Section 1

Preview this deck

Plane J

Front

Star 0%
Star 0%
Star 0%
Star 0%
Star 0%

0.0

0 reviews

5
0
4
0
3
0
2
0
1
0

Active users

0

All-time users

0

Favorites

0

Last updated

6 years ago

Date created

Mar 1, 2020

Cards (35)

Section 1

(35 cards)

Plane J

Front

Planes can be named by a single cursive letter.

Back

obtuse angle

Front

An angle between 90 and 180 degrees

Back

midpoint formula

Front

Back

complementary angles

Front

Two angles whose sum is 90 degrees

Back

linear pair

Front

A pair of adjacent angles whose noncommon sides are opposite rays.

Back

adjacent angles

Front

Angles that have a common side and a common vertex (corner point).

Back

congruent

Front

Having the same size and shape

Back

acute angle

Front

an angle that measures less than 90 degrees

Back

Opposite Rays

Front

2 rays that have the same endpoint and go in opposite directions forming a line

Back

intersecting lines

Front

If two lines intersect, then their intersection is a point.

Back

supplementary angles

Front

Two angles whose sum is 180 degrees

Back

equilateral polygon

Front

a polygon in which all sides are congruent

Back

angle bisector

Front

a ray that divides an angle into two congruent angles

Back

vertical angles

Front

two nonadjacent angles formed by two intersecting lines

Back

equiangular polygon

Front

a polygon in which all angles are congruent

Back

straight angle

Front

an angle whose measurre equals 180 degrees

Back

Point

Front

Infinitely small object that makes up all geometrical figures.

Back

Coplanar points

Front

Points that lie on the same plane are coplanar.

Back

Line

Front

A line is infinitely thin and long. It is named by any two points on the line, with a little line symbol above it.

Back

Angle

Front

A figure formed by two rays with a common endpoint. Names by three letters(with the vertex as the center letter) with a little angle symbol. Can also be names by the vertex if there is only one angle there.

Back

Plane

Front

A flat surface that has no thickness and extends forever.

Back

Planes Intersecting

Front

If two planes intersect, then they intersect in a line

Back

polygon

Front

A closed plane figure made up of line segments that only intersect at their endpoints.

Back

Segment Bisector Definition

Front

a segment, ray, line, or plane that intersects a segment at its midpoint

Back

Collinear points

Front

Collinear points lie on the same line.

Back

Point E

Front

non coplanar point

Back

right angle

Front

an angle that measures 90 degrees

Back

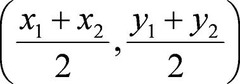
Midpoint

Front

A point that divides a segment into two congruent segments

Back

Segment Addition Postulate

Front

If B is between A and C, then AB + BC = AC

Back

Angle Addition Postulate

Front

I

Back

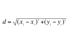
Distance Formula

Front

Back

regular polygon

Front

a polygon that is both equilateral and equiangular

Back

Line Segment or Segment

Front

The part of a line between two points on the line. Named by the endpoints with a little segment above them.

Back

Ray

Front

A part of a line that starts at an endpoint and extends forever in one direction. It is named by the endpoint and any point on the ray, with a little ray symbol above it.

Back

convex polygon

Front

has no diagonal with points outside the polygon

Back