Section 1

Preview this deck

∫ sec 𝑢 𝑑𝑢

Front

Star 0%
Star 0%
Star 0%
Star 0%
Star 0%

0.0

0 reviews

5
0
4
0
3
0
2
0
1
0

Active users

0

All-time users

0

Favorites

0

Last updated

6 years ago

Date created

Mar 14, 2020

Cards (49)

Section 1

(49 cards)

∫ sec 𝑢 𝑑𝑢

Front

ln|sec 𝑢 + tan 𝑢| + 𝐶

Back

∫ (cos 𝑢) 𝑑𝑢

Front

sin 𝑢 + 𝐶

Back

Derivative of arctangent

Front

Back

Derivative of cosine

Front

Back

∫(csc² 𝑢 )𝑑𝑢

Front

− cot 𝑢 + 𝐶

Back

∫ (𝑒^𝑢) 𝑑𝑢

Front

(𝑒^𝑢) + 𝐶

Back

∫𝑑𝑢/(𝑎² + 𝑢²)

Front

(1/𝑎) arctan (𝑢/𝑎) + 𝐶

Back

Taylor Series

Front

Back

1/(1+x)

Front

1-x+x^2-x^3...+(-x)^n

Back

Derivative of e^x

Front

e^x

Back

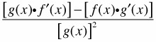
Derivative of (f/g)(x) Quotient Rule

Front

Back

∫ (𝑎^𝑢) 𝑑𝑢 =

Front

(𝑎^𝑢 / ln 𝑎) + 𝐶

Back

sin(x)

Front

x-(x^3/3!)+(x^5/5!)...+(-1)^n•(x^(2n+1)/2n+1!)

Back

∫ csc 𝑢 𝑑𝑢

Front

− ln|csc 𝑢 + cot 𝑢| + 𝐶

Back

∫ (sin 𝑢) 𝑑𝑢

Front

− cos 𝑢 + 𝐶

Back

Derivative of x^n

Front

nx^(n-1)

Back

∫𝑑𝑢 / √(𝑎² − 𝑢²)

Front

arcsin (𝑢/𝑎) + 𝐶

Back

ln(1+x)

Front

x-(x^2/2)+(x^3/3)...+(-1)^n-1•(x^(n)/n)

Back

∫(cot 𝑢)𝑑𝑢

Front

ln|sin 𝑢| + 𝐶

Back

Derivative of arccosecant

Front

Back

Derivative of arcsecant

Front

Back

Derivative of arccotangent

Front

-1/(1+x^2)

Back

∫(sec 𝑢 tan 𝑢)𝑑𝑢

Front

sec 𝑢 + 𝐶

Back

∫(sec² 𝑢 ) 𝑑𝑢

Front

tan 𝑢 + 𝐶

Back

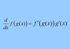
Derivative of f(g(x)) Chain Rule

Front

Back

Derivative of lnx

Front

1/x

Back

Derivative of sine

Front

Back

Derivative of secant

Front

Back

Simpson's Rule

Front

Back

∫(tan 𝑢)𝑑𝑢

Front

− ln|cos 𝑢| + 𝐶

Back

∫(csc 𝑢 cot 𝑢)𝑑𝑢

Front

− csc 𝑢 + 𝐶

Back

Derivative of cotangent

Front

Back

e^x

Front

1+x+(x^2/2!)...+(x^n/n!)

Back

∫ 𝑢 𝑑𝑣

Front

𝑢𝑣 − ∫ 𝑣 𝑑𝑢

Back

Derivative of tangent

Front

Back

Derivative of arccosine

Front

Back

∫ 𝑢ⁿ 𝑑𝑢

Front

[𝑢^(𝑛+1) / (𝑛 + 1)]+ 𝐶, 𝑛 ≠ 1

Back

∫(𝑢′/𝑢)

Front

ln 𝑢 + 𝐶

Back

Derivative of log base a of x

Front

1/(x times lna)

Back

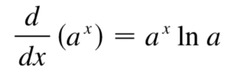
Derivative of a^x

Front

Back

Derivative of cosecant

Front

Back

cos(x)

Front

1-(x^2/2!)+(x^4/4!)...+(-1)^n•(x^(2n)/2n!)

Back

arctan(x)

Front

x-(x^3/3)+(x^5/5)...+(-1)^n•(x^(2n+1)/(2n+1))

Back

Derivative of kx

Front

k

Back

1/(1-x)

Front

1+x+x^2...+x^n

Back

Trapezoidal Rule

Front

Back

Derivative of arcsine

Front

Back

Derivative of f(x)g(x) Product Rule

Front

Back

∫𝑑𝑢 / [𝑢√(𝑢² − 𝑎²)]

Front

(1/𝑎) arcsec (|𝑢|/𝑎) + 𝐶

Back