AP Calculus AB Formulas

AP Calculus AB Formulas

memorize.aimemorize.ai (lvl 286)
Section 1

Preview this deck

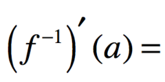
1/[f'(f^(-1)(a))]

Front

Star 0%
Star 0%
Star 0%
Star 0%
Star 0%

0.0

0 reviews

5
0
4
0
3
0
2
0
1
0

Active users

0

All-time users

0

Favorites

0

Last updated

6 years ago

Date created

Mar 1, 2020

Cards (25)

Section 1

(25 cards)

1/[f'(f^(-1)(a))]

Front

Back

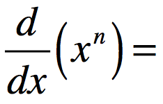
nx^(n-1)

Front

Back

Average rate of change or average velocity

Front

Back

concavity

Front

sign of

Back

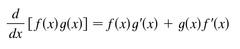
Product Rule

Front

Back

e^u + C

Front

Back

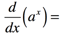
a^x∙lna

Front

Back

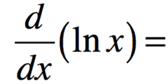
1/x

Front

Back

1/(xlna)

Front

Back

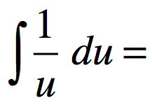
ln|u| + C

Front

Back

Equation of a tangent line

Front

Back

slope

Front

Back

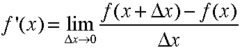
Definition of Derivative at x = a

Front

Back

L'Hopital's Rule

Front

Back

Critical Points

Front

Back

Possible Inflection Points

Front

Back

(a^u)/lna + C

Front

Back

Fundamental Theorem of Calculus

Front

Back

Where is a function not differentiable?

Front

Cusp, corner, vertical tangent line, and discontinuity.

Back

Justify approximation of Riemann Sum

Front

Use increasing or decreasing

Back

x^(n+1)/(n+1) + C

Front

Back

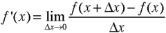
Definition of Derivative

Front

Back

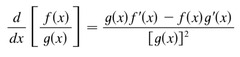
Quotient Rule

Front

Back

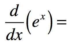
e^x

Front

Back

Chain Rule

Front

Back