Algebra 2 - Equations of Lines

Algebra 2 - Equations of Lines

memorize.aimemorize.ai (lvl 286)
Section 1

Preview this deck

x = # is a _____________________ line with an ________________ slope.

Front

Star 0%
Star 0%
Star 0%
Star 0%
Star 0%

0.0

0 reviews

5
0
4
0
3
0
2
0
1
0

Active users

0

All-time users

0

Favorites

0

Last updated

6 years ago

Date created

Mar 14, 2020

Cards (48)

Section 1

(48 cards)

x = # is a _____________________ line with an ________________ slope.

Front

vertical, undefined

Back

Point-slope formula

Front

y-y1=m(x-x1)

Back

Perpendicular lines have _______________________ slopes.

Front

opposite recioprocal

Back

Parallel lines

Front

lines that never intersect

Back

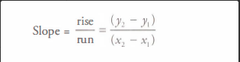
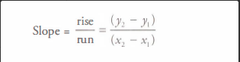
Slope formula

Front

(y₂- y₁) / (x₂- x₁)

Back

x-intercept (3 , 0) and y-intercept (0 , -7)

Front

Back

Parallel lines have __________________ slopes.

Front

equal

Back

What would be the slope of the line PARALLEL to the equation y = 2x -1?

Front

2

Back

-4/3

Front

All lines perpendicular to 9x - 12y = 5 have what gradient?

Back

(3 , 0)

Front

Back

(-5 , 0)

Front

The x-intercept of -2x - 5y = 10 is?

Back

H

Front

Back

(0 , -2)

Front

The y-intercept of -2x - 5y = 10 is?

Back

Undefined

Front

What is the slope of the vertical line x = 3?

Back

Perpendicular lines

Front

Lines that intersect to form right angles

Back

y = -3/4 x + 4

Front

Convert 3x + 4y = 16 to gradient intercept form

Back

Slope-intercept formula

Front

y=mx+b

Back

What is the y-intercept of y = 9 - 5x?

Front

9

Back

-2/3

Front

What is the gradient of the line 2x + 3y = 12?

Back

y = x + 5

Front

Back

What is the slope of y = 9 - 5x?

Front

-5

Back

What would be the slope of the line PERPENDICULAR to the equation y = 2x -1?

Front

-1/2

Back

zero slope

Front

Back

x-intercept (-7 , 0) and y-intercept (0 , 3)

Front

Back

4

Front

Using the equation y + 2x = 5, if y = -3, then x = ?

Back

undefined slope

Front

Back

2/3

Front

What is the gradient of the line 2x - 3y = 12?

Back

0

Front

What is the slope of the horizontal line y = 3?

Back

y = mx +b

Front

Slope-Intercept Form

Back

Slope

Front

Rise over run

Back

3./4

Front

All lines parallel to 6x - 8y = 12 have what gradient?

Back

(2.5 , 0)

Front

Back

(0 , 3)

Front

Back

F

Front

Back

y = 3/4 x - 4

Front

Convert 3x - 4y = 16 to gradient intercept form

Back

y -y1 = m (x -x1)

Front

Point-Slope Form

Back

What do I have to do to this equation in order to find its slope? -9x + 3y = 12

Front

Solve for y FIRST!

Back

How do you find slope of a line on a graph?

Front

Back

y = -¾x + 5

Front

Back

What is the y-intercept of the equation y = -3x -4?

Front

-4

Back

x + 2y = 24

Front

Convert y = -1/2 x + 12 to standard form

Back

What would be the slope of the line PARALLEL to the equation y = 4x +3?

Front

4

Back

How do you find slope given two points?

Front

Back

x - 2y = -24

Front

Convert y = 1/2 x + 12 to standard form

Back

Opposite reciprocal means.....

Front

the sign changes and the fraction flips.

Back

What would be the slope of the line PERPENDICULAR to the equation y = 4x +3?

Front

-1/4

Back

What is a point on the line y -4 = 10 (x +2)

Front

(-2,4)

Back

y = # is a _____________________ line with a __________________ slope.

Front

horizontal, zero

Back