Algebra 2 EOC functions

Algebra 2 EOC functions

memorize.aimemorize.ai (lvl 286)
Section 1

Preview this deck

arithmetic sequence recursive

Front

Star 0%
Star 0%
Star 0%
Star 0%
Star 0%

0.0

0 reviews

5
0
4
0
3
0
2
0
1
0

Active users

0

All-time users

0

Favorites

0

Last updated

6 years ago

Date created

Mar 1, 2020

Cards (32)

Section 1

(32 cards)

arithmetic sequence recursive

Front

Back

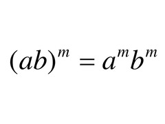
power of a product

Front

Back

y=a(x-h)²+k; vertex is

Front

h,k

Back

unit circle radian measures

Front

643; pi, one less, one more, 11 7 5

Back

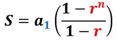
geometric sum infinite

Front

Back

empirical rule

Front

99.7, 95, 68

Back

even neg

Front

↓↓

Back

circle equation

Front

Back

odd neg

Front

↑↓

Back

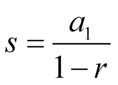
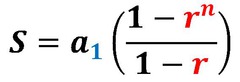
geometric sum

Front

Back

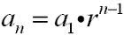
geometric sequence

Front

Back

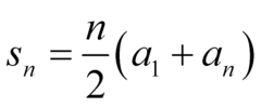
arithmetic sum

Front

Back

parabola standard form

Front

Back

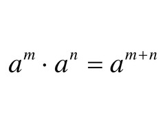
product of powers

Front

Back

interest compounded n times

Front

Back

exponential growth

Front

b>1

Back

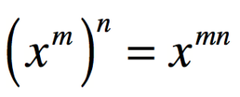
power of powers

Front

Back

unit circle coordinates

Front

( √3/2, 1/2 ), ( √2/√2, √2/√2 ), ( 1/2, √3/2 )

Back

exponential decay

Front

0<b<1

Back

y=a(x-p)(x-q); p and q are zeros, the x-coordinate of the vertex is

Front

the average of p and q

Back

interest compounded continuously

Front

Back

quotient property of logarithm

Front

Back

degrees and radians

Front

Back

y=ax²+bx+c, x-coordinate of vertex is...

Front

-b/2a

Back

change of base

Front

Back

arc length

Front

Back

even pos

Front

↑↑

Back

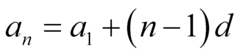
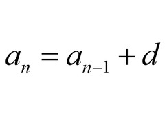
arithmetic sequence

Front

Back

product property of logarithm

Front

Back

standard form of parabola

Front

Back

power property of a logarithm

Front

Back

odd pos

Front

↓↑

Back