Section 1

Preview this deck

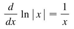
d/dx [ln|x|] =

Front

Star 0%
Star 0%
Star 0%
Star 0%
Star 0%

0.0

0 reviews

5
0
4
0
3
0
2
0
1
0

Active users

0

All-time users

0

Favorites

0

Last updated

6 years ago

Date created

Mar 1, 2020

Cards (35)

Section 1

(35 cards)

d/dx [ln|x|] =

Front

Back

d/dx [cotx]

Front

Back

- cscxcotx

Front

Back

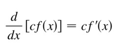
cf'(x)

Front

derivative of a constant times a function

Back

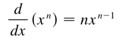
d/dx [x^n] =

Front

power rule

Back

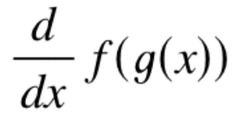
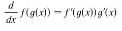
f'(g(x))g'(x)

Front

chain rule

Back

d/dx [a^x] =

Front

Back

d/dx [sinx]

Front

Back

d/dx [cosx]

Front

Back

- sinx

Front

Back

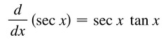
d/dx [secx]

Front

Back

chain rule

Front

Back

d/dx [cscx]

Front

Back

secxtanx

Front

Back

d/dx [a^x]

Front

Back

d/dx [tanx]

Front

Back

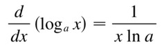
d/dx [log_a X] =

Front

Back

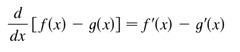
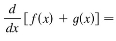
derivative of the difference between two functions

Front

Back

d/dx [tanx]

Front

Back

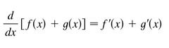
f'(x) + g'(x)

Front

derivative of the summation of two functions

Back

derivative of a log base a

Front

Back

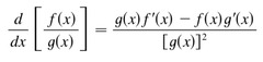
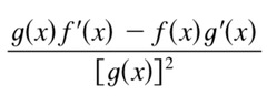
d/dx [f(x)/g(x)] =

Front

quotient rule

Back

e^x

Front

Back

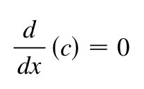
derivative of a constant

Front

Back

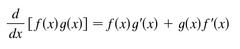
product rule

Front

Back

derivative of an exponential function

Front

Back

derivative of a natural log

Front

Back

cosx

Front

Back

d/dx [cotx]

Front

Back

f(x)g'(x) + g(x)f'(x)

Front

derivative of the multiplaction of two functions

Back

derivative of a power

Front

Back

derivative of the sumation of two functions

Front

Back

f'(x) - g'(x)

Front

derivative of the difference between two functions

Back

derivative of a constant times a function

Front

Back

quotient rule

Front

Back