Section 1

Preview this deck

L'Hopital's Rule (as it relates to indeterminate limits)

Front

Star 0%
Star 0%
Star 0%
Star 0%
Star 0%

0.0

0 reviews

5
0
4
0
3
0
2
0
1
0

Active users

0

All-time users

0

Favorites

0

Last updated

6 years ago

Date created

Mar 1, 2020

Cards (31)

Section 1

(31 cards)

L'Hopital's Rule (as it relates to indeterminate limits)

Front

See image

Back

Centroid of an Area

Front

x_c= (1/A)* a_b∫ x f(x) dx y_c= (1/A)* c_d∫ y f(y) dx

Back

Derivative of sin^-1(x)

Front

See image

Back

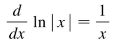
Derivative of Natural Log

Front

See image

Back

Derivative of cot^-1(x)

Front

See image

Back

Curvature Equation

Front

d(theta)/d(s)

Back

Derivative of e^u

Front

See image

Back

Minimum Point

Front

f''(x)>0 (positive)

Back

Maximum Point

Front

f''(x)<0 (negative)

Back

Integrate sin(x)cos(x)

Front

= -1/2 cos^2(x) + constant or =sin^2(x)/2

Back

Derivative of csc^-1(x)

Front

See image

Back

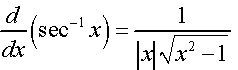
Derivative of sec^-1(x)

Front

See image

Back

Critical Points

Front

f'(x)=0

Back

Derivative of sec(x)

Front

See image

Back

Integrate e^(c x) dx

Front

= e^(c x)/c + constant

Back

Derivative of tan(x)

Front

See image

Back

Derivative of sin(x)

Front

See image

Back

Derivative of csc(x)

Front

See image

Back

Derivative of cos^-1(x)

Front

See image

Back

Rules with Sum of Derivatives

Front

See image

Back

Derivative of cot(x)

Front

See image

Back

Derivative of cos(x)

Front

See image

Back

Integral xsin(x)

Front

= sin(x) - x cos(x) + constant

Back

Derivative of tan^-1(x)

Front

See image

Back

Rules with Sum of Integrals

Front

See image

Back

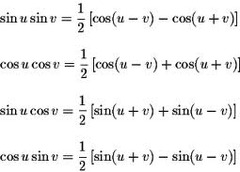
product to sum formulas

Front

See Image

Back

Integrate sin^2(x)

Front

= 1/2 (x - sin(x) cos(x)) + constant

Back

Integration by Parts

Front

∫ udvdx dx = uv − ∫ vdu dx dx

Back

Derivative of a^u

Front

See image

Back

Inflection Point

Front

f''(a)=0

Back

Integrate xcos(x)

Front

= x sin(x) + cos(x) + constant

Back