Algebra 1: Chapter 9

Algebra 1: Chapter 9

memorize.aimemorize.ai (lvl 286)
Section 1

Preview this deck

Zero Product Property

Front

Star 0%
Star 0%
Star 0%
Star 0%
Star 0%

0.0

0 reviews

5
0
4
0
3
0
2
0
1
0

Active users

0

All-time users

0

Favorites

0

Last updated

6 years ago

Date created

Mar 1, 2020

Cards (15)

Section 1

(15 cards)

Zero Product Property

Front

states that when the product of two or more factors is zero, one of these factors must equal zero.

Back

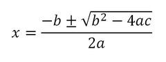
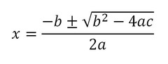
Quadratic Formula

Front

states that ax2 + bx + c = 0 and a ≠ 0, refer to picture!

Back

Graphing Form

Front

A form of the equation of a function or relation that clearly shows key information about the graph.

Back

Standard Form

Front

a linear equation in the form of ax + by = c, where a, b, and c are real numbers and a and b are not both zero and a quadratic expression in the form ax2; + bx + c.

Back

standard form of a quadratic

Front

The standard form of a quadratic function is f(x) = ax2 + bx + c, where a ≠ 0.

Back

Coefficient

Front

A number multiplied by a variable in an algebraic expression.

Back

Factor

Front

In arithmetic: When two or more integers are multiplied, each of the integers is a factor of the product. In algebra: When two or more algebraic expressions are multiplied together, each of the expressions is a factor of the product. To factor an expression is to write it as a product.

Back

factored form

Front

An expression expressed as the product of its factors.

Back

Solution

Front

The number or numbers that when substituted into an equation or inequality make the equation or inequality true.

Back

Completing the Square

Front

to convert a quadratic equation in standard form into perfect square form.

Back

inverse operations

Front

Two operations that undo each other

Back

Graph

Front

represents numerical information spatially.

Back

x-intercept

Front

The x-coordinate of the point where the line crosses the x-axis

Back

Quadratic Equation

Front

An equation that can be written in the form ax2 + bx + c = 0

Back

zeros of a function

Front

the x-values for which f(x) = 0

Back