Section 1

Preview this deck

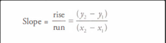
slope formula

Front

Star 0%
Star 0%
Star 0%
Star 0%
Star 0%

0.0

0 reviews

5
0
4
0
3
0
2
0
1
0

Active users

1

All-time users

1

Favorites

0

Last updated

6 years ago

Date created

Mar 14, 2020

Cards (41)

Section 1

(41 cards)

slope formula

Front

Back

x is what percent of y

Front

multiply x by 100 and divide by y

Back

Combined work,how long would it take for everything to work together

Front

1/r+1/s=1/time (inverted) R=2 s=twice as long so 1/2+1/4=3/4=4/3

Back

percent increase/decrease

Front

ampint of decreaseor increase/originalx100 (80 to 100 20/80x100)

Back

special right triangle sides

Front

3:4:5, 5:12:13 8:15:17 7:24:25

Back

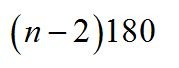
sum of all angles of a polygon

Front

N=# OF SIDES

Back

find one angle of regular polygon

Front

Back

ratio of to

Front

"of" top "to" bottom 30 oranges of 120 apples 20/12

Back

length of arch in circle

Front

Back

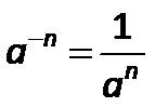
negative powers

Front

^-2= 1/n^-2

Back

multiple roots

Front

do radicals sepperate

Back

rise over run to graph slope

Front

Back

What is the ratio of 2 ratios (a:b and b:c, what us a:c)

Front

Multiply a:b by a and b:c by b a:b:c= a:c

Back

Combination formula (how many combos can be made)

Front

n!/k! (N-k)! K= whats being chosen, n= # of larger group

Back

ratio

Front

3/4 boys to girls. 135 boys how many girls 3/4=135/g 3x g=135x4 3g= 540 3/540=180

Back

find x and y intercepts of line

Front

when x =0 is x intercept. y=0 y intercept b=y intercept

Back

probability of A and b happening

Front

find prob of a multiply by prob of b

Back

simple interest formula

Front

amountx(rate)(time)

Back

distance between points

Front

same points jsut subtract x from x .different points make right triangle and use pythagory theorum

Back

number of possibilities

Front

3 5 8 and 3 digit number first number has 3 possibilities,second has 2 and third has one 3x2x1=6

Back

sum of consecutive umbers

Front

average x # of numbers 10 thro 50 60/2=30 30 x 41=1230

Back

original before percent increase

Front

if decrease divide by amount left(if 5% of 57000 divide by .95 from 57000)

Back

inscribed figure circumfrence.

Front

if area of square is 36,each side of square is 6,find diagnaol like missing part of triangle

Back

Area of sector in circle

Front

N/360 x area of circle (n=angle)

Back

solve multiple equations

Front

Back

count consecutive numbers

Front

range +1

Back

graph linear equation

Front

...

Back

absolute value equation

Front

Back

fractional powers

Front

Back

45 45 90 special right triangle

Front

Back

solve sequence problem*

Front

find difference between fifth and forth term n^2(n-1) -> 5^2(5-1)=

Back

add multiple divide roots

Front

3 radicat 3 + radical 2= 4 radical 2. cannot add 3 radical 2 ND 2 RADCICAL 2

Back

average of consecutive numbers

Front

average of smallest and largest

Back

pythagorean theorum

Front

Back

inequality equation

Front

reverse side when divide

Back

solve quadratic equations

Front

Back

30 60 90 triangle

Front

Back

Permutation (how many outcomes)

Front

N!/(n-k)!

Back

special right triangle angles

Front

45 45 90-oppisite sides are equal,30 60 90(bet 90-60 is x, bet 30-90 x sq rt of 3,bet 30 60 is 2x)

Back

find minimum and maximum lengths for side of a triangle

Front

if one side is 7 one other side is 3 than greater than difference and less than sum.( 7-4=4 & 7+3=10) so between 4.1 aand 9.9

Back

Compound interest

Front

Amount× (1+ interest rate (time)(# of times compounded anually)/#of times coumpounded anually. Divide fraction first then add 1

Back