AP Calculus - Chapter 4

AP Calculus - Chapter 4

memorize.aimemorize.ai (lvl 286)
Section 1

Preview this deck

Asymptote

Front

Star 0%
Star 0%
Star 0%
Star 0%
Star 0%

0.0

0 reviews

5
0
4
0
3
0
2
0
1
0

Active users

0

All-time users

0

Favorites

0

Last updated

6 years ago

Date created

Mar 1, 2020

Cards (24)

Section 1

(24 cards)

Asymptote

Front

a line that a graph approaches but never crosses

Back

Objective Function

Front

The expression that defines the quantity to be maximized or minimized

Back

Constraint

Front

limitation or restriction

Back

Critical Point

Front

A point in which the derivative is zero or undefined

Back

Zero Derivative implies?

Front

a constant function

Back

Functions with equal derivatives only differ by

Front

a constant

Back

Optimization

Front

The process of creating the best solution within the specifications and constraints

Back

Root

Front

a solution of an equation

Back

Concavity

Front

State of curving inward

Back

Linear Approximization

Front

f(x) = L(x) = f(a)+f'(a)(x-a)

Back

Absolute Maximum

Front

The highest point over the entire domain of a function or relation.

Back

Absolute Minimum

Front

The lowest point over the entire domain of a function or relation.

Back

Inflection Points

Front

The points at which the curve changes from curving upward to curving downward

Back

Cusp

Front

A pointed end where two curves meet

Back

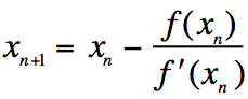
Newton's Method for approximating roots

Front

Back

Extreme Value Theorem

Front

If f(x) is continuous over [a,b], then it has an absolute maximum and minimum value on [a,b].

Back

Indeterminate Form

Front

an expression involving two functions whose limit cannot be determined solely from the limits of the individual functions.

Back

L'Hospital's Rule

Front

Back

Local Maximum

Front

The y-coordinate of a turning point of a function if the point is higher than all nearby points

Back

Rolle's Theorem

Front

Back

End Behavior

Front

The behavior of the graph as x approaches positive infinity or negative infinity.

Back

Mean Value Theorem

Front

f'(c) = (f(b) - f(a))/ (b - a)

Back

Local Minimum

Front

The y-coordinate of a turning point of a function if the point is lower than all nearby points

Back

Differential

Front

dy=f'(x)dx

Back