Section 1

Preview this deck

Intermediate Value Theorem

Front

Star 0%
Star 0%
Star 0%
Star 0%
Star 0%

0.0

0 reviews

5
0
4
0
3
0
2
0
1
0

Active users

0

All-time users

0

Favorites

0

Last updated

6 years ago

Date created

Mar 1, 2020

Cards (9)

Section 1

(9 cards)

Intermediate Value Theorem

Front

If f is continuous on [a,b] and k is a number between f(a) and f(b), then there exists at least one number c such that f(c)=k

Back

equation of tangent line at a point

Front

y-(a^2+1) =2a(x-a)

Back

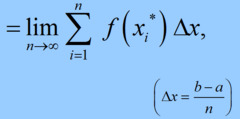
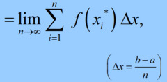
definition of an integral

Front

Back

Extreme Value Theorem

Front

If f is continuous on [a,b] then f has an absolute maximum and an absolute minimum on [a,b]. The global extrema occur at critical points in the interval or at endpoints of the interval.

Back

Mean Value Theorem

Front

f'(c)=(f(b)-f(a))/(b-a)

Back

if a function is differentiable,

Front

it is continuous, and slopes are equal

Back

Rolle's Theorem

Front

if f(x) is a continuous and differentiable function, and f(a)=f(b), then there is a number c between (a,b) where f'(c) = 0

Back

The Fundamental Theorem of Calculus

Front

Back

xi=

Front

a + (i) change in x

Back