Section 1

Preview this deck

tangent

Front

Star 0%
Star 0%
Star 0%
Star 0%
Star 0%

0.0

0 reviews

5
0
4
0
3
0
2
0
1
0

Active users

0

All-time users

0

Favorites

0

Last updated

6 years ago

Date created

Mar 1, 2020

Cards (10)

Section 1

(10 cards)

tangent

Front

A straight line or plane that touches a curve or curved surface at a point, but if extended does not cross it at that point.

Back

trigonometric derivative

Front

Finding the derivative of a function, or its rate of change with respect to a variable. Common functions include sin(x), cos(x) and tan(x).

Back

Secant

Front

A secant is a line that intersects a circle at two points.

Back

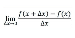
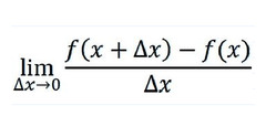
Derivative

Front

A function which gives the slope of a curve; that is, the slope of the line tangent to a function.

Back

Velocity

Front

Describes the motion of an object. The derivative of a position function s(t).

Back

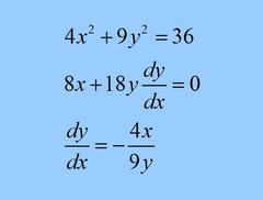
Implicit differentiation

Front

The process of finding the derivative of a dependent variable in an implicit function by differentiating each term separately, by expressing the derivative of the dependent variable as a symbol, and by solving the resulting expression for the symbol.

Back

Continuous

Front

A function that is continuous at every point of the interval .

Back

acceleration

Front

Describes the motion of an object. The derivative of a velocity function v(t) or the double derivative of a position function s(t).

Back

Differentiable

Front

A function of one real variable is a function whose derivative exists at each point in its domain.

Back

position

Front

Given as a function of x with respect to time, x(t). An object's change in position with respect to time is known as its displacement.

Back