellipse

Front

Back

What is the major axis of an ellipse?

Front

The long axis of the ellipse on which both Foci reside

Back

General form for equation of a line

Front

Back

Standard form equation of a circle

Front

Back

Length of tangent of circle to a point

Front

Back

What are complementary angles?

Front

2 angles whose sum is 90 degrees

Back

Standard form equation for a sphere

Front

Back

What does the r denote?

Front

A negative r is not a conic section A r value of 0 denotes a point A r value greater than 0 denotes the size of a conic section such as the radius of a circle

Back

What is a reciprocal?

Front

A pair of numbers that can be multiplied to produce 1

Back

What are the asymptotes of a hyperbola?

Front

The lines to which the hyperbola approaches to infinity. The lines intersect at the center of the hyperbola

Back

Standard form for equation of a line

Front

Back

Section 2

(50 cards)

Area of parallelogram

Front

Back

What is a right circular cylinder?

Front

a cylinder whose base is a circle and whose axis is perpendicular to the base

Back

Reciprocal Identities

Front

Back

What is cosecant?

Front

hypotenuse over opposite

Back

Area of circular sector

Front

Back

Law of Sines

Front

Back

Law of Cosines

Front

Back

Perimeter of a parallelogram

Front

Back

What is the apothem of a polygon?

Front

a line segment drawn from the center of the polygon to the midpoint of one of the sides

Back

Lengths of diagonals for parallelogram

Front

Back

What is secant?

Front

hypotenuse over adjacent

Back

What is sine?

Front

opposite over hypotenuse

Back

Two Angle Identities

Front

Back

Surface Area of Sphere

Front

Back

When are adjacent angles supplementary?

Front

When their exterior sides form a straight line

Back

What are supplementary angles?

Front

2 angles whose sum is 180 degrees

Back

Precise Perimeter of Ellipse

Front

Back

Volume of sphere

Front

Back

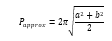
Approximate Perimeter of Ellipse

Front

Back

Operation Identities

Front

Back

What is a right circular cone?

Front

a cone whose base is a circle and whose axis is perpendicular to the base

Back

Length of Regular Polygon Side

Front

Back

What is a circular sector?

Front

A portion bounded by two radii and an arc

Back

What are features of similar triangles?

Front

The angles are the same and the sides are proportional in length

Back

Area outside parabolic curve

Front

Back

Ratio of cross section area to base area for right circular cone

Front

Back

Area inside parabolic curve

Front

Back

Central angle of circular segment

Front

Back

Half Angle Identities

Front

Back

Regular polygon angle equations

Front

Back

What is a circular segment?

Front

An region bounded by a circular arc and a chord

Back

What is the sum of all angles in all triangles?

Front

The sum of the angles is 180 degrees

Back

Volume of right circular cone

Front

Back

What is cotangent?

Front

adjacent of opposite

Back

What is a regular polygon?

Front

A polygon with equal sides and angles

Back

General Identities

Front

Back

What is a polyhedron?

Front

a 3-d object whose faces are all flat and whose edges are straight

Back

Central angle of circular sector

Front

Back

What is a prismoid?

Front

A polyhedron where all vertices are within two parallel planes

Back

Area of regular polygon

Front

Back

What are adjacent angles?

Front

angles with a common vertex and share one side

Back

What is cosine?

Front

adjacent over hypotenuse

Back

Double Angle Identities

Front

Back

Area of circular segment

Front

Back

Prismoid volume

Front

Back

What are vertical angles?

Front

Two equal angles with a common vertex and with sides mad by two intersecting lines.

Back

What is tangent?

Front

opposite over adjacent

Back

What is a right triangle?

Front

A trianhle with one angle of 90 degrees

Back

Area of ellipse

Front

Back

Surface Area of Right Circular Cone

Front

Back

Section 3

(50 cards)

Cross Product Identities

Front

Back

Vector Addition

Front

Back

What is paraboloids?

Front

The surface that is obtained by rotating a parabola about its axis

Back

Division in polar form

Front

Back

Kth root of complex number

Front

Back

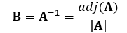
Classical Adjoint Equation

Front

Back

Matrix Transpose

Front

Back

In the form AX=B, which is the coefficient matrix?

Front

Matrix A

Back

Cramer's Rule Formula

Front

Back

If matrix A is zero and the system of equations in nonhomogeneous, what kind of solution exists?

Front

If the determinant of all substitutional matrices are 0, there would be an infinite number of solutions. Otherwise, no solution exists.

Back

What is the classical adjoint or adjugate?

Front

The transpose of the cofactor matrix

Back

If the system of linear equations in nonlinear and matrix A is nonzero, what kind of solution is there?

Front

There is a unique answer to the set of equations

Back

In the form AX=B, which is the variable matrix?

Front

Matrix X

Back

Logarithmic Base Change

Front

Back

What is the cross product of two parallel unit vectors?

Front

the product vector is 0

Back

Polar form of complex number

Front

Back

Vector Cross Product

Front

Back

Surface Area of right circular cylinder

Front

Back

What is a tensor?

Front

It has magnitude in a direction but the direction is not unique. The vector is defined in 9 components

Back

Identity Matrix

Front

Back

Vector Subtraction

Front

Back

Matrix Multiplication

Front

Back

What is a complex number?

Front

A number contacting an real number and an imaginary number

Back

If the system of linear equations is homogenous and matrix A is zero, what kind of solution is there?

Front

There is an infinite set of solutions

Back

What is the sign of the cofactor?

Front

Positive when i+j is even Negative when i+j is odd

Back

Dot product identities

Front

Back

Volume of right circular cylinder

Front

Back

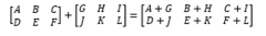
Matrix Addition

Front

Back

What is the minor of entry a_ij?

Front

The determinant of a submatrix resulting from the elimination of the single row i and the single column j

Back

Multiplication in polar form

Front

Back

Determinant of 3x3 matrix

Front

Back

Determinant of 2x2 matrix

Front

Back

What is the dot product of two orthogonal unit vectors?

Front

the product is 1

Back

de Moivre's Formula

Front

Back

What is a complex conjugate?

Front

The complex conjugate of a+jb is a-jb

Back

Vector Dot Product

Front

Back

In the form AX=B, which is the constant matrix?

Front

Matrix B

Back

What is the dot product of two parallel unit vectors?

Front

the product is 0

Back

What is Cramer's Rule?

Front

Calculate determinants of the original coefficient matrix A and of the n matrices resulting from the systematic replacement of a column in matrix A by the constant matrix B.

Back

What is the vector cross product?

Front

A vector that is orthogonal to the plane of the two vectors.

Back

Polar-Rectangular coordinate conversion

Front

Back

What is the resultant vector?

Front

The vector resulting from a mathematical operation of 2 or more vectors

Back

Euler's Formula

Front

Back

What is the vector dot product?

Front

A scalar that is proportional to the length of the projection of the first vector onto the second vector

Back

If the system of linear equations is homogenous and matrix A is non-zero, what kind of solution exists?

Front

Only the trivial solution

Back

What are cofactors?

Front

determinants of submatrices associated with particular entries in the original square matrix

Back

What is Gauss Jordan Elimination?

Front

1. The coefficient matrix is augmented by the constant matrix. 2. the elementary row operations are used to reduce the coefficient matrix into canonical form. All of the operations performed on the coefficient matrix are performed on the constant matrix. 3. The variable values that satisfy the simultaneous equations will be the entries in the constant matrix when the coefficient matrix is in canonical form

Back

Volume of paraboloid

Front

Back

Logarithmic Identities

Front

Back

How can the unit vector representation of the cross product be calculated?

Front

By determining the determinant of the 3x3 matrix formed by the two vectors and i,j,k

Back

Section 4

(50 cards)

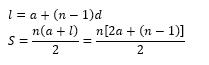
What is an arithmetic progression?

Front

A standard sequence that divergence whose terms increase by a common difference

Back

What is a series?

Front

the sum of the terms of a sequence

Back

Curvature Equation in rectangular coordinates

Front

Back

What is a progression or sequence?

Front

an ordered set of numbers

Back

What is the radius of curvature?

Front

The radius of a curve whose center lies on the concave side of the curve and whose tangent coincides with the tangent of the curve at that point

Back

What is a Taylor's Series?

Front

A series composed of a derivate of the original function and a polynomial.

Back

What is a Taylor Series used for?

Front

To approximate the value of f(b) based on the value of F(a). The function needs to be continuous in the interval [a,b]

Back

What is the interval of convergence for a power series?

Front

An infinite power series can only be convergent between -1<x<1

Back

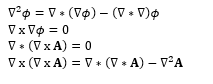
What is the divergence of a vector field?

Front

It is defined by the dot product of the del operator and the vector. It can be interpreted as the accumulation of flux in a small region

Back

Distributive Properties of Series

Front

Back

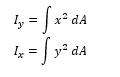
Polar Moment of Inertia Equation

Front

Back

How does the derivative test determine a local minimum?

Front

When the first derivative is zero and the second derivative is positive

Back

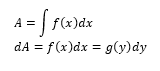
What is integration?

Front

the inverse of differentiation

Back

Radius of Curvature Equation

Front

Back

Gradient Equation of scalar function

Front

Back

What is the gradient vector field of a scalar function?

Front

It gives the maximum rate of change of a scalar function

Back

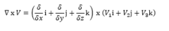
What is the curl of a vector field?

Front

The cross product of the del operator and the vector. The curl vector determines how fast the flux is rotating and in what direction the flux is going

Back

Divergence Equation for vector field

Front

Back

When is a series said to converge?

Front

When there is a sum, S, of all the terms. Hence, finite series are always convergant

Back

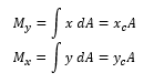
First Moment of Area Equation

Front

Back

What is the derivative of a function?

Front

The rate of change of a function

Back

What are extreme points?

Front

local maximums and minimums

Back

What is the cross product of two normal unit vectors?

Front

the product vector is orthogonal to both input vectors

Back

What are convergence features of a geometric progression?

Front

It convergence for a common ratio between -1 and 1. Otherwise it diverges

Back

What is the sharpness of a curve?

Front

The rate of change of inclination

Back

What is a convergent sequence?

Front

When the terms of the sequence approach infinity

Back

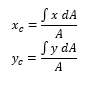
Integral form of centroid of area

Front

Back

What is L'Hopital's rule?

Front

It is used when both the numerator and the denominator are determinate ( I.e. both zero or both infinite)

Back

Moment of Inertia Equation

Front

Back

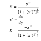
Curvature Equation

Front

Back

What is a divergent sequence?

Front

WHen the terms of the sequence approach infinity

Back

Equation for sum of arithmetic progression

Front

Back

How does the derivative test determine a point of inflection?

Front

When the second derivative is zero

Back

What are critical points?

Front

extreme points and inflections points

Back

What is a partial derivative?

Front

A derivative of a function with multiple independent variables with respect to only one of the independent variables

Back

What are inflection points?

Front

point of contraflexure

Back

Area under the curve

Front

Back

L'Hopital's Rule Equation

Front

Back

Power Series Equation

Front

Back

What is an infinite series?

Front

A series that has an infinite number of terms

Back

What is the general term of a sequence?

Front

The last term of the number set

Back

What is an antiderivative?

Front

An indefinite intergal

Back

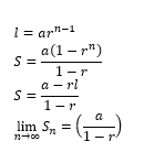
Equation for sum of geometric progression

Front

Back

How does the derivative test determine a local maximum?

Front

when the first derivate is zero and the second derivative is negative

Back

What is a power series?

Front

An exponentiating series which is exponentiated by the value of i and is composed of the value of x.

Back

Derivative Equation

Front

Back

What is an geometric progression?

Front

A sequence where the quotient between adjacent term is constant at a common ratio

Back

What is a scalar function?

Front

A mathematical expression that returns a single value

Back

Parallel Axis Theorem Equation

Front

Back

What is a limit?

Front

the value that a function approaches when an independent variable approaches a target value

Back

Section 5

(46 cards)

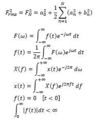
Fourier Transform Pairs

Front

Back

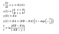
First order linear nonhomogeneous differential equation

Front

Back

What is the order of the differential equation?

Front

The highest order derivative in the expression

Back

Curl equation for vector field

Front

Back

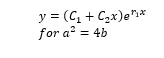
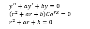
Solution to homogenous first-order differential equation

Front

Back

Vector Identities

Front

Back

Equations for Final and Initial value transform theorems

Front

Back

Laplace Transform Equation

Front

Back

What are harmonic terms in a series?

Front

Sinusoidal terms in a series

Back

What is the s-domain?

Front

An imaginary, nonreal domain that is used to simplify equations

Back

Parseval Relation Equation

Front

Back

What is a differential equation?

Front

A mathematical expression combining a function and one or more of its derivatives

Back

Solution for critical damping second order differential equation

Front

Back

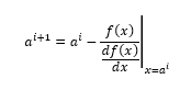
What is Numerical Analysis?

Front

The use of iterative methods for evaluating roots for equations

Back

What is the characteristic equation?

Front

The polynomial formed by replacing all the derivatives with variables raised to the power of their respective derivatives

Back

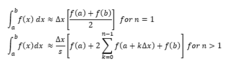
Trapezoidal Rule Equation

Front

Back

What is the Parseval Relation?

Front

It calculates the root-mean-square value of a Fourier series that has been truncated after N terms

Back

What is a reduced or complementary equation?

Front

The homogenous solution to a nonhomogenous differential equation

Back

Solution for underdamped second order differential equation

Front

Back

What is the d'Alembertian?

Front

The same as the Laplacian except for in 4 dimensions instead of 3

Back

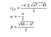
Root equation for homogenous second-order differential equation

Front

Back

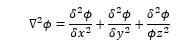
Equation for Laplacian of scalar function

Front

Back

Characteristic Equation

Front

Back

What is the Laplacian of a scalar function?

Front

The divergence of the gradient of the scalar function

Back

Fourier's Theorem

Front

Back

Newton's Method Equation

Front

Back

Euler's Rule Equation

Front

Back

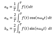
Fourier Coefficient Equations

Front

Back

Complete Solution to a nonhomogenous differential equation

Front

Back

What is a difference equation?

Front

A relationship between a function and its differences over some interval of integers

Back

Simpson's Rule Equation

Front

Back

What is a Fourier analysis?

Front

The process of finding the harmonic terms in a Fourier series

Back

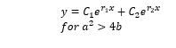
Solution to homogenous linear differential equation

Front

Back

When is the linear differential equation homogenous?

Front

When the forcing function is 0

Back

What is the method of undetermined coefficients?

Front

By matching the forcing function to a expression type on a table and then solving for the unknown coefficients in the expression obtained from the table

Back

What is the potential function?

Front

Back

Linear Differential Equation with constant coefficients

Front

Back

Roots of the characteristic equation

Front

Back

What is the spatial domain?

Front

Normal image space

Back

Difference Equation

Front

Back

What is a Fourier series?

Front

An infinite series composed of harmonic terms to model a waveform

Back

What is the most common way to perform Fourier and Laplace transforms?

Front

By using a table with matching equation types

Back

When is a differential equation said to have constant coefficients?

Front

When the multiplies of the linear differential equation are scalar

Back

What is a linear differential equation?

Front

A differential equation that can be written as a sum of multiples of the function y(x) and its derivatives.

Back

What is a transform pair?

Front

A function and its transform

Back

Solution for overdamped second order linear differential equation

Front

Back