AP Calculus AB Midterm

AP Calculus AB Midterm

memorize.aimemorize.ai (lvl 286)
Section 1

Preview this deck

extreme value theorem

Front

Star 0%
Star 0%
Star 0%
Star 0%
Star 0%

0.0

0 reviews

5
0
4
0
3
0
2
0
1
0

Active users

0

All-time users

0

Favorites

0

Last updated

6 years ago

Date created

Mar 1, 2020

Cards (43)

Section 1

(43 cards)

extreme value theorem

Front

Back

inflection point

Front

Let f be continuous on I containing x=c. If the graph has a tangent line at x=c and the concavity changes over x=c then c is an inflection point

Back

critical number

Front

the exception is if there is a jump discontinuity

Back

2nd derivative test

Front

Back

constant rule

Front

Back

"infinite limit"

Front

When the function either increases without bound or decreases without bound

Back

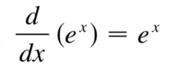
derivative of the natural exponential function

Front

Back

definition of increasing and decreasing

Front

let f be continuous on [a,b] and differentiable on (a,b). 1) if f'(x)>0 for all x in (a,b) then f is increasing [a,b] 2) if f''(x)<0 for all x in (a,b) then f is decreasing on [a,b] 3) if f'(x)=0 for all x on (a,b) then f is constant on [a,b]

Back

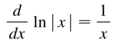
natural log derivative

Front

Back

local linearity

Front

looks linear even though it is a curve

Back

squeeze theorem

Front

If one can demonstrate that a function, which cannot be analytically evaluated for a limit, is bound by two other functions and the 2 sided limit of those functions is equal, you can evaluate the limit using the other two functions. sin(x)/x =1 and 1-cos(X)/x =0 come from this theorem.

Back

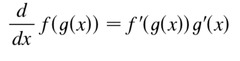
chain rule

Front

Back

definition of relative extrema

Front

Back

hole

Front

removable discontinuity

Back

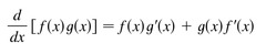
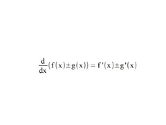
sum/difference rule

Front

Back

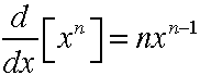
power rule

Front

Back

concave up

Front

increasing slope

Back

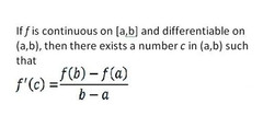
Mean Value Theorem

Front

Back

formal definition of a limit

Front

Let f be defined on an open interval containing the number c (except possibly at c) and let L be a real number.

Back

undefined slope/non-differentiable

Front

function is not locally linear, vertical tangent line, or any discontinuity

Back

definition of extrema

Front

Back

concave down

Front

decreasing slope

Back

vertical asymptotes

Front

let p(x) and q(x) define polynomials for the rational function defined by f(x) = p(x)/q(x), written in lowest terms and for a real number a, if the absolute value of f(X) approaches infinity as x approaches a, then x=a is a vertical asymptote. This occurs where q(x) = 0.

Back

derivative of sin

Front

Back

break

Front

jump discontinuity (usually piecewise)

Back

Rolle's Theorem

Front

Back

constant multiple rule

Front

Back

product rule

Front

Back

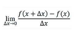
general definition of the deriviative

Front

Back

continuity

Front

what does differentiability imply?

Back

infinite limit

Front

let f be a function that is defined for every real number on some open interval containing a (except possibly a): 1: (see image) this means that for each m>0, there exists a delta>0 such that f(x)>m whenever 0<[x-c]<delta 2:(image, but with negative infinity) this means that for each n>0, there exists a delta>0 such that f(x)<m whenever 0<[x-c]<delta

Back

e

Front

irrational number, equal to about 2.718281828459045, and is the base of the natural log function

Back

intermediate value theorem

Front

existence theorem

Back

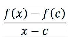
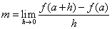
derivative at a specific point

Front

Back

add a - super script for the left, and a + super script for the right

Front

How do you delineate limits from the left and right?

Back

derivative of cosine

Front

Back

indeterminate forms

Front

0/0 and infinity/infinity

Back

informal definition of a limit

Front

if f(x) becomes arbitrarily close to some number l as x approaches c from either side, the limit of f(x), as x approaches c, is l.

Back

quotient rule

Front

Back

definition of tangent line

Front

if f is defined on an open interval containing a, and if the limit (see image) exists, then the line passing through (a, f(a)) with slope m is the tangent line to the graph of f at the point (a, f(a)).

Back

continuous function

Front

no breaks or asymptotes. every point exists at its limit

Back

1st derivative test

Front

Back

continuity definition

Front

a function is continuous at x=c provided that f(c) is defined, the limit of f(x) as x approaches c is defined, and f(c) equals the limit of f(x) as x approaches c.

Back