Section 1

Preview this deck

Second Derivative

Front

Star 0%
Star 0%
Star 0%
Star 0%
Star 0%

0.0

0 reviews

5
0
4
0
3
0
2
0
1
0

Active users

3

All-time users

4

Favorites

0

Last updated

6 years ago

Date created

Mar 14, 2020

Cards (50)

Section 1

(50 cards)

Second Derivative

Front

Take first derivative. Then, find the derivative of the first derivative. f'(x), then f''(x).

Back

Concave Up

Front

The second derivative is positive

Back

Derivative of cosx

Front

Back

RRAM

Front

the method of approximating the area under a curve by drawing right-hand rectangles

Back

Concavity

Front

The rate of change of a function's derivative

Back

Instantaneous Rate of Change (IROC)

Front

Slope of tangent line at a point, value of derivative at a point; estimated

Back

Derivative of Cotangent

Front

Back

Derivative of secx

Front

Back

LRAM

Front

the method of approximating the area under a curve by drawing left-hand rectangles

Back

dy/dx

Front

the derivative of y with respect to x

Back

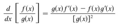
Quotient Rule

Front

The derivative of a division function

Back

Mean Value Theorem

Front

if f(x) is defined and continuous on the interval [a,b] and differentiable on (a,b), then there is at least one number c in the interval (a,b)

Back

Discontinuous Function

Front

A function with a jump, hole, or asymptote.

Back

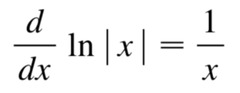
Derivative of a Natural Log

Front

Back

Trapezoidal Rule

Front

use trapezoids estimate the area under a curve.

Back

Derivative of sinx

Front

Back

Concave Down

Front

The second derivative is negative

Back

Radicand Functions

Front

Continuous when ever the radical is greater than or equal to zero

Back

Relative Miniumum

Front

The lowest point in a particular section of a graph

Back

Vertical Tangent Line

Front

Occurs when the slope of a like is undefined

Back

Vertical Asymptotes

Front

Occurs when the denominator of a function equals zero

Back

Jump Discontinuity

Front

A graph that has discontinuity where the function moves to a different y-value and then continues.

Back

derivative of cscx

Front

Back

L'Hospitals Rule

Front

lim (f(x)) = lim (f'(x)) = lim (f''(x))

Back

Third Derivative

Front

the derivative of the second derivative and is the rate of change of the concavity

Back

Critical points of a Function

Front

Points on the graph of a function where the derivative is zero or the derivative does not exist.

Back

Asymptote Discontinuity

Front

Back

Velocity

Front

The derivative of the position function

Back

Derivative of e^x

Front

e^x (remains the same)

Back

Horizontal Tangent Line

Front

f'(x)=0

Back

Exponential Function

Front

Continuous everywhere

Back

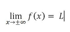
Limit of a Function

Front

A function f(x) has a limit as x approaches c if and only if the right-hand and left-hand limits at c exist and are equal.

Back

One-sided limits

Front

left-hand limit is used to find the limit as x approaches c from the left and right hand limit is used to find the limit as x approaches c from the right.

Back

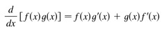
Product Rule

Front

The derivative of a multiplication function

Back

Horizontal Asymptote

Front

a horizontal line that the curve approaches but never reaches

Back

Point of Inflection

Front

the point where the graph changes concavity

Back

Relative Maximum

Front

The highest point in a particular section of a graph.

Back

Average Rate of Change (AROC)

Front

Found using two points

Back

Polynomial Functions

Front

Continuous everywhere

Back

Continuous Function

Front

A function whose graph is an unbroken line or curve with no gaps or breaks.

Back

Hole Discontinuity

Front

Back

The limit does not exist

Front

There is no limit for the value that c is approaching (see picture for some cases where the limit doesn't exist)

Back

Rate of Change (ROC)

Front

slope

Back

Derivative of tanx

Front

Back

Acceleration

Front

Found by doing the derivative of velocity.

Back

Chain Rule

Front

f '(g(x)) g'(x)

Back

Differentiable Function

Front

A continuous function whose derivative exists at each point in its domain

Back

Squeeze Theorem

Front

ƒ(x) ≤ g(x) ≤ h(x) for all x and if the limit of ƒ(x) as x→c = L and the limit of h(x) as x→c = L, then the limit of g(x) as x→c = L

Back

Rationsal Funtions

Front

Continuous everywhere except when the denominator equals zero

Back

Intermediate Value Theorem (IVT)

Front

If f is continuous on the closed interval [a,b] and k is any number between f(a) and f(b), then there is at least one number c in [a,b] such that f(c)=k

Back