AP Chemistry Ch. 11 Intermolecular forces

AP Chemistry Ch. 11 Intermolecular forces

memorize.aimemorize.ai (lvl 286)
Section 1

Preview this deck

Water

Front

Star 0%
Star 0%
Star 0%
Star 0%
Star 0%

0.0

0 reviews

5
0
4
0
3
0
2
0
1
0

Active users

0

All-time users

0

Favorites

0

Last updated

6 years ago

Date created

Mar 1, 2020

Cards (37)

Section 1

(37 cards)

Water

Front

Substance exhibiting hydrogen bonding

Back

Dipole-dipole forces

Front

forces between polar molecules (partially charged)- opposite poles match up by electrostatic attraction

Back

intermolecular force strength

Front

measured by: boiling and melting point- the higher, the stronger the forces

Back

Critical point

Front

Letter D

Back

Surface Tension

Front

The force exerted along the surface of a fluid that causes it to "bead up" and form into drops

Back

Intramolecular Force

Front

Force within a molecule

Back

solubility

Front

A measure of how much solute can dissolve in a given solvent at a given temperature.

Back

Covalent Bond

Front

Force of attraction within a molecule created by the sharing of electrons

Back

Inverse relationship

Front

Relationship between the strength of the intermolecular force and the vapor pressure

Back

Boiling point

Front

Temperature at which the vapor pressure is equal to the atmospheric pressure

Back

Dispersion forces

Front

Weak force- Occurs between all non-polar molecules due to their electron density. - Collision of 2 non-polar molecules causes their electrostatic regions to shift temporarily (creating induced dipoles) and the molecules are instantaneously attracted - Increase with molar mass

Back

hydrocarbons

Front

Substance exhibiting London dispersion forces

Back

Polar Molecule

Front

Molecule in which the covalent bonds are asymmetrically arranged

Back

surface tension

Front

the amount of energy required to stretch the surface area of a liquid by unit area

Back

Dipole-Dipole Force

Front

Intermolecular force between polar molecules

Back

Vapor Pressure

Front

Pressure exerted on the surface of a liquid by the vapor

Back

Polarizability

Front

Ease with which the electron distribution in a molecule can be distorted Increases with: - greater number of electrons - more diffuse electron cloud

Back

Boiling point

Front

Letter F

Back

Hydrogen bonds

Front

A special dipole-dipole interaction between a Hydrogen atom and either N, O, or F atom

Back

Melting point

Front

Letter E

Back

viscosity

Front

a measure of a fluid's resistance to flow

Back

Nonpolar Molecule

Front

Molecule in which the covalent bonds are symmetrically arranged

Back

Ionic Bond

Front

Force of attraction created by the transfer of electrons between atoms

Back

Liquid phase

Front

Letter G

Back

Triple point

Front

Letter B

Back

polar molecule

Front

molecule that has an overall dipole moment

Back

Intermolecular Force

Front

Force between molecules

Back

Direct relationship

Front

Relationship between strength of intermolecular force and boiling point

Back

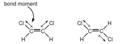
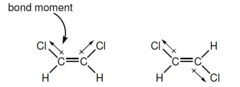
dipole moment

Front

sum of individual bond moments

Back

Types of intermolecular forces:

Front

Ion-dipole Hydrogen Bonding Dipole-dipole London Dispersion

Back

bond moment (dipole)

Front

a vector that indicates the size of the polarity of a particular covalent bond (within a molecule)- points in the direction of the more electronegative atom

Back

Intramolecular forces

Front

forces that hold the atoms together in a molecule

Back

London Dispersion Force

Front

Intermolecular force between nonpolar molecules

Back

Carbon monoxide

Front

Substance exhibiting dipole-dipole forces

Back

Ion-dipole forces

Front

forces between a fully charged species (ion) and a dipole by electrostatic attraction. Increase in strength with increase in charge or decrease in size of ion

Back

Intermolecular forces

Front

interactions between molecules (much weaker)

Back

Hydrogen Bond

Front

Intermolecular force between molecules containing hydrogen bonded to N, O, or F

Back