Section 1

Preview this deck

combination

Front

Star 0%
Star 0%
Star 0%
Star 0%
Star 0%

0.0

0 reviews

5
0
4
0
3
0
2
0
1
0

Active users

0

All-time users

0

Favorites

0

Last updated

6 years ago

Date created

Mar 14, 2020

Cards (37)

Section 1

(37 cards)

combination

Front

n! /k! (n-k!)

Back

area of a parallelogram

Front

base x height

Back

area of a cube

Front

6 × side^2

Back

Distance, rate, time formula

Front

D=rt

Back

...

Front

...

Back

absolute value

Front

if a squared is square rooted it is equal to?

Back

perimeter of a square

Front

4 x side

Back

area of a regular n-polygon

Front

1/2 axp (a= apothem) (p= perimeter)

Back

volume of a Right Triangular prism

Front

1/2h x b x l

Back

volume of a cube

Front

s^3

Back

perimeter of a parallelogram

Front

2b+2h

Back

area of a sphere

Front

4 × pi × radius^2

Back

perimeter of a regular polygon

Front

nxs (n= number of sides, s= length)

Back

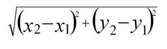
the distance formula

Front

Back

perimeter of a right triangle

Front

a^2+b^2+c^2

Back

interest formula

Front

I=prt

Back

area of a triangle

Front

1/2 (b x h)

Back

area of a circle

Front

pi × radius^2

Back

perimeter of a circle

Front

2 Pi x radius -- or -- Pi x diameter

Back

area of rectangle

Front

length x width

Back

area of a trapezoid

Front

height × (base1 + base2)/2

Back

volume of a rectangle

Front

lxwxh

Back

permutation

Front

nPr = n!/(n-r)! //(x! = 5x4x3x2x1)

Back

area of a square

Front

side squared

Back

2

Front

smallest prime number

Back

variables

Front

______________ can be negative integers, negative fractions, zero, positive fractions, or positive integers

Back

perimeter of a triangle

Front

a+b+c

Back

area of a Cylinder (whole surface)

Front

2π r h+ 2 π r^2

Back

compound interest formula

Front

A = amount accumulated P = principle R = interest rate n = compoundings per period t = number of periods

Back

volume of a Prism or Cylinder

Front

π x r^2 x h

Back

arc length

Front

Back

average speed

Front

total distance/total time =

Back

area of a ellipse

Front

pi × radius1 × radius2

Back

volume of a Pyramid or Cone

Front

1/3 Ah

Back

area of a Cone (surface)

Front

pi × radius × side

Back

perimeter of a rectangle

Front

2l+2w

Back

volume of a Sphere

Front

4/3πr^3

Back