Section 1

Preview this deck

Fractional Exponents

Front

Star 0%
Star 0%
Star 0%
Star 0%
Star 0%

0.0

0 reviews

5
0
4
0
3
0
2
0
1
0

Active users

0

All-time users

0

Favorites

0

Last updated

6 years ago

Date created

Mar 1, 2020

Cards (69)

Section 1

(50 cards)

Fractional Exponents

Front

The denominator becomes the value to which you take the root, and the numerator becomes the exponent to which you take the number under the root sign.

Back

Domain

Front

the set of all possible input values. he domain of a rational expression includes all real numbers except for those that make its denominator zero.

Back

Difference of Two Squares

Front

(a2 - b2) = (a+b) (a-b)

Back

6. Even + Even =

Front

6. Even

Back

Rational Expressions

Front

a quotient of two polynomials. Or in other words, it is a fraction whose numerator and denominator are polynomials.

Back

2. Odd * Odd =

Front

2. Odd

Back

4. Even + Odd =

Front

4. Odd

Back

i =

Front

square root of -1

Back

x/0 =

Front

undefined

Back

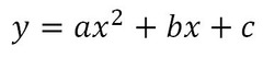
Quadratic Functions

Front

our output variable will always be squared. Parabola Two inputs make the same output (3^2 and -3^2)

Back

x^a * y^a = (xy)^a

Front

When multiplying different numbers but are raised to the SAME POWER, then just multiply the bases together.

Back

Alternative to Completing the Square

Front

In x(squared) + ax = y, move y over to the left hand side: x(squared) + ax + y = 0. Then complete the square.

Back

Determining Prime Factors

Front

To make sure you try every necessary potential factor, take the square root of the number you are trying to determine is prime. Any integer equal to or less than the square root will be a potential factor, but you do not have to try any numbers higher.

Back

SAT Integer Strategies

Front

1.Make sure the question requires an integer. 2. Use real numbers if you forget your integer rules. 3. Keep your work organized.

Back

When solving a Special Topics problem,....

Front

Treat the sin/cos/tan variables as a unit (as a whole)

Back

Parabola Direction with C

Front

C = y-intercept of the parabola (when b=0, the y-intercept will also be the vertex of the parabola)

Back

Prime Numbers

Front

1 is NOT a prime number 2 is the ONLY even prime number

Back

Root Indicator

Front

If there is a number on the outside of a square root symbol, that represents how many numbers should be multiplied to equal the number under the square root symbol.

Back

x^a * x^b = x^[a+b]

Front

When multiplying numbers WITH THE SAME BASE raised to a power, just add the powers together.

Back

0/x =

Front

0

Back

Lines with slopes of 1 or -1

Front

Make a 45-45 triangle on the xy-plane

Back

Factoring Exponents -

Front

Any even power of x is the square of another power x9 = (x3)2

Back

No Solution (system of equations)

Front

In order for a system of equations to have no solution, the "x"values must be equal and the "y" values must be set to 1 (both variables will be equal).

Back

Pythagorean Identity

Front

sin^2 x + cos^2 x = 1

Back

Degrees to Radians Conversions

Front

360 degrees (1 360) = 2π (1 2π) 270 degrees (3/4 360) = 3π/2 or 3/2 π (3/4 2π) 180 degrees (1/2 360) = π (1/2 2π) 90 degrees (1/4 360) = π/2 or 1/2 π (1/4 2π)

Back

To Solve Absolute Value Equations

Front

Break the absolute value apart into two equations, one with a positive solution and one with a negative solution.

Back

Unknown Consecutive Numbers

Front

You can write unknown consecutive numbers out algebraically by assigning the first in the series a variable, x, and then continuing the sequence of adding 1 to each additional number.

Back

Parabola Direction with A

Front

Positive a = parabola upwards Negative a = parabola downwards Large a = skinny parabola Small a = large parabola

Back

Outliers

Front

are a small group of values that are significantly smaller or larger than the other values in the data When there are outliers in the data, the mean will be pulled in their direction (either smaller or larger) while the median remains the same.

Back

Unknown Consecutive Odd/Even Numbers

Front

This is the same as consecutive integers, only they are going up every other number instead of every number. This means there is a difference of two units between each number in the sequence instead of 1.

Back

Remainder Theorem

Front

P (x) / x-K = remainder = P(x)

Back

5. Odd + Odd =

Front

5. Even

Back

Arc Length of a Circle

Front

X/2pir = central or inscribed angle/360. Cross-mulitiply

Back

Perfect Square

Front

In a polynomial expression, two numbers that add to equal the ax term and multiply to equal the b term. x(squared) + ax + b

Back

Remainders

Front

Now we also know that, when positive consecutive integers are divided by any number, the remainders increase by 1 until they hit their highest remainder possible. When that happens, the next integer remainder resets to 0. This is because our smaller number has gone into the larger number an even number of times (which means there is no remainder).

Back

Solving Fraction, Ratio, or Proportion equations

Front

1) Identify whether the problem involves fractions or ratios 2) If a ratio question asks you to change or identify values, first find the sum of your pieces (This sum will either be your complete whole or will be a factor of your whole, if your ratio has been reduced). 3) When in doubt try to use decimals 4) Remember your special fractions

Back

Calculate Slope

Front

Use the slope triangle if you can

Back

1. Even * Even =

Front

1. Even

Back

Parabola Direction with B

Front

Positive b = left of origin Negative b = right of origin

Back

Turn a mixed fraction into an ordinary fraction

Front

You can turn a mixed fraction into an ordinary fraction by multiplying the whole number by the denominator and then adding that product to the numerator. 7 3/4 => 7*4 = 28 => 28+3 = 31 => 31/4

Back

Absolute Value

Front

An absolute value is a representation of distance along a number line, forward or backwards. This means that an absolute value equation will always have two solutions. It also means that whatever is in the absolute value sign will be positive, as it represents distance along a number line and there is no such thing as a negative distance.

Back

Completing the Square

Front

In x (squared) + ax + b, where b is unknown, find b by taking half of a and squaring that answer. Add b to the opposite side of the equation so that it stays equivalent.

Back

x ^ -y = 1/x^y

Front

A base raised to a negative exponent equals 1 divided by the base raised to the positive exponent.

Back

Imaginary Numbers will always simplify to...

Front

1, -1, i, or -i

Back

Quadratic Formula

Front

Quadratic Formula:

Back

Imaginary Numbers 1

Front

i^n = 1 if and only if n is a multiple of 4

Back

3. Even * Odd =

Front

3. Even

Back

Function

Front

A given input, sent through the function, produces a given output. f(x) = y a -> f -> b Multiple inputs can ONLY produce ONE output

Back

Linear Functions

Front

if you have a variable on the output side of the function, it cannot be raised to a power higher than 1. Line

Back

Infinite Solutions (system of equations)

Front

Each system is identical (it is the same line)

Back

Section 2

(19 cards)

Parabolas: Root Form

Front

a(x-r sub1) (x-r sub2) Average of Roots always equals the x-value of the line of symmetry. Roots are the x values that make y = 0 (x-intercepts)

Back

The Doubling-and-Halving Trick

Front

When two numbers are multiplied, dividing the one even number in half and redistributing the multiplication to the other number. 1635 = (82) *35 8 (235) [8 is half of 16 and 70 is twice 35] Sometimes, you can do this procedure twice, until the equation has a round number in it.

Back

Standard Deviation 2

Front

The only way the SD can be zero, is if all the numbers are equal to each other.

Back

Standard Deviation 6

Front

If we multiply every number by positive number K, the SD also gets multiplied by K

Back

Perpendicular Lines

Front

have opposite-signed reciprocal slopes

Back

Standard Deviation 4

Front

A set with most numbers clustered around the extremes will have a higher SD than a list with most numbers equal to or close to the mean Points close to the mean -> small SD Points far from the mean -> large SD

Back

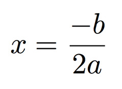
Parabolas: Equation for the line of symmetry

Front

Back

Parabolas: Roots 1

Front

A parabola that touches the x-axis twice has two solutions

Back

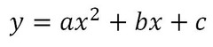
Parabolas: Standard Form

Front

Vertex and root form, FOILed out, equals standard form

Back

Standard Deviation 1

Front

Always positive or zero, never negative. (Distance is never negative)

Back

Parabolas Roots 3

Front

A parabola that doesn't touch the x-axis at all has no real solutions

Back

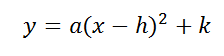
Parabolas: Vertex Form

Front

Vertex = (h,k)

Back

Range

Front

Max value - Min value

Back

Standard Deviation 3

Front

If all the numbers on the list are exactly the same distance from the mean, that distance is the SD. mean = 5 list: {2,2,2,8,8,8} (both are exactly 3 away from the mean)

Back

Parabolas:Roots 2

Front

A parabola that touches the x-axis once (at it's vertex) has one solution

Back

The Doubling-and-Halving Trick Use

Front

When one number ends in 5 or is an odd multiple of 50, doubling it would end in a round number. As long as the other number is an even number, then we take half of it, making it smaller, and the number that ended in 5 or 50 will become a round number (multiple of 10 or 100)

Back

Parabolas: Values of a

Front

+a = upward parabola -a = downward parabola Absolute value of a >1 = skinny parabola Absolute value of a<1 = wide parabola, positive fraction

Back

Standard Deviation 5

Front

If you add or subtract the same number from every number on the list, the SD doesn't change.

Back

Parallel Lines

Front

have equal slope

Back