AP Calculus AB: Integral Calculus

AP Calculus AB: Integral Calculus

memorize.aimemorize.ai (lvl 286)
Section 1

Preview this deck

d/dx (cos x)?

Front

Star 0%
Star 0%
Star 0%
Star 0%
Star 0%

0.0

0 reviews

5
0
4
0
3
0
2
0
1
0

Active users

1

All-time users

1

Favorites

0

Last updated

1 year ago

Date created

Mar 1, 2020

Cards (139)

Section 1

(50 cards)

d/dx (cos x)?

Front

- sin x is the derivative of what?

Back

∫ csc x dx?

Front

-ln |csc x + cot x| + c is the integral of what?

Back

∫ 1/x dx?

Front

ln | x | + c is the integral of what?

Back

∫ a dx?

Front

ax + c is the integral of what?

Back

d/dx (e^x)?

Front

is the derivative of what?

Back

d/dx (x^n) Rule?

Front

Power Rule Reverse the power rule for derivatives.

Back

1 + cot² x=?

Front

csc² x

Back

∫ dx/(sqrt(a² - x²))?

Front

arcsin (x/a) + c is the integral of what?

Back

d/dx (cot x)?

Front

- csc² x is the derivative of what?

Back

1 + tan² x=?

Front

sec²(x)

Back

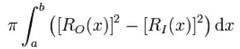
Formula for integrating about the line x=0 using the shells method?

Front

Is the formula for what?

Back

∫ sec² x dx?

Front

tan x + c is the integral of what?

Back

d/dx arctan (x) ?

Front

is the derivative of what?

Back

Formula for integrating using the washer method?

Front

is the formula for what?

Back

∫ cosh(x) dx

Front

sinh(x) + C Is the integral for what?

Back

∫ cot x dx?

Front

ln |sin x| + c is the integral of what?

Back

sin²x + cos² x=?

Front

1

Back

∫ tanh(x) dx

Front

ln(cosh(x)) + C Is the integral for what?

Back

What is the formula for integrating about the line y=0 using the shell method?

Front

Is the formula for what?

Back

d/dx f(g(x)) Rule?

Front

Chain Rule When do you use the chain rule?

Back

d/dx (tan x)?

Front

sec² x is the derivative of what?

Back

∫ tan² x dx?

Front

tan x - x + c is the integral of what?

Back

∫ coth(x) dx

Front

ln |sinh(x)| + C Is the integral for what?

Back

d/dx (arcsec x)?

Front

is the derivative of what?

Back

What is the area of a circle geometrically?

Front

π(a²) a=radius is the area of what?

Back

d/dx (ln x)?

Front

1/x is the derivative of what?

Back

∫ cos x dx?

Front

sin x + c is the integral of what?

Back

∫ sin x dx?

Front

-cos x + c is the integral of what?

Back

d/dx (sec x)?

Front

sec x tan x is the derivative of what?

Back

d/dx (csc x)?

Front

-csc x cot x is the derivative of what?

Back

∫ sec x dx?

Front

ln |sec x + tan x| + c is the integral of what?

Back

∫ csc² x dx?

Front

- cot x + c is the integral of what?

Back

∫ csc x cot x dx?

Front

- csc x + c is the integral of what?

Back

∫ ln x dx?

Front

x ln x - x + c is the integral of what?

Back

Formula for integrating using the disk method?

Front

is the formula for what?

Back

d/dx arcsin (x) ?

Front

is the derivative of what?

Back

sin(-x)=?

Front

-sin x -sin(x) = sin(-x) or only -sin(x)?

Back

∫ csch(x) dx

Front

ln |tanh(x/2)| + C Is the integral for what?

Back

∫ a^x dx?

Front

a^x/ ln a + c is the integral of what?

Back

What is the formula for Hooke's Law?

Front

Hooke's Law: F=kd is force (f) equals the spring constant (k) times the distance (d).

Back

∫ sech(x) dx

Front

sin⁻¹ (tanh(x)) + C Is the integral for what?

Back

∫ sec x tan x dx?

Front

sec x + c is the integral of what?

Back

∫ e^x dx?

Front

e^x + c is the integral of what?

Back

∫ sinh(x) dx

Front

cosh(x) + C Is the integral for what?

Back

d/dx (f/g) Rule?

Front

Quotient Rule When do you use the quotient rule?

Back

d/dx (sin x)?

Front

cos x is the derivative of what?

Back

∫ tan x dx?

Front

-ln |cos x| + c is the integral of what?

Back

∫ dx/(a² + x²)?

Front

1/a arctan (x/a) + c is the integral of what?

Back

d/dx (f*g)

Front

fg' + gf' Product Rule What is the product rule in reverse?

Back

d/dx (a^x)?

Front

is the derivative of what?

Back

Section 2

(50 cards)

d/dx arccos(x)?

Front

Is the derivative for what?

Back

What is the formula for the Moment about X? (COM or centroid of a lamina)?

Front

Back

What is the formula for cosh(x)?

Front

Is the formula for what function?

Back

d/dx arccsc(x)?

Front

Is the derivative for what?

Back

sin(pi/6)=?

Front

1/2 is the arcsin of what?

Back

tan(pi/6)=?

Front

the sqrt of 3 divided by 3 what is the arctan of sqrt(3)/3?

Back

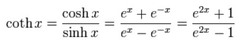
What is the formula for coth(x)?

Front

Is the formula for what function?

Back

d/dx arcsec(x)?

Front

Is the derivative for what?

Back

Surface Area Formula?

Front

Is the integral for what?

Back

cos(pi/2)=?

Front

0 is the arccos of what?

Back

What is the C.O.M. formula for M(mass)? (COM or centroid of a lamina)

Front

Back

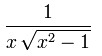
Integral of 1/sqrt(x^2-a^2) dx

Front

arccosh (x/a) + C Is the integral for what?

Back

Arc Length Formula?

Front

Is the integral for what?

Back

tan(pi/4)=?

Front

1 What is the arctan of 1?

Back

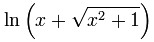
The formula for arcsinh? (x)?

Front

is the formula for what?

Back

The formula for the arccoth?

Front

is the formula for what?

Back

Integral of 1/a^2+x^2 dx

Front

1/a arctan (x/a) + C Is the integral for what?

Back

sin(pi/4)=?

Front

sqrt of 2 divided by 2 is the arcsin of what?

Back

What is the shorthand for x-bar and y-bar? (COM)

Front

Back

The formula for the arccsch?

Front

is the formula for what?

Back

Formula for sinh(x)?

Front

Is the formula for what function?

Back

The formula for the arcsech?

Front

is the formula for what?

Back

sin(0)=?

Front

0 is the arcsin of what?

Back

Integral of 1/sqrt(a^2+x^2) dx

Front

arcsinh of (x/a) + C Is the integral for what?

Back

cos(pi/6)=?

Front

the sqrt of 3 divided by 1/2 is the arccos of what?

Back

What is the formula for the Moment about Y? (COM or centroid of a lamina)

Front

Back

Intermediate Value Theorem

Front

If f is continuous on the closed interval [a,b] and k is any number between f(a) and f(b) then there is at least one number c in [a, b] such that f(c) = k

Back

Definition of a Derivative

Front

lim h→0 (f(x+h) - f(x)) / h

Back

What is the formula for sech(x)?

Front

Is the formula for what function?

Back

What is the formula for csch(x)?

Front

Is the formula for what function?

Back

tan(pi/2)=?

Front

undefined in the first quadrant where is the arctan undefined?

Back

tan(pi/3)=?

Front

sqrt(3) What is the arctan of the sqrt of (3)?

Back

tan(0)=?

Front

0 what is the arctan of 0?

Back

What is the formula for a collection of masses along a straight line?

Front

Is the formula for what?

Back

d/dx arccsc(x)?

Front

Is the derivative for what?

Back

d/dx arccot(x)?

Front

Is the derivative for what?

Back

Surface Area of a Sphere?

Front

where a is a constant Is the formula for what?

Back

cos(pi/3)=?

Front

1/2 is the arccos of what?

Back

Product Rule

Front

d/dx (f(x) g(x)) = f(x)g'(x) + g(x) f'(x)

Back

Definition of Continuity

Front

1. lim x→c f(x) exists. 2. f(c) exists. 3. lim x→c f(x) = f(c)

Back

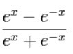
What is the formula for tanh(x)?

Front

Is the formula for what function?

Back

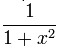
Integral of 1/(a^2-x^2) dx

Front

1/a arctanh (x/a) + C Is the integral for what?

Back

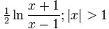
The formula for arccosh(x)?

Front

Is the formula for what?

Back

integral of 1/sqrt(a^2-x^2) dx

Front

arcsin of (x/a) + C Is the integral for what?

Back

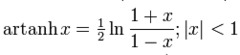
The formula for arctanh?

Front

is the formula for what?

Back

cos(0)=?

Front

1 is the arccos of what?

Back

sin(pi/3)=?

Front

sqrt of 3 divided by 2 is the arcsin of what?

Back

When does the limit not exist?

Front

1. f(x) approaches a different number from the right as it does from the left as x→c 2. f(x) increases or decreases without bound as x→c 3. f(x) oscillates between two fixed values as x→c

Back

sin(pi/2)=?

Front

1 is the arcsin of what?

Back

cos(pi/4)=?

Front

the sqrt of 2 divided by 2 is the arccos of what?

Back

Section 3

(39 cards)

Rolle's Theorem

Front

Let f be continuous on the closed interval [a, b] and differentiable on the open interval (a, b). If f(a) = f(b) then there is at least one number c in (a, b) such that f'(c)= 0

Back

determine if a particle is speeding up / down at t= k [given v(t)]

Front

find v(k) + a(k) both same sign = speeding up different signs = slowing down

Back

disk method (rotated around x-axis)

Front

V = pi integral from a to b [f(x)]^2 dx

Back

point of inflection: when f ''

Front

equals zero

Back

find total distance traveled on [a,b] given v(t)

Front

integrate |v(t)| dt from a to b or integrate each piece between zeros of v(t), abs. value each piece

Back

Average Value Theorem

Front

1/ (b-a) times the integral on (a, b) of f(x) dx

Back

concavity of a relative minimum

Front

concave up

Back

concave up where f '' is

Front

positive

Back

Instantaneous rate of change of f at "a"

Front

f ' (a)

Back

f '' is negative

Front

concave down, relative max

Back

Extrema Value Theorem

Front

If f is continuous on the closed interval [a, b], then f has both a maximum and a minimum on the interval.

Back

average rate of change f(x) on [a,b]

Front

find: [f(b)- f(a)]/ (b-a)

Back

Derivative of an Inverse Function

Front

g'(x) = 1/ f'(g(x)) where g(x) is the inverse of f(x)

Back

2nd derivative is zero

Front

point of inflection

Back

f '' is negative

Front

concave down, relative max

Back

Chain Rule

Front

d/dx f(g(x)) = f'(g(x)) g'(x)

Back

Quotient Rule

Front

d/dx (g(x)/ h(x)) = (h(x) g'(x) - g(x) h'(x))/ h(x)^2

Back

prove that f(x) is continuous:

Front

show 1. Lim as f(x) exists lim f = lim f x-> a x->a- x-> a+ 2. f(a) exists 3. lim as f(x) = f (a) X-> A

Back

lowest point of f(x)

Front

absolute minimum

Back

f '' is positive

Front

concave up, relative minimum

Back

Mean Value Theorem (Integrals)

Front

The integral on (a, b) of f(x) dx = f(c) (b - a)

Back

The first derivative gives what?

Front

1. critical points 2. relative extrema 3. increasing and decreasing intervals

Back

f ' is positive

Front

function is increasing

Back

find an interval where f(x) is increasing

Front

find f ' (x), find critical #'s (f '(x)=0 or u) test intervals; positive means f is increasing

Back

find the inflection points of f(x)

Front

find f '' (x); determine where f ''(x)=0 or f ''(x)= u test intervals (to see where signs change)

Back

Limit definition of the derivative

Front

f ' (x)= lim as ( f(x+h)-f(x)n )/ h h-> 0

Back

highest point of f(x)

Front

absolute max

Back

given position, find velocity

Front

v (t)= s ' (t)

Back

Mean Value Theorem

Front

f'(c) = (f(b) - f(a))/ (b - a)

Back

Fundamental Theorem of Calculus

Front

The integral on (a, b) of f(x) dx = F(b) - F(a)

Back

f(x) has a max/min or critical #

Front

f ' is zero

Back

mean value theorem

Front

f ' (c) = [f(b) - f(a)]/ (b-a)

Back

relative minimum

Front

f '' is positive (extrema)

Back

find minimum acceleration given v(t)

Front

find a(t) = V' (t). Then minimize acceleration by finding a'(t)'s , critical #'s, and testing intervals for negatives.

Back

The second derivative gives what?

Front

1. points of inflection 2. concavity

Back

concave down, f '' is _______

Front

negative

Back

Second Fundamental Theorem of Calculus

Front

If f is continuous on an open interval containing a, then for every x in the interval the derivative of the the integral of f(x) dx on said interval is equal to f(x)

Back

critical #'s occur when f '

Front

equals zero

Back

graph of f(x) changes from increasing to decreasing as f '

Front

changes from + to -

Back