Exponential Functions (Algebra 1)

Exponential Functions (Algebra 1)

memorize.aimemorize.ai (lvl 286)
Section 1

Preview this deck

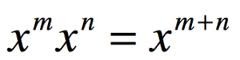
Product Rule

Front

Star 0%
Star 0%
Star 0%
Star 0%
Star 0%

0.0

0 reviews

5
0
4
0
3
0
2
0
1
0

Active users

0

All-time users

0

Favorites

0

Last updated

6 years ago

Date created

Mar 1, 2020

Cards (15)

Section 1

(15 cards)

Product Rule

Front

If bases are the same, keep the common base and ADD the exponents.

Back

Negative Exponent

Front

When a number has a negative exponent, the exponent becomes positive by changing the base to its reciprocal.

Back

Common Ratio

Front

The ratio that the output of an exponential function changes (is multiplied by) for each increase of one in the input.

Back

Initial Value

Front

The initial value is the y-intercept of the function. The input of an exponential function is an exponent, so if we make the input zero the base will become one. This means that the initial value is multiplied one and it remains the same.

Back

Exponential Growth

Front

Occurs when a quantity increases exponentially over time. As the input approaches infinity, the output approaches infinity. Common ratio is greater than 1.

Back

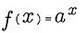
Exponential Function

Front

A function with a constant base raised to a variable power (the input). The output of an exponential functions grows by a common factor or constant percent. The base must be greater than zero, but cannot equal one.

Back

Exponent

Front

A mathematical notation indicating the number of times a quantity (base) is multiplied by itself.

Back

Base

Front

The number (or expression) that is being raised to a power.

Back

Growth Rate

Front

The percentage at which the output of an exponential functions increases or decreases by for each increase of one in the input.

Back

Zero Exponent

Front

Any non-zero number raised to the zero power is 1.

Back

Expanded Form

Front

Shows the number of times a base is being multiplied by itself.

Back

Rate of Change

Front

Describes how a quantity is changing over time.

Back

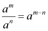
Quotient Rule

Front

When dividing powers with the same base KEEP base and SUBTRACT the exponents.

Back

Power Rule

Front

To raise a power to another power, write the base and MULTIPLY the exponents.

Back

Exponential Decay

Front

Occurs when a quantity decreases exponentially over time. As the input approaches infinity, the output approaches zero. Common ratio is between 0 and 1.

Back