Section 1

Preview this deck

symmetric property of equality

Front

Star 0%
Star 0%
Star 0%
Star 0%
Star 0%

0.0

0 reviews

5
0
4
0
3
0
2
0
1
0

Active users

0

All-time users

0

Favorites

0

Last updated

6 years ago

Date created

Mar 1, 2020

Cards (108)

Section 1

(50 cards)

symmetric property of equality

Front

if a=b, then b=a

Back

direct variation

Front

an equation of the form y=kx of k=y/x, where k does not equal 0

Back

coefficient

Front

a number used to multiply a variable

Back

commutative property of addition

Front

a+b=b+a

Back

perpendicular lines

Front

lines that intersect to for a right angle where the product of the slopes is -1

Back

commutative property of multiplication

Front

ab=ba

Back

real numbers

Front

the set of all rational and irrational numbers

Back

function

Front

a relationship between two quantities in which every input corresponds to exactly one output

Back

inverse property of addition

Front

a+(-a)=(-a)+a=0

Back

scientific notation

Front

used to represent a decimal number between 1 and 10 multiplied by ten, so you can write large numbers using less digits

Back

irrational numbers

Front

the set of all numbers that cannot be expressed as the ratio of integers

Back

natural numbers

Front

the set of numbers 1, 2, 3, 4...

Back

point-slope form

Front

Back

reflexive property of equality

Front

a=a

Back

slope formula

Front

Back

domain

Front

a set of input values of a relation

Back

mean

Front

average

Back

inequality

Front

an algebraic sentence comparing two quantities

Back

literal equation

Front

a formula or equation which consists primarily of variables

Back

no correlation

Front

no relationship between the dependent (y) values and independent (x) values

Back

order of operations

Front

grouping symbols, exponents, multiplication and division, addition and subtraction

Back

transitive property of equality

Front

if a=b and b=c, then a=c

Back

rational numbers

Front

the set of all numbers that can be written as the ration of two integers with a non-zero denominator

Back

positive correlation

Front

a relationship where the dependent (y) values increase as independent values (x) increase

Back

z-score

Front

the number of standard deviations an element is away from the mean

Back

range

Front

a set of output values of a relation

Back

standard deviation

Front

a measure of the spread of a data set

Back

whole numbers

Front

the set of numbers 0, 1, 2, 3...

Back

substitution property

Front

if a=b, then b can replace a in a given equation or inequality

Back

identity property of multiplication

Front

a(1)=1(a)=a

Back

variable

Front

a symbol that represents a number we don't know

Back

distributive property

Front

a(b+c)=ab+ac

Back

function notation

Front

an equation in the form of 'f(x)=' to show the output value of a function, f, for an input value x

Back

median

Front

the middle score in a distribution; half the scores are above it and half are below it

Back

associative property of multipication

Front

(ab)c=a(bc)

Back

absolute value

Front

the distance between a number and zero

Back

variance

Front

a measure of the spread of a data set standard deviation squared

Back

slope

Front

a number that represents the rate of change in y for a unit change in x

Back

negative correlation

Front

a relationship where the dependent (y) values decrease as independent (x) values increase

Back

parallel lines

Front

lines in the same plane that do not intersect and have the same slopes

Back

multiplicative property of zero

Front

a(0) or 0(a)=0

Back

inverse variation

Front

an equation of the form y = k/x or k=xy, where k is not equal to zero

Back

mean absolute deviation

Front

a measure of the spread of a data set

Back

mode

Front

the most frequently occurring score(s) in a distribution

Back

integers

Front

the set of numbers ...-3, -2, -1, 0, 1, 2, 3...

Back

inverse property of multiplication

Front

a(1/a)=(1/a)a=1

Back

associative property of addition

Front

(a+b)+c=a+(b+c)

Back

term

Front

either a single number or variable, or numbers and variables multiplied together where terms are separated by + or − signs.

Back

scatterplot

Front

graphical representation of the relationship between 2 numerical sets of data

Back

slope-intercept form

Front

Back

Section 2

(50 cards)

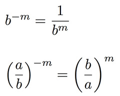
negative exponent

Front

Back

multiply polynomials

Front

apply the distributive property

Back

division property of inequality

Front

Back

power of quotient property

Front

Back

addition/subtraction property of inequality

Front

Back

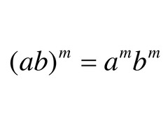
power of a product property

Front

Back

transitive property of inequality

Front

Back

product property of radicals

Front

the square root of a product equals the product of the square roots of the factors

Back

dependent variable

Front

y which are output values or range set

Back

linear equation

Front

the graph of the linear equation is a straight line and represents all solutions (x,y) of the equation

Back

zero exponent

Front

Back

degree of a polynomial

Front

the largest exponent or the largest sum of exponents of a term within a polynomial

Back

x-intercepts

Front

the x-intercepts of a graph are located where the graph crosses the x-axis and where f(x)=0

Back

factoring - greatest common factor

Front

find the greatest common factor (GCF) of all terms of the polynomial and then apply the distributive property

Back

trinomial

Front

3 terms

Back

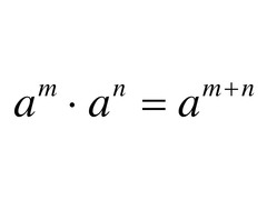
product of powers property

Front

Back

negative slope of a line

Front

Back

divide polynomials

Front

divide each term of the dividend by the monomial divisor

Back

quotient of powers property

Front

Back

quadratic equation

Front

Back

set builder notation

Front

Back

horizontal line

Front

horizontal lines have a slope of 0 for y=c where c can be any real number

Back

system of linear equations

Front

the solution is the only ordered pair that satisfies both equations (point of intersection)

Back

monomial

Front

1 term

Back

adding polynomials

Front

combine like terms

Back

power of a power property

Front

Back

multiply binomials

Front

apply the distributive property

Back

identity property of addition

Front

a+0=0+a=a

Back

linear parent function

Front

Back

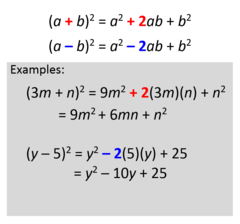
squaring a binomial

Front

Back

vertical line

Front

vertical lines have an undefined slope for x=a where a can be any real number

Back

quadratic formula

Front

used to find the solutions to any quadratic equation

Back

binomial

Front

2 terms

Back

graph of an inequality

Front

Back

exponent

Front

Back

positive slope of a line

Front

Back

factors of a monomial

Front

the number(s) and/or variable(s) that are multiplied together to form a monomial

Back

independent variable

Front

x which are input values or domain set

Back

multiplication property of inequality

Front

Back

coordinate plane

Front

Back

prime polynomial

Front

cannot be factored into a product of lesser degree polynomial factors

Back

quotient property of radicals

Front

the square root of a quotient equals the quotient of the square roots of the numerator and denominator

Back

leading coefficient

Front

the coefficient of the first term of a polynomial written in descending order of exponents

Back

zeros

Front

the zeros of a function f(x) are the values of x where the function is equal to zero

Back

relations

Front

representations of relationships

Back

subtracting polynomials

Front

add the inverse

Back

zero product property

Front

if ab=0, then a=0 or b=0

Back

standard form

Front

Ax+By=C

Back

difference of two squares

Front

Back

graphing linear inequalities

Front

Back

Section 3

(8 cards)

graphing of translations

Front

Back

reflections of parent functions

Front

Back

quadratic parent function

Front

Back

graphing of dilations

Front

Back

box-and-whisker plot

Front

Back

statistics notation

Front

Back

dilations of parent functions

Front

Back

translations of parent functions

Front

Back