Section 1

Preview this deck

The sum of the exterior angles of a regular polygon will always equal _________ degrees

Front

Star 0%
Star 0%
Star 0%
Star 0%
Star 0%

0.0

0 reviews

5
0
4
0
3
0
2
0
1
0

Active users

1

All-time users

2

Favorites

0

Last updated

6 years ago

Date created

Mar 1, 2020

Cards (16)

Section 1

(16 cards)

The sum of the exterior angles of a regular polygon will always equal _________ degrees

Front

360

Back

Trapezoids

Front

-quadrilateral -one pair of parallel sides

Back

Midsegment of a trapezoid

Front

a segment that connects the midpoints of the legs of a trapezoid

Back

Parallelogram

Front

-quadrilateral -2 pairs of opposite parallel sides -2 pairs of opposite congruent sides -2 pairs of opposite congruent angles -consecutive supplementary angles -diagonals bisect

Back

You did it

Front

hehehe

Back

formula to find the sum of the interior angles of a polygon

Front

180(n-2)

Back

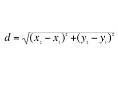
distance formula

Front

Back

Base angle

Front

angles of a trapezoid formed by the base and one of the legs

Back

Square

Front

-parallelogram -4 congruent sides -4 right angles

Back

Rhombi

Front

-parallelogram -perpendicular diagonals -diagonals bisect a pair of opposite angles

Back

Explain how to prove on a coordinate plane that a quadrilateral is a rhombus

Front

use slope and the distance formula

Back

Diagonal

Front

a segment that connects any two nonconsecutive vertices

Back

Isosceles trapezoid

Front

a trapezoid with congruent legs -congruent base angles -congruent diagonals

Back

Rectangles,

Front

-parallelogram -4 opposite congruent angles

Back

Kites

Front

-quadrilateral -2 pairs of consecutive congruent sides -1 pair of opposite congruent angles -perpendicular diagonals

Back

Base & legs

Front

base: parallel sides of a trapezoid leg:non-parallel sides

Back