Honors Algebra 2 Unit 7 - Exponential and Logarithmic Functions

Honors Algebra 2 Unit 7 - Exponential and Logarithmic Functions

memorize.aimemorize.ai (lvl 286)
Section 1

Preview this deck

Decay Factor

Front

Star 0%
Star 0%
Star 0%
Star 0%
Star 0%

0.0

0 reviews

5
0
4
0
3
0
2
0
1
0

Active users

0

All-time users

0

Favorites

0

Last updated

6 years ago

Date created

Mar 1, 2020

Cards (17)

Section 1

(17 cards)

Decay Factor

Front

In the function y=ab^x, b is the decay factor.

Back

Natural Logarithm

Front

A logarithm with base e, denoted "ln"

Back

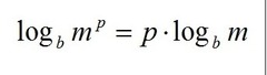
Power Property of Logarithms

Front

Back

Asymptote

Front

A line that a graph approaches more and more closely, but never intersects.

Back

Product Property of Logarithms

Front

loga(UV) = logaU + logaV

Back

Growth Factor

Front

In the function y=ab^x, b is the growth factor.

Back

Exponential Growth Function

Front

A function of the form y=ab^x, where b is greater than 1 and a>0.

Back

Compound Interest

Front

A = P(1 + r/n)^(nt)

Back

Property of Equality for Exponential Functions

Front

If b is a positive number other than 1, then b^x=b^y if and only if x=y

Back

Logarithmic Equations

Front

Equations that contain logarithms of variable expressions.

Back

Common Logarithm

Front

A logarithm with base 10.

Back

Quotient Property of Logarithms

Front

logb(m/n) = logb m - logb n

Back

Exponential Decay Function

Front

The function y=a(b)^x, where 0<b<1 and a>0

Back

Logarithm of y with base b

Front

Back

Continually Compounded Interest

Front

A = Pe^(rt)

Back

Change of Base Formula

Front

Back

Exponential Function

Front

a function of the form f(x) = ab^x, where a and b are real numbers with a ≠ 0, b>0, and b ≠ 1

Back