Section 1

Preview this deck

∫cos u du

Front

Star 0%
Star 0%
Star 0%
Star 0%
Star 0%

0.0

0 reviews

5
0
4
0
3
0
2
0
1
0

Active users

3

All-time users

3

Favorites

0

Last updated

1 year ago

Date created

Mar 14, 2020

Cards (31)

Section 1

(31 cards)

∫cos u du

Front

sin u + C

Back

f(g(x))*g'(x)

Front

Back

∫sec u tan u du

Front

sec u + C

Back

∫csc u cot u du

Front

-csc u + C

Back

underestimates

Front

Back

overestimates

Front

Back

arcsec |u| + C

Front

Back

underestimates

Front

Back

∫csc² u du

Front

-cot u + C

Back

∫uⁿ du

Front

Back

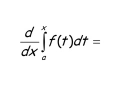
Fundamental Theorem of Calculus

Front

Back

k∫f(x)dx

Front

Back

arctan u + C

Front

Back

∫cot u du

Front

-ln |csc u| + C

Back

overestimates

Front

Back

underestimates

Front

Back

overestimates

Front

Back

0

Front

Back

ln |u| + C

Front

Back

overestimates

Front

Back

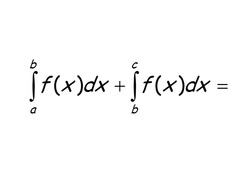
Integral from a to c of f(x)

Front

Back

∫a^u du

Front

Back

∫f(x)dx ± ∫g(x)dx

Front

Back

∫tan u du

Front

ln |sec u| + C

Back

f(x)

Front

Back

∫sin u du

Front

-cos u + C

Back

e^u + C

Front

Back

∫sec² u du

Front

tan u + C

Back

underestimates

Front

Back

arcsin u + C

Front

Back

F(b) - F(a) where F' = f

Front

Back