Geometry Ch 1 - Essentials of Geometry

Geometry Ch 1 - Essentials of Geometry

memorize.aimemorize.ai (lvl 286)
Section 1

Preview this deck

regular polygon

Front

Star 0%
Star 0%
Star 0%
Star 0%
Star 0%

0.0

0 reviews

5
0
4
0
3
0
2
0
1
0

Active users

0

All-time users

0

Favorites

0

Last updated

6 years ago

Date created

Mar 1, 2020

Cards (53)

Section 1

(50 cards)

regular polygon

Front

convex, equilateral, and equiangular

Back

coplanar

Front

points that lie in the same plane

Back

angle bisector

Front

a ray that divides an angle into two congruent angles

Back

degree

Front

1/360 of a circle, used to measure angles

Back

congruent angles

Front

angles with exactly the same measure

Back

plane

Front

flat surface that extends without end in all directions and has no thickness, named with three non-collinear points

Back

equiangular

Front

all angles are congruent

Back

postulate

Front

an accepted truth, also called an axiom, canNOT be formally proven

Back

right angle

Front

an angle whose measure is exactly 90 degrees, indicated with a "box" in the corner

Back

collinear

Front

points that lie in the same line

Back

undefined terms

Front

points, lines, and planes are __________ because they cannot be made from any other figures, they are the "building blocks of geometry"

Back

10 sided polygon

Front

decagon

Back

7 sided polygon

Front

heptagon

Back

acute angle

Front

an angle whose measure is between 0 and 90 degrees

Back

complementary angles

Front

angles whose measures have a SUM of 90 degrees, they may or may not be adjacent

Back

3 sided polygon

Front

triangle

Back

perpendicular lines

Front

two lines that intersect to form a right angle

Back

supplementary angles

Front

angles whose measures have a SUM of 180 degrees, they may or may not be adjacent

Back

perpendicular bisector

Front

a line, segment, or ray that is perpendicular to a segment at its midpoint

Back

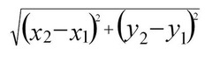
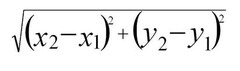
distance formula

Front

comes from the Pythagorean theorem

Back

9 sided polygon

Front

nonagon

Back

distance

Front

how far apart two points are, also called the length, if on a number line it is the absolute value of the difference of the coordinates

Back

12 sided polygon

Front

dodecagon

Back

bisect

Front

to cut into two congruent pieces

Back

6 sided polygon

Front

hexagon

Back

ray

Front

part of a line that consists of one endpoint and all the points of the line on one side of the endpoint

Back

vertical angles

Front

angles across from each other on intersecting lines, they are always congruent

Back

linear pair

Front

a pair of adjacent AND supplementary angles

Back

congruent segments

Front

segments that have the same length

Back

adjacent angles

Front

angles (in the same place) that share a common ray and a common vertex

Back

5 sided polygon

Front

pentagon

Back

line

Front

straight path that extends in opposite directions, never ends, has no thickness nor width, contains infinitely many points

Back

4 sided polygon

Front

quadrilateral

Back

intersection

Front

the point or set of points that figures have in common

Back

midpoint formula

Front

find the average of the x values and the average of the y values

Back

obtuse angle

Front

an angle whose measure is between 90 and 180 degrees

Back

segment addition postulate

Front

if three points A, B, and C are collinear and B is between A and C, then AB + BC = AC, "part + part = whole"

Back

angle addition postulate

Front

if point B is on the interior of angle AOC, then the m<AOB + m<BOC = m<AOC, "part + part = whole"

Back

equilateral

Front

all sides are congruent

Back

vertex

Front

the common endpoint of two rays, always the middle letter when naming angles with three points

Back

opposite rays

Front

two rays that share a common endpoint and form a line

Back

angle

Front

two rays with a common endpoint

Back

point

Front

indicates a location and has no shape or size

Back

non-adjacent angles

Front

angles that do not share a common ray

Back

8 sided polygon

Front

octagon

Back

straight angle

Front

an angle whose measure is exactly 180 degrees

Back

polygon

Front

many sided figure

Back

segment

Front

a measurable part of a line that consists of two endpoints and all the points between them

Back

midpoint

Front

a point that divides a segment into two congruent halves

Back

segment bisector

Front

a line, ray, or other segment that intersects a segment at its midpoint

Back

Section 2

(3 cards)

area

Front

the amount of space inside a figure

Back

perimeter

Front

the distance around a polygon

Back

circumference

Front

the distance around a circle

Back