AP Physics 1 - Kinematics

AP Physics 1 - Kinematics

memorize.aimemorize.ai (lvl 286)
Section 1

Preview this deck

Vector

Front

Star 0%
Star 0%
Star 0%
Star 0%
Star 0%

0.0

0 reviews

5
0
4
0
3
0
2
0
1
0

Active users

0

All-time users

0

Favorites

0

Last updated

6 years ago

Date created

Mar 1, 2020

Cards (32)

Section 1

(32 cards)

Vector

Front

Has both magnitude and direction

Back

Vertical Variables

Front

Back

Pythagorean Theorem

Front

Used to add together perpendicular vectors

Back

Trajectory

Front

The path an object follows

Back

Distance

Front

How far an object actually moves

Back

Top of flight

Front

Vy= 0

Back

Horizontal Variables

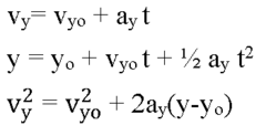
Front

Back

Vertical Kinematic Equations

Front

Back

Projectile Acceleration in X direction

Front

Zero

Back

Area of Velocity vs. Time

Front

This area equals change in position

Back

Position

Front

Where an object is, in terms of a well-chosen origin.

Back

Negative of a Vector

Front

Flips the direction of a vector

Back

Speed

Front

How fast Always positive

Back

Acceleration due to Gravity

Front

On Earth, -9.8 m/s^2

Back

Scalar

Front

Has only magnitude (just a number)

Back

Area of Acceleration vs. Time

Front

This area equals change in velocity

Back

Projectile Acceleration in Y direction

Front

g=9.8 m/s^2 downward (or 10 m/s^2)

Back

Complementary Angles

Front

Add up to 90 degrees

Back

Parabola

Front

The shape of a projectile's trajectory

Back

Range

Front

horizontal displacement over level ground

Back

Free Fall

Front

The only force on an object is gravity

Back

Resultant

Front

The answer to a vector addition problem

Back

Acceleration

Front

Change in velocity / Time

Back

Velocity

Front

Displacement over time

Back

Slope of Position vs. Time

Front

This slope equals velocity

Back

Positive vs. Negative Velocity

Front

Tells you the direction of travel

Back

Slope of Velocity vs. Time

Front

This slope equals acceleration

Back

Negative Acceleration

Front

Slowing down in positive direction Speeding up in negative direction

Back

Projectile

Front

An object that is thrown or launched

Back

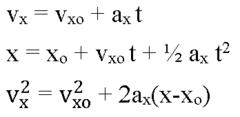
Horizontal Kinematic Equations

Front

Back

Displacement

Front

An object's change in position

Back

Positive Acceleration

Front

Speeding up in positive direction Slowing down in negative direction

Back