Section 1

Preview this deck

what slope does a VERTICAL line have?

Front

Star 0%
Star 0%
Star 0%
Star 0%
Star 0%

0.0

0 reviews

5
0
4
0
3
0
2
0
1
0

Active users

0

All-time users

0

Favorites

0

Last updated

6 years ago

Date created

Mar 14, 2020

Cards (154)

Section 1

(50 cards)

what slope does a VERTICAL line have?

Front

undefined slope

Back

What is the "rate of change" on a graph?

Front

Slope

Back

graph of a quadratic function

Front

Back

continuous function

Front

data appears as a smooth curve on a graph.

Back

Mean (Average)

Front

Add up all the data points, then divide by however many data points there were. Ex. 3,6,9 3+6+9= 18 /3 = 6

Back

variable

Front

NOT A NUMBER. A letter or symbol that stands for a number.

Back

What is Inverse Variation?

Front

y = 1/x. As one quantity increases, the other decreases

Back

changing the "b" in the slope-intercept form of the equation of a line changes what?

Front

moves the line up or down the y-axis.

Back

what is the y-intercept?

Front

the point where the graph crosses the y-axis. It has the coordinates (0, y)

Back

relation

Front

set of ordered pairs

Back

Where are the solutions of a quadratic function?

Front

at the x-intercepts. They are also known as zeros and roots.

Back

other names for "y"

Front

range, dependent variable, output

Back

How do you combine like terms?

Front

Add their coefficients.

Back

discreet function (scatter plot)

Front

data appears as individual points on a graph. Whatever is being graphed cannot be broken down in to smaller pieces.

Back

how is slope important for linear equations and lines?

Front

linear equations and lines have CONSTANT slopes. The slope is the SAME all the way up and down the line.

Back

graph of exponential growth function

Front

Back

How do the slopes of perdendicular lines compare?

Front

They are opposite and fraction is flipped. Example: lines with the slopes -2 and 1/2 are perpendicular.

Back

coordinate plane

Front

a plane formed by 2 perpendicular lines called axes (the x-axis goes sided to side, the y-axis goes up and down).

Back

in y = mx + b, "m" stands for?

Front

slope

Back

define slope

Front

the steepness of a line, vertical change/horizontal change, (y-y)/(x-x), rise over run

Back

words for "<"

Front

is less than, is smaller than, shade below, shade to the left

Back

range

Front

set of all the possible y-values. OUTPUTS

Back

How do you DIVIDE exponents of like variables?

Front

SUBTRACT them

Back

How many solutions can a system with 2 equations have?

Front

1) no solutions, if the lines are parallel and have the same slope. 2) one solution, if the lines intersect at one point. 3) infinite many solutions, if the two equations are the same and touch each other everywhere.

Back

what slope does a HORIZONTAL line have?

Front

slope = 0

Back

What is a system of equations or system of inequalities?

Front

2 or more equations or inequalities graphed on the same coordinate plane

Back

What is a line of best fit?

Front

A line drawn through the points on a scatterplot to estimate the best line through the data.

Back

What is a quadratic equation or function?

Front

an equation of function that has "x-squared" as its highest order exponent.

Back

graph of a linear function

Front

Back

function

Front

special relation where each x-value is paired with ONLY ONE y-value. (x-values DO NOT repeat, it passes the vertical line test)

Back

What is the SOLUTION of a system of equations?

Front

where the lines touch or cross

Back

other names for "x"

Front

domain, independent variable, input

Back

What is Direct Variation?

Front

y = mx, or y = ax, or y = kx. m, a, or k is just the coefficient in front of the x. They are also the SLOPE of the direct variation line. Direct variation lines have a y-intercept ot (0, 0)

Back

How do you MULTIPLE exponents of like variables?

Front

ADD them

Back

words for ">"

Front

is more than, is greater than, is larger than, shade above, shade to the right

Back

graph of exponential decay function

Front

Back

changing the "m" in the slope-intercept form of the equation of a line changes what?

Front

the steepness of the line

Back

independent variable

Front

the INPUT or CAUSE in a situation or problem. It's the variable YOU CAN control. It's the X variable.

Back

domain

Front

set of all of the possible x-values. INPUTS

Back

How do the slopes of parallel lines compare?

Front

They are the same

Back

Table

Front

A way to represent ordered pairs.

Back

What are "like terms"?

Front

mathmatical terms that have the SAME variables raised to the SAME exponents.

Back

what is the x-intercept?

Front

the point where the graph crosses the x-axis. It has the coordinates (x, 0)

Back

ordered pair

Front

the x and y coordinates of a point on the coordinate plane (x,y)

Back

Mapping

Front

Bubbles that represent the x-values and the y-values.

Back

what is a linear inequality?

Front

It is an equation with a <, >, < or =, > or = in the place of the =.

Back

in y = mx + b, "b" stands for?

Front

the y-intercept

Back

Graph a parabola using a table

Front

Back

vertical line test

Front

a relation is a function and passes the vertical line test if when a vertical line is drawn through the graph, it touches the graph only ONE time.

Back

dependent variable

Front

the OUTPUT or RESULT in a situation or problem. It's the variable YOU CANNOT control. It's the Y variable. In a equation, its the variable BY ITSELF on one side of the = sign.

Back

Section 2

(50 cards)

Simple Interest Formula

Front

You can solve for any of the variables when given the other 3. The rate is the percentage rate usually written as a decimal. EX. 13%= 0.13

Back

Distinguish between situations that can be modeled with linear functions and with exponential functions.

Front

A linear function would be best for situation in which something is increasing at a constant rate. An exponential function is best for situations in which the rate increase over time. EX. The growth of bacteria cells in a petri dish would be exponential growth.

Back

Factoring with 2 terms

Front

Factor out the number or variable that all the terms have in common.

Back

How do you multiply FRACTIONS?

Front

Cancel or reduce if possible, then multiply straight across. Some people like to multiply straight across and then reduce. Either way, if you can reduce, you MUST REDUCE.

Back

Compound Interest Formula

Front

A=(P+r/n)^nt Common n values are 12=monthly, 4=quarterly, 2=semiannually, 1=annually. t is the time in years.

Back

SUBSTITUTION

Front

If you know what one variable equals, like y=35-10x, then you can plug that value in for y in the second equation, 4x - 7y = -23 becomes 4x -7(35-10x)=-23. Distribute and solve for x. Then you can plug back in to one of the original equations to solve for y.

Back

Maximum or Minimum

Front

Maximum is at the highest point of a parabola. Minimum is the lowest point.

Back

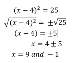
The Square Root Property to solve Quadratics

Front

To get rid of the exponent 2, you can take the square root of both sides. Remember the plus or minus symbol, which can give you two answers.

Back

Axis of Symmetry

Front

The equations x=0 is the axis of symmetry for a parabola in standard form.

Back

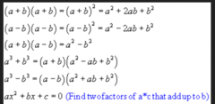
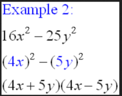
Use the structure of an expression to identify ways to rewrite it.

Front

Example: See x^4 - y^4 as (x^2)^2 - (y^2)^2, thus recognizing it as the difference of two squares that can be factored as (x^2-y^2)(x^2+y^2).

Back

Absolute Value when solving order of operations problems.

Front

Work any math that you need to within the absolute value bars. Then always give the positive of that number as the answer.

Back

Median

Front

When the data is put in order from smallest to largest, it is the number in the middle. If there are two numbers in the middle, you add them together then divide by 2. (You take their average)

Back

Geometric Sequences

Front

There is a pattern in which you multiply or divide by a common number.

Back

Whole numbers

Front

Start with 0, 1, 2, ......

Back

How to rearrange variables to solve for a specific variable.

Front

Solve A=P+PRT for T. You perform the opposite operation on each variable until you get the one you are solving for all by itself. Subtract P, then divide by P and R.

Back

The solution to a system of linear inequalities

Front

The intersection of the two half-planes.

Back

Sales Tax

Front

Is added on to the cost of the item. To find the amount to add, multiply the cost of the item by the percent of tax.

Back

Percents

Front

15% can also be written as 0.15, or as 15/100 which then must be reduced to 3/20.

Back

If y=f(x) and y=g(x), then.....

Front

f(x) = g(x) meaning you can set the two equations equal to each other in order to solve for the variable. Then to find y you plug the variable back into one of the original equations and solve.

Back

Range

Front

When talking about data sets, make sure the numbers are in order from smallest to largest, to find the RANGE you SUBTRACT the smallest from the largest.

Back

How to tell when a function is increasing or decreasing?

Front

Always read a graph from left to right, just like the words on a page. If it goes up, it is increasing. If it goes down, it is decreasing.

Back

Piecewise-defined function Graph

Front

When the graph is doing two (or more) different functions depending on what the x-vales are. EX. If x<-1, then y=1. If x>(or equal to) -1, then y=x^2 -3

Back

Identify the effects of k on the graph y=f(x)

Front

y=f(x) + k moves the graph up k units or down k units. y=f(x+k) moves the graph right if k is negative OR left if k is positive. Remember this is opposite of what's on the number line. y=k f(x) vertical stretch if k is bigger than 1 and a vertical compression if k is less than 1.

Back

How do you Reduce FRACTIONS?

Front

Find one number that you can divide into both the numerator and denominator that is the same number. Then divide them both by that number.

Back

Discounts

Front

Are subtracted from the cost of the item. To find the amount to subtract, multiply the cost by the item times the percent being discounted.

Back

Interpret parts of an expression

Front

Examples such as: C= 250 + 35m, Where C is the cost for renting a car. They pay $250 plus $35 for every extra mile they drive. You have to interpret what the numbers and variables mean in the form of a word problem.

Back

Integer

Front

A whole number, both positive and negative numbers, including zero. ... ,-3, -2, -1, 0, 1, 2, 3, ......

Back

Estimate the Rate of Change from a graph

Front

Find the change in y-values, then divide by the change in x-values.

Back

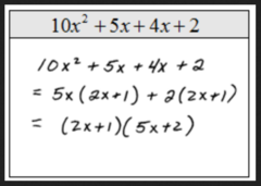
Factoring with 3 terms

Front

ax^2 + bx + c = 0, where a=1 (x )(x )=0 Find the two numbers that multiply to get you c, AND they add/sub to get you b. If asked to SOLVE by factoring, then set each factor equal to zero and solve.

Back

How to use the Discriminant when solving the Quadratic Formula?

Front

If the discriminant is positive, you will have 2 solutions or x-intercepts. If the discriminant is zero, you will have 1 solution or x-intercept. If the discriminant is negative, you will have No Solution (or really a complex solution (imaginary) in the form (a + bi)

Back

How to solve absolute value inequalities?

Front

Once the absolute value bars are on one side of the equal sign, by itself, you work two separate problems (1) Looks exactly the same as the original equation without the absolute value symbols. (2) Is the same on one side, but flip the inequality symbol and make the number negative.

Back

How do you Add and Subtract FRACTIONS?

Front

You have to have a common denominator.

Back

Explain each step in solving an equation.

Front

You may have to list the steps you performed explaining what you did, step by step. Know how to justify your solutions.

Back

Compare properties of two functions each represented in a different way (algebraically, graphically, numerically in tables, or by verbal description.

Front

For example, given a graph of one quadratic function and an algebraic expression for another, say which has the larger maximum.

Back

Linear functions

Front

Over equal intervals, the y-values increase by adding or subtracting the same number each time. *Note that the slope in the example would be 3/1= 3

Back

Completing The Square

Front

Isolate x^2 + bx on one side, move the number to the other side of the equal sign. Take b, divide by 2, then square the result. Add that number to both side. It will then factor into a perfect square.

Back

How to solve when written in function notation.

Front

Ex: f(x) = 3x + 4, solve for f(-2). All you do is replace the x with a (-2) and solve. 3(-2) +4 = -2

Back

Absolute value of a negative number. IxI = -3

Front

NO SOLUTION

Back

Factoring with 4 terms

Front

Solve by grouping. Group two sets and then factor those two groups.

Back

Natural numbers

Front

Counting numbers: 1, 2, 3, ......

Back

How do you Divide FRACTIONS?

Front

Keep, Change, Flip! Then multiply fractions!

Back

Mode

Front

The number that shows up the MOST

Back

ELIMINATION

Front

You have to get one of the variables to eliminate by getting them to be the same number just one positive and one negative, so they zero out. Sometimes in order to do this you have to multiply one or both of the equations by a number. Then add straight down and continue to solve.

Back

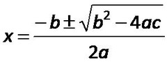
Quadratic Formula

Front

In standard form, ax^2 + bx + c, where a, b, and c (Just the numbers) can be plugged into the quadratic formula to find the x-intercepts, roots, zeros, or solutions.

Back

When do you flip an inequality symbol?

Front

Anytime you multiply or divide by a negative number.

Back

Solid or Dotted Line? Open or Closed Circle?

Front

If it has the line under it (or equal to) it will be a closed circle or solid line.

Back

Step-Function Graph

Front

A function that is not continuous. It has levels which represent the y-value for a set of x-values.

Back

Calculate and interpret the average rate of change (symbolically or from a table)

Front

How fast is it changing? Sometimes you find out how much each one changes, then take their average.

Back

End Behavior

Front

Describes what is happening to the graph overall as the x-values change. As the x-values decrease, does the graph seem to go up or down? As the x-vales increase, does the graph seem to increase or decrease? This represents the end behavior as being positive or negative.

Back

y= and f(x)=

Front

These are the same. They can be interchanged with one another. f(x) simply lets you know the equation is a function. Can also be written with other variables like g(x), p(x), etc.

Back

Section 3

(50 cards)

Exponent Rules

Front

There are a bunch!

Back

Product

Front

Multiply

Back

Point-Slope Form

Front

(y - y) = m (x - x) When given a point and the slope, plug in the m, x, and y into the equation. You can then convert it into slope-intercept form to find the graph of the line.

Back

Which quantity increases fastest?

Front

exponential functions > quadratic functions > linear functions

Back

36% of 500 is what?

Front

36/100 * 500 = x To solve you multiply 500 times 36/100.

Back

The sum of two rational numbers is rational. The product of two rational numbers is rational A rational number is any number that can be written as a fraction. Whole numbers are rational numbers because the number 2 can be written as 2/1.

Front

EX: 1/5 + 2/5 = 3/5 EX. 2/3 * 1/3 = 2/9

Back

3 "is more than" a number

Front

3>n

Back

Histogram

Front

A bar graph that has a range of values on the x-axis. In the example, each bar represents an age range of 5 years.

Back

Correlation

Front

Positive Correlation, Negative Correlation, or No Correlation.

Back

What percent of 200 is 40?

Front

x/100 * 200 = 40. To solve you would divide by two hundred, then multiply by 100.

Back

Standard Deviation

Front

When using a bell curve to represent data, the standard deviation tells you how far away a number is from the center of the data.

Back

How do you solve Proportions?

Front

When two fractions are set EQUAL to one another. This is the only times you Cross multiply!

Back

Improper Fractions to Mixed Numbers

Front

How many times will the denominator go into the numerator without going over. Then how many little pieces are left over.

Back

Difference

Front

Subtract

Back

Rounding Rules

Front

Round to the nearest TENTH means you keep ONE decimal place EX 0.5648 rounds to 0.6 The 6 behind the five tells the 5 to go up. Round to the nearest HUNDRETH means to keep TWO decimal places EX 0.56 The 4 tells the 6 to stay the same.

Back

Associative Property

Front

The way numbers are grouped is different, but the result is the same.

Back

Two-way Frequency tables and Relative Frequency Tables

Front

Comparing more than one thing in a table. Use the information in a table to answer questions.

Back

Skewed Bell Curve

Front

When the data is not evenly distributed.

Back

Seven "less than" a number

Front

n - 7 You subtract 7 from the number.

Back

Conditional Relative Frequencies

Front

Comparing the individual data to the whole, represented as a percentage.

Back

Communitive Property

Front

With addition and multiplication, it does not matter what order the numbers are written, you still get the same result.

Back

The product of a rational number(other than zero) and an irrational number is irrational

Front

(2)(3.14) = 6.28.... (rational)(irrational) = irrational

Back

Box Plots

Front

Make sure the numbers are in order from least to greatest. Find the median, the Q1 and Q3 by finding the median again of the upper and lower sections.

Back

Dot plot

Front

Each x or dot represent one person that has that number of pets. EX: One person has 5 pets.

Back

Fractions to Decimals

Front

Divide the numerator by the denominator. 1/4 = 1 divided by 4 = 0.25

Back

Seven "is less than" a number

Front

7<n

Back

Normal Bell Curve

Front

Let's you know where you should find most of your data.

Back

3 "more than" a number

Front

n + 3 Add 3 to the number

Back

Interquartile Range

Front

Q3 - Q1

Back

Slope-intercept form

Front

y=mx +b

Back

PEMDAS "Order of Operations"

Front

Parenthesis Exponents Multiply/Divide Add/Sub

Back

Cube Root

Front

What number multiplies times itself 3 times to get the number under the house?

Back

Geometric Sequence

Front

A pattern in which you multiply or divide each term by the same number.

Back

Exponential functions y=2^x Where the variable is the exponent.

Front

Over equal intervals, the y-values increase by multiplying or dividing by the same number each time.

Back

25% of what is 150?

Front

0.25 * x = 150. To solve you divide by 0.25.

Back

Quotient

Front

Divide

Back

Square Root

Front

sqrt(9) = 3 It means what number multiplies times itself to get the number under the house.

Back

Outliers

Front

A data point that does not fit in with the rest of the data.

Back

The sum of a rational number and an irrational number is irrational. An irrational number is one that has decimal places that keep going forever such as pi= 3.14......

Front

2 + 3.14.... = 5.14.... and is still an irrational number.

Back

Distributive Property

Front

Multiply a number or variable to everyone inside parenthesis.

Back

Simplifying Radicals

Front

Radical is the square root symbol. sqrt(20) = sqrt(4*5) = 2 sqrt (5)

Back

Perfect Squares

Front

1, 4, 9, 16, 25, 36, 49, 64, 81, 100, 121, 144, 169, etc. The resulting number when you multiply a number times itself. EX: 4 X 4 = 16

Back

Arithmetic Sequence

Front

A pattern in which you add a number each time.

Back

Mixed Number to Improper Fractions

Front

Multiply, then add! Keep the same denominator.

Back

Decimals to Fractions

Front

Know your decimal places. Tenths, hundredths, thousandths. 0.36 say "36 hundredths" So you write the fraction 36/100. Then reduce divide top and bottom by 4 to get 9/25.

Back

Joint and Marginal Frequencies

Front

Joint is the individual data in the middle. Marginal is the sum of the data for each row or column.

Back

Sum

Front

Add

Back

Rate of Change

Front

Is another name for slope usually used in word problems.

Back

Correlation vs. Causation

Front

CORRELATION is just a recognizable pattern: EX. In the summer ice cream sales increase and so do the number of shark attacks. CAUSATION is the reason something occurs: EX. The number of ice cream sales is NOT the cause for the increase of shark attacks.

Back

Correlation Coefficient

Front

A number between -1 and 1 that tells you if you have a strong or weak correlation. It also lets you know if it is a positive or negative correlation.

Back

Section 4

(4 cards)

Flow Charts

Front

Follow the lines by answering questions until you get to your answer!

Back

Inverse Variation

Front

y=k/x

Back

Standard Form of a line

Front

Ax + By = C NO fractions, NO decimals, A has to be positive!

Back

Direct Variation

Front

Set up a proportion and solve. y1/x1 = y2/x2

Back