Section 1

Preview this deck

line segemnt

Front

Star 0%
Star 0%
Star 0%
Star 0%
Star 0%

0.0

0 reviews

5
0
4
0
3
0
2
0
1
0

Active users

0

All-time users

0

Favorites

0

Last updated

6 years ago

Date created

Mar 1, 2020

Cards (20)

Section 1

(20 cards)

line segemnt

Front

straight and made up of 2 points, has definite ending and beginning, named by using the endpoints only, always use 2 letters to name a segment

Back

noncollinear points

Front

don't lie on same line

Back

theorms

Front

facts/rules about geometry that have been proven true

Back

point

Front

named by using a capital letter

Back

ray

Front

straight line made up of points, has begging but no end, starting point of this is called an endpoint, name using the endpoint first and another point on it.

Back

plane

Front

2 dimensions, extends without end in all directions, takes at least 3 noncollinear points, named with a single uppercase script letter or by 3 noncollinear points.

Back

ruler postulate

Front

the distance between 2 points is the absolute value of the difference of the coordinates of the points

Back

line

Front

named with a single lowercase cursive letter or by any two points on it

Back

coplaner

Front

lie on the same plane

Back

congruent segments

Front

segments that have the same length

Back

noncoplaner

Front

don't lie on the same plane

Back

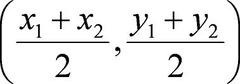
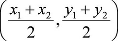
midpoint formula

Front

Back

opposite rays

Front

have the same endpoint and extend in opposite directions

Back

collinear points

Front

lie on same line

Back

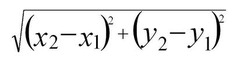
distance formula

Front

Back

angle addition postualte

Front

adding angles within one large angle to find the large angle

Back

segment addition postualte

Front

if b is between a and c, then ab+bc=ac

Back

segment bisector

Front

segment, ray, line, or plane that intersects a segment at its midpoint

Back

postulates

Front

facts about geometry that are accepted as true

Back

between

Front

a point is between 2 points only if the 3 pints are collinear

Back