Algebra 1 OHS Quadratic Functions

Algebra 1 OHS Quadratic Functions

memorize.aimemorize.ai (lvl 286)
Section 1

Preview this deck

Vertex form

Front

Star 0%
Star 0%
Star 0%
Star 0%
Star 0%

0.0

0 reviews

5
0
4
0
3
0
2
0
1
0

Active users

0

All-time users

0

Favorites

0

Last updated

6 years ago

Date created

Mar 1, 2020

Cards (23)

Section 1

(23 cards)

Vertex form

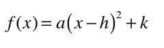
Front

f (x) = a(x - h)^2 + k

Back

Vertical compression

Front

0<a<1

Back

Reflection of parabola

Front

Happens when "a" in a quadratic function s a negative number

Back

Zeros (roots or solutions)

Front

the x-intercepts of the graph of a function; the values of x for which f(x) = 0.

Back

Parabola

Front

basic shape of a quadratic graph

Back

Vertical stretch

Front

a>1

Back

Vertical shift

Front

Number of units the graph of the function is moved up or down in a transformation

Back

Vertex

Front

the highest point or the lowest point of a parabola

Back

Vertex formula (for x)

Front

x = -b/2a or opposite of b, divided by 2a

Back

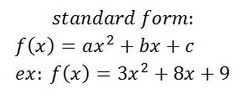
Standard form

Front

f (x) = ax^2+bx+c

Back

y-intercept

Front

the y-coordinate of a point where a graph crosses the y-axis

Back

Rate of change

Front

the ratio of the vertical change to the horizontal change

Back

Min (minimum)

Front

the lowest point of the graph (extrema)

Back

Coordinate point

Front

ordered pair (x,y) that corresponds to a point

Back

Domain

Front

all real numbers; always the answer for any parabola

Back

Max (maximum)

Front

the highest point of the graph (extrema)

Back

Coefficient

Front

A number multiplied by a variable in an algebraic expression.

Back

Axis of symmetry

Front

a line that divides a parabola into two reflected halves

Back

Roots

Front

zeros, solutions of the quadratic function

Back

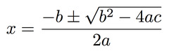
Quadratic Formula

Front

x = -b ± √(b² - 4ac)/2a

Back

Origin

Front

the point (0,0) where the x-axis and the y-axis intersect in a coordinate plane

Back

x-intercepts

Front

the x-coordinate of a point where a graph crosses the x-axis

Back

Range

Front

y-value of the vertex to positive or negative infinity

Back