Section 1

Preview this deck

-ln(cosx)+C = ln(secx)+C

Front

Star 0%
Star 0%
Star 0%
Star 0%
Star 0%

0.0

0 reviews

5
0
4
0
3
0
2
0
1
0

Active users

0

All-time users

0

Favorites

0

Last updated

6 years ago

Date created

Mar 1, 2020

Cards (176)

Section 1

(50 cards)

-ln(cosx)+C = ln(secx)+C

Front

hint: tanu = sinu/cosu

Back

Mean Value Theorem for integrals or the average value of a functions

Front

Back

Critical Number

Front

If f'(c)=0 or does not exist, and c is in the domain of f, then c is a critical number. (Derivative is 0 or undefined)

Back

Intermediate Value Theorem

Front

If f is continuous on [a,b] and k is a number between f(a) and f(b), then there exists at least one number c such that f(c)=k

Back

-csc(x)+C

Front

Back

Point of inflection at x=k

Front

Back

Global Definition of a Derivative

Front

Back

0

Front

Back

Alternative Definition of a Derivative

Front

f '(x) is the limit of the following difference quotient as x approaches c

Back

sin(x)+C

Front

Back

ln(sinx)+C = -ln(cscx)+C

Front

Back

If f and g are inverses of each other, g'(x)

Front

Back

nx^(n-1)

Front

Back

tan(x)+C

Front

Back

Rolle's Theorem

Front

Let f be continuous on [a,b] and differentiable on (a,b) and if f(a)=f(b) then there is at least one number c on (a,b) such that f'(c)=0 (If the slope of the secant is 0, the derivative must = 0 somewhere in the interval).

Back

Formula for Washer Method

Front

Axis of rotation is not a boundary of the region.

Back

uvw'+uv'w+u'vw

Front

Back

1

Front

Back

Mean Value Theorem

Front

The instantaneous rate of change will equal the mean rate of change somewhere in the interval. Or, the tangent line will be parallel to the secant line.

Back

sec²(x)

Front

Back

Fundamental Theorem of Calculus #2

Front

Back

-csc²(x)

Front

Back

1

Front

Back

sec(x)tan(x)

Front

Back

Extreme Value Theorem

Front

If f is continuous on [a,b] then f has an absolute maximum and an absolute minimum on [a,b]. The global extrema occur at critical points in the interval or at endpoints of the interval.

Back

dy/dx

Front

Back

ln(secx+tanx)+C = -ln(secx-tanx)+C

Front

Back

Fundamental Theorem of Calculus #1

Front

The definite integral of a rate of change is the total change in the original function.

Back

x+c

Front

Back

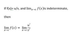
L'Hopital's Rule

Front

Back

Horizontal Asymptote

Front

Back

Formula for Disk Method

Front

Axis of rotation is a boundary of the region.

Back

cf'(x)

Front

Back

ln(x)+C

Front

Back

-cos(x)+C

Front

Back

f'(g(x))g'(x)

Front

Back

cos(x)

Front

Back

Exponential growth (use N= )

Front

Back

f is continuous at x=c if...

Front

Back

Squeeze Theorem

Front

Back

f'(x)-g'(x)

Front

Back

Area under a curve

Front

Back

The position function OR s(t)

Front

Back

Combo Test for local extrema

Front

If f'(c) = 0 and f"(c)<0, there is a local max on f at x=c. If f'(c) = 0 and f"(c)>0, there is a local min on f at x=c.

Back

-cot(x)+C

Front

Back

ln(cscx+cotx)+C = -ln(cscx-cotx)+C

Front

Back

sec(x)+C

Front

Back

f'(x)+g'(x)

Front

Back

First Derivative Test for local extrema

Front

Back

-sin(x)

Front

Back

Section 2

(50 cards)

Squaring function

Front

D: (-∞,+∞) R: (o,+∞)

Back

cos(3π/2)

Front

0

Back

cos(5π/4)

Front

−√2/2

Back

sin(5π/6)

Front

1/2

Back

Logistic function

Front

D: (-∞,+∞) R: (0, 1)

Back

sin(π/4)

Front

√2/2

Back

Constants in integrals

Front

Back

Cubing function

Front

D: (-∞,+∞) R: (-∞,+∞)

Back

sin(π/3)

Front

√3/2

Back

sin(3π/2)

Front

−1

Back

Cosine function

Front

D: (-∞,+∞) R: [-1,1]

Back

sin(π)

Front

0

Back

sin(π/2)

Front

1

Back

cos(4π/3)

Front

−1/2

Back

Inverse Tangent Antiderivative

Front

Back

cos(π/2)

Front

0

Back

Derivative of ln(u)

Front

Back

Adding or subtracting antiderivatives

Front

Back

sin(π/6)

Front

1/2

Back

sin(7π/6)

Front

−1/2

Back

sin(4π/3)

Front

−√3/2

Back

Inverse Secant Antiderivative

Front

Back

cos(7π/4)

Front

√2/2

Back

sin(5π/4)

Front

−√2/2

Back

cos(3π/4)

Front

−√2/2

Back

cos(π)

Front

−1

Back

Derivative of eⁿ

Front

Back

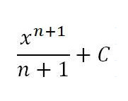
Antiderivative of xⁿ

Front

Back

Absolute value function

Front

D: (-∞,+∞) R: [0,+∞)

Back

sin(2π/3)

Front

√3/2

Back

cos(5π/3)

Front

1/2

Back

sin(3π/4)

Front

√2/2

Back

cos(π/3)

Front

1/2

Back

cos(2π)

Front

1

Back

cos(π/4)

Front

√2/2

Back

Square root function

Front

D: (0,+∞) R: (0,+∞)

Back

cos(π/6)

Front

√3/2

Back

Reciprocal function

Front

D: (-∞,+∞) x can't be zero R: (-∞,+∞) y can't be zero

Back

Natural log function

Front

D: (0,+∞) R: (-∞,+∞)

Back

cos(5π/6)

Front

−√3/2

Back

Antiderivative of f(x) from [a,b]

Front

Back

ln(a)*aⁿ+C

Front

Back

cos(7π/6)

Front

−√3/2

Back

Sine function

Front

D: (-∞,+∞) R: [-1,1]

Back

Inverse Sine Antiderivative

Front

Back

cos(11π/6)

Front

√3/2

Back

cos(2π/3)

Front

−1/2

Back

Exponential function

Front

D: (-∞,+∞) R: (0,+∞)

Back

Opposite Antiderivatives

Front

Back

Identity function

Front

D: (-∞,+∞) R: (-∞,+∞)

Back

Section 3

(50 cards)

What does the graph y = tan(x) look like?

Front

Back

f(x)=-lnx

Front

Asymptote: x=0 Domain: (0, ∞)

Back

What does the graph y = sec(x) look like?

Front

Back

f(x)=ln(x-2)

Front

Asymptote: x=2 Domain: (2, ∞)

Back

∫1/(a^2+x^2)dx=

Front

(1/a)(tan⁻¹(x/a)+C

Back

d/dx[e^x]=

Front

e^x

Back

d/dx[a^g(x)]=

Front

g'(x)a^g(x)lna

Back

d/dx[cos⁻¹x]=

Front

-1/√(1-x^2)

Back

sin(11π/6)

Front

−1/2

Back

What does the graph y = sin(x) look like?

Front

Back

f(x) = e^(x-2)

Front

Asymptote: y=0 Domain: (-∞, ∞)

Back

What does the graph y = cos(x) look like?

Front

Back

f(x) = e^(x) +2

Front

Asymptote: y=2 Domain: (-∞, ∞)

Back

d/dx[tanx]=

Front

sec²x

Back

sin(7π/4)

Front

−√2/2

Back

∫a^xdx=

Front

(a^x)/lna+C

Back

What does the graph y = cot(x) look like?

Front

Back

sin(5π/3)

Front

−√3/2

Back

∫1/(1+x^2)dx=

Front

tan⁻¹x+C

Back

d/dx[tan⁻¹x]=

Front

1/(1+x^2)

Back

What does the graph y = sin(x) look like?

Front

Back

What does the graph y = csc(x) look like?

Front

Back

Trig Identity: sin²x=

Front

½(1-cos(2x))

Back

What does the graph y = tan(x) look like?

Front

Back

Trig Identity: sin(2x)=

Front

2sinxcosx

Back

f(x)=e^(x+2)

Front

Asymptote: y=0 Domain: (-∞, ∞)

Back

d/dx[secx]=

Front

secxtanx

Back

Trig Identity: cos²x=

Front

½(1+cos(2x))

Back

f(x)= -2+lnx

Front

Asymptote: x=0 Domain: (0, ∞)

Back

d/dx[e^g(x)]=

Front

g'(x)e^g(x)

Back

Trig Identity: cos(2x)=

Front

1-2sin²x = 2cos²x-1

Back

f(x)=ln(x+2)

Front

Asymptote: x=-2 Domain: (-2, ∞)

Back

∫tanxdx=

Front

ln|secx|+C

Back

d/dx[a^x]=

Front

a^x*lna

Back

Integration by Parts: Choice of u

Front

I = Inverse Trig Function L = Natural log (lnx) A = Algebraic Expression (x, x², x³...) T = Trig function (sinx, cosx) E = e^x

Back

d/dx[cscx]=

Front

-cscxcotx

Back

d/dx[cotx]=

Front

-csc²x

Back

What does the graph y = cos(x) look like?

Front

Back

∫1/√(1-x^2)dx=

Front

sin⁻¹x+C

Back

What does the graph y = csc(x) look like?

Front

Back

What does the graph y = sec(x) look like?

Front

Back

f(x)=ln(-x)

Front

Asymptote: x=0 Domain: (-∞, 0)

Back

Trig Identity: 1=

Front

cos²x+sin²x

Back

∫1/xdx=

Front

ln|x|+C

Back

Trig Identity: sec²x=

Front

tan²x+1

Back

sin(2π)

Front

0

Back

∫e^xdx=

Front

e^x+C

Back

d/dx[sin⁻¹x]=

Front

1/√(1-x^2)

Back

∫secxdx=

Front

ln|secx+tanx|+C

Back

What does the graph y = cot(x) look like?

Front

Back

Section 4

(26 cards)

Integration by Parts: Choice of u

Front

I = Inverse Trig Function L = Natural log (lnx) A = Algebraic Expression (x, x², x³...) T = Trig function (sinx, cosx) E = e^x

Back

∫1/√(1-x^2)dx=

Front

sin⁻¹x+C

Back

Trig Identity: cos²x=

Front

½(1+cos(2x))

Back

∫a^xdx=

Front

(a^x)/lna+C

Back

d/dx[a^g(x)]=

Front

g'(x)a^g(x)lna

Back

∫1/(1+x^2)dx=

Front

tan⁻¹x+C

Back

∫secxdx=

Front

ln|secx+tanx|+C

Back

d/dx[a^x]=

Front

a^x*lna

Back

∫e^xdx=

Front

e^x+C

Back

d/dx[sin⁻¹x]=

Front

1/√(1-x^2)

Back

d/dx[secx]=

Front

secxtanx

Back

Trig Identity: sin(2x)=

Front

2sinxcosx

Back

d/dx[cos⁻¹x]=

Front

-1/√(1-x^2)

Back

Trig Identity: 1=

Front

cos²x+sin²x

Back

∫1/xdx=

Front

ln|x|+C

Back

Trig Identity: sin²x=

Front

½(1-cos(2x))

Back

d/dx[e^x]=

Front

e^x

Back

∫tanxdx=

Front

ln|secx|+C

Back

d/dx[cotx]=

Front

-csc²x

Back

d/dx[cscx]=

Front

-cscxcotx

Back

∫1/(a^2+x^2)dx=

Front

(1/a)(tan⁻¹(x/a)+C

Back

Trig Identity: cos(2x)=

Front

1-2sin²x = 2cos²x-1

Back

d/dx[tan⁻¹x]=

Front

1/(1+x^2)

Back

Trig Identity: sec²x=

Front

tan²x+1

Back

d/dx[e^g(x)]=

Front

g'(x)e^g(x)

Back

d/dx[tanx]=

Front

sec²x

Back