Section 1

Preview this deck

3π/4

Front

Star 0%
Star 0%
Star 0%
Star 0%
Star 0%

0.0

0 reviews

5
0
4
0
3
0
2
0
1
0

Active users

0

All-time users

0

Favorites

0

Last updated

6 years ago

Date created

Mar 1, 2020

Cards (33)

Section 1

(33 cards)

3π/4

Front

Back

π

Front

(-1, 0)

Back

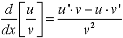
Quotient Rule

Front

Back

f'(x) [sec x] =

Front

sec(x) tan(x)

Back

4π/3

Front

Back

2π/3

Front

Back

When the velocity and acceleration have the SAME signs...

Front

The particle is speeding up

Back

0

Front

(1, 0)

Back

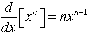
Power Rule

Front

Back

π/6

Front

Back

f'(x) [tan x] =

Front

sec^2 x

Back

3π/2

Front

(0, -1)

Back

f'(x) [sin x] =

Front

cos (x)

Back

π/2

Front

(0, 1)

Back

Acceleration

Front

a(t) = v'(t) = s''(t)

Back

Velocity

Front

v(t) = s'(t)

Back

11π/6

Front

Back

Position

Front

s(t)

Back

A particle is changing directions when...

Front

It crosses the X-axis

Back

5π/6

Front

Back

f'(x) [cot x] =

Front

Back

5π/4

Front

Back

f'(x) [cos x] =

Front

-sin (x)

Back

When the velocity and acceleration have different signs...

Front

The particle is slowing down

Back

7π/6

Front

Back

When a particle is moving to the right, the velocity is...

Front

positive (+)

Back

Product Rule

Front

y' = uv' + vu'

Back

5π/3

Front

Back

π/4

Front

sqrt 2/2, sqrt 2/2

Back

π/3

Front

(1/2, sqrt(3)/2)

Back

When a particle is moving to the left, the velocity is...

Front

negative (-)

Back

7π/4

Front

Back

f'(x) [csc x]=

Front

-csc(x) cot (x)

Back