AP Chemistry Big Idea #6

AP Chemistry Big Idea #6

memorize.aimemorize.ai (lvl 286)
Section 1

Preview this deck

You can find the pH of a STRONG acid from its...

Front

Star 0%
Star 0%
Star 0%
Star 0%
Star 0%

0.0

0 reviews

5
0
4
0
3
0
2
0
1
0

Active users

0

All-time users

0

Favorites

0

Last updated

6 years ago

Date created

Mar 1, 2020

Cards (32)

Section 1

(32 cards)

You can find the pH of a STRONG acid from its...

Front

Concentration (there is no Ka for strong acids).

Back

Half-Equivalence Point

Front

Enough base has been added to convert exactly half of the acid into conjugate base Concentration of acid is equal to the conjugate base (pH=pKa)

Back

The greater the value of Ka, the ________ the extent of the dissociation of the acid and the _______ the acid

Front

Greater Stronger

Back

when ∆G = 0, K

Front

is equal to 1

Back

Buffering Capacity

Front

the ability of a buffered solution to absorb protons or hydroxide ions without a significant change in pH; determined by the magnitudes of [HA] and [A-] in the solution (concentration)

Back

chemical equilibrium

Front

In a chemical reaction, the state in which the rate of the forward reaction equals the rate of the reverse reaction, so that the relative concentrations of the reactants and products do not change with time.

Back

when external pressure is increased, the reaction will

Front

Shift to the side with fewer gas molecules

Back

Ksp

Front

equilibrium constant for the dissociation of a sparingly soluble salt (uses M)

Back

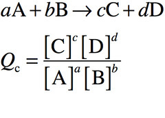
reaction quotient

Front

Ratio of the concentrations of the products to the concentrations of the reactants at any point during the reaction aside from equilibrium, where each reactant and product in the expression is raised to the power of its stoichiometric coefficient. Commonly denoted by Q.

Back

conjugate acid base pair

Front

consists of two substances related to each other by donating and accepting of a single hydrogen ion

Back

if ∆G < 0 (negative), then K

Front

Greater than 1 Products will be favored at equilibrium

Back

The equilibrium expression omits_______ and _______.

Front

Solids and liquids

Back

equivalence point

Front

the center of the vertical region of the titration curve where the moles of the base = moles of the acid

Back

when the external pressure is decreased, the reaction will

Front

Shift to the side with more gas molecules

Back

Law of Mass Action

Front

The rate of a chemical reaction is proportional to the product of the concentrations of the reactants (the same as an equilibrium expression)

Back

Common way to cause a pressure shift on a reaction

Front

Change the volume of the container

Back

when both sides of the reaction have an equal amount of moles of gas, then

Front

Changing the pressure/volume has no effect on the reaction

Back

Diprotic Acid

Front

an acid that can donate two protons per molecule

Back

Equilibrium Expression

Front

the expression obtained by multiplying the product concentrations and dividing by the multiplied reactant concentrations, with each concentration raised to a power represented by the coefficient in the balanced equation; also known as the Law of Mass Action

Back

If Q < K (less than)

Front

The reaction shifts to the right producing more products while consuming reactants.

Back

Kp

Front

equilibrium constant for general gas phase reactions using pressure in atm: Kp = Kc when moles of gas does not change

Back

Oxyacid

Front

An acid that is a compound of hydrogen, oxygen, and a third element, usually a nonmetal

Back

Determining the equilibrium in a reaction when temperature is changed (2)

Front

1. Rewrite equation by adding heat to the correct side 2. If temp is INCREASED, the reaction will shift AWAY from the added energy. If the temp is DECREASED, the reaction will shift TOWARD the added energy.

Back

if ∆G > 0 (positive), then K

Front

Less than 1 Reactants will be favored at equilibrium

Back

Buffer

Front

Weak acid base conjugate pair that resists changes in pH

Back

If Q > K (greater than)

Front

The reaction shifts to the left toward increasing the reactants and consuming the products.

Back

Henderson Hasselbach Equation

Front

pH = pKa + log([A-]/[HA])

Back

Le Chatelier's Principle

Front

States that if a stress is applied to a system at equilibrium, the system shifts in the direction that relieves the stress.

Back

If Q = K

Front

The reaction is at equilibrium and the rate of the forward and reverse reactions are the same.

Back

percent ionized

Front

the ratio of the amount of a substance that is dissociated at equilibrium to the initial concentration of the substance in a solution, multiplied by 100 ; x/[HA] (100) = % ionized

Back

Common Ion effect

Front

the shift in equilibrium that is caused by adding an ion common to the system: the shift is AWAY from the ion added

Back

Solubility Product

Front

Product of the molar concentrations of dissociated ions in solution at saturation, where each ion is raised to the power of its stoichiometric coefficient. Denoted Ksp.

Back