AP Calculus Review - Integration

AP Calculus Review - Integration

memorize.aimemorize.ai (lvl 286)
Section 1

Preview this deck

The TAM uses trapezoids instead of rectangles to approximate the area under a function. Remember that the area of a trapezoid is equal to the average base multiplied by the height. Less common, but good to know: TAM = ½ × (LRAM + RRAM) Note that the trapezoids are on their side and consecutive trapezoids share a common base.

Front

Star 0%
Star 0%
Star 0%
Star 0%
Star 0%

0.0

0 reviews

5
0
4
0
3
0
2
0
1
0

Active users

0

All-time users

0

Favorites

0

Last updated

6 years ago

Date created

Mar 1, 2020

Cards (26)

Section 1

(26 cards)

The TAM uses trapezoids instead of rectangles to approximate the area under a function. Remember that the area of a trapezoid is equal to the average base multiplied by the height. Less common, but good to know: TAM = ½ × (LRAM + RRAM) Note that the trapezoids are on their side and consecutive trapezoids share a common base.

Front

Trapezoidal Approximation Method (TAM)

Back

Exponential & Logarithmic Integrals #3

Front

Back

The differential equation for this equation is: š‘‘š‘¦/š‘‘š‘” = -š‘˜š‘¦ š‘¦ā‚€ is the initial amount. š‘˜ is the decay constant. The half life of a radioactive element is the time required for half of the radioactive nuclei present in a sample to decay.

Front

Half Life

Back

Exponential & Logarithmic Integrals #1

Front

Back

Exponential & Logarithmic Integrals #2

Front

Back

= 0 Note the limits on the integral.

Front

The "Zero" Integral

Back

Know your trig integrals #1

Front

Back

Know your trig integrals #2

Front

Back

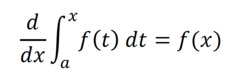
The derivative of the integral is the derivative! Note the limits on the integral. This is commonly referred to as Part I of the Fundamental Theorem of Calculus.

Front

Back

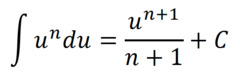
The power formula for an integral. This is used when n ≠ -1.

Front

Back

Know your trig integrals #6

Front

Back

Know your trig integrals #3

Front

Back

If š‘“(š‘„) = š‘ƒ(š‘„)/š‘„(š‘„), where š‘ƒ and š‘„ are polynomials with the degree of š‘ƒ less than the degree of š‘„, and if š‘„(š‘„) can be written as a product of distinct linear factors, then š‘“(š‘„) can be written as a sum of rational functions with distinct linear denominators.

Front

Partial Fraction Decomposition

Back

Exponential & Logarithmic Integrals #4

Front

Back

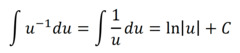
This is the unique power formula for an integral when n = 1.

Front

Back

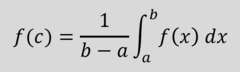
f(x) must be continuous on [a, b]. The point c lies on this closed interval. The quantity to the right of the = sign is referred to as the average (mean) value of the function, f(x), on the interval [a, b].

Front

Mean Value Theorem for Definite Integrals

Back

Know your trig integrals #4

Front

Back

Know your trig integrals #5

Front

Back

We use a Riemann Sum to approximate the area under a curve by approximating the area with a series of rectangles. A Riemann Sum can be a left-, right-, or midpoint-rectangular approximation method. These are commonly referred to as LRAM, RRAM, or MRAM. The location (left, right or midpoint) corresponds to the top of the rectangle and the location where it intersects the given curve. The š‘¦ coordinate of each of these locations is the height of the respective rectangle for which you need to calculate the area. Typically the width of each rectangle is a uniform amount - but this is not an absolute requirement. A Riemann Sum question sometimes asks whether the sum is an overestimate or an underestimate.

Front

Riemann Sums

Back

The rate at which an object's temperature is changing at any given time is roughly proportional to the difference between its temperature and the temperature of the surrounding medium. The differential equation for this equation is: š‘‘T/š‘‘š‘” = -š‘˜ (T - Ts) š‘‡ā‚€ is the initial amount. š‘‡s is the surrounding temperature. š‘‡ is the temperature of the object at time š‘”.

Front

Newton's Law of Cooling

Back

The goal of integration by parts is to go from an integral of š‘¢ š‘‘š‘£ that we don't see how to evaluate, to an integral of š‘£ š‘‘š‘¢ that we can evaluate. Sometimes we have to use integration by parts more than once to evaluate an integral. And, sadly, sometimes integration by parts doesn't work. Integration by parts is derived from the product rule of differentiation.

Front

Integration by Parts

Back

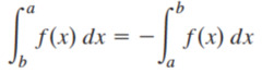
Note the limits on the integral. Use a change in the order of the limits of an integral to have it reflect what makes sense to you.

Front

Order of Integration

Back

The differential equation for this equation is: š‘‘š‘ƒ/š‘‘š‘” = š‘˜š‘ƒ (š‘€ − š‘ƒ ) š‘€ is the maximal carrying capacity. š“ is the constant determined from an initial condition. š‘˜ is the growth constant. The logistic model is typically used to model population growth

Front

Logistic Differential Equation

Back

A differential equation of the form š‘‘š‘¦/š‘‘š‘„ = š‘“(š‘¦) š‘”(š‘„) is called separable. In this circumstance, you will want to arrange the equation with the š‘¦ variable expression and š‘‘š‘¦ on one side of the = sign, and the š‘„ variable expression and š‘‘š‘„ on the other side. Integrate both sides and solve.

Front

Separable Differential Equation

Back

Integration by Parts - Tabular Form We combine the products of the functions connected by the arrows according to the operations signs above the arrows.

Front

Back

The differential equation for this equation is: š‘‘š‘¦/š‘‘š‘” = š‘˜š‘¦ š‘¦ā‚€ is the initial amount. š‘˜ is the growth/decay constant (the continuous rate of interest).

Front

The Law of Exponential Change aka Continuous Compounded Interest

Back