Section 1

Preview this deck

find domain of sqrt equation

Front

Star 0%
Star 0%
Star 0%
Star 0%
Star 0%

0.0

0 reviews

5
0
4
0
3
0
2
0
1
0

Active users

0

All-time users

0

Favorites

0

Last updated

6 years ago

Date created

Mar 1, 2020

Cards (23)

Section 1

(23 cards)

find domain of sqrt equation

Front

set f(x) =0

Back

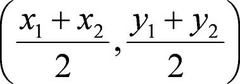
midpoint formula

Front

Back

Imaginary Number

Front

Back

Factor Theorem/synthetic division

Front

-2 |2 3 4 5 | |______________

Back

How to Graph a Function with an Equation

Front

(x-4)squared +2 (-4 ) would be right 4 on the x axis Up two on y-axis

Back

Imaginary number solving

Front

2+i x 3+4i ______ ______ 3-4i x 3+4i

Back

Solving |x-9|=11

Front

|x-9|>11 x-9>11 x-9<-11 +9 +9 +9 +9 x>20 x<-2 [-2,20]

Back

Parallel of a line

Front

Same slope of line y-y1=m(x-x1)

Back

Quadratic Formula

Front

Back

Remainder Theorem

Front

you divide x-4 by x2-2x-4

Back

x^3

Front

Back

Quotient

Front

f(x+h)-f(x) _____________ h

Back

|x|

Front

\ / \ / \/

Back

graph on point in new equation

Front

(x stays the same, times y by number befoee f(x))

Back

x-9 < 0 _______ ___ x+1

Front

top number has [ ]

Back

center and radius

Front

(x-h)^2 + (y-k)^2 = r^2

Back

Increasing, Decreasing, and Minimum

Front

\ / \ / decreaing \/ increasing minimum of y

Back

vertex form

Front

y=a(x-h)^2+k h is x in max/min, k is y in max/min

Back

Perpendicular Line

Front

Slope is negative reciprocal y-y1=m(x-x1)

Back

to find x intercspt in x5-x3-2x

Front

u=x2

Back

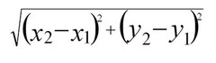
Distance of Two Points Equation

Front

Back

Equation of a line

Front

y2-y1/x2-x1 then y-y1=m(x-x1)

Back

Function of Sqaure Root Equation

Front

(-inf,x1) (x1,x2)(x2,inf)

Back