Section 1

Preview this deck

x-intercept

Front

Star 0%
Star 0%
Star 0%
Star 0%
Star 0%

0.0

0 reviews

5
0
4
0
3
0
2
0
1
0

Active users

0

All-time users

0

Favorites

0

Last updated

6 years ago

Date created

Mar 1, 2020

Cards (35)

Section 1

(35 cards)

x-intercept

Front

A place where a function crosses the x-axis represented by x in the formula y=mx+b.

Back

vertex

Front

maximum or minimum of a quadratic

Back

absolute value

Front

The distance a number is from zero

Back

expression

Front

Back

point slope form

Front

Back

linear

Front

Equations that does not have any variables with an exponent. They form a lie when graphed.

Back

irrational numbers

Front

Back

real number

Front

all rational and irrational numbers

Back

axis of symmetry

Front

A line that divides a parabola into two congruent reflected halves.

Back

rational number

Front

1/2, .75, -2.2, 9

Back

zero exponent

Front

Back

slope intercept form

Front

Back

range

Front

All possible y values of a function

Back

Function

Front

A relation for which each output has only one input. Can be tested on the coordinate plane with the vertical line test

Back

variables

Front

x, y, or any letter that can represent a number that we don't know

Back

standard form

Front

Back

exponential form

Front

5*5

Back

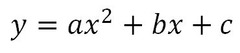
quadratic function

Front

degree of 2

Back

y-intercept

Front

A place where a function crosses the y-axis represented by b in the formula y=mx+b.

Back

linear equation

Front

forms a line when graphed

Back

terms

Front

Back

integers

Front

whole numbers and their negatives

Back

parabola

Front

U-shaped curve formed when you graph a quadratic function

Back

domain

Front

All possible x values of a function

Back

quadratic parent function

Front

y=x^2

Back

function notation

Front

examples: f(x)=3x, g(x)=5x+2 , h(x)=10

Back

scientific notation

Front

One number is in front of the decimal. It will be multiplied by 10 to some power.

Back

coefficient

Front

a number that is in front of a variable A number multiplied by a variable.

Back

whole numbers

Front

Natural numbers and zero Not negative or decimals

Back

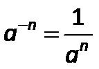
negative exponent

Front

Negative is the opposite of positive and division is the opposite of multiplication, so a number with a negative exponent should be moved to the denominator of a fraction and the exponent switched to positive.

Back

natural numbers

Front

Back

slope

Front

steepness of a line

Back

order of operations

Front

Grouping symbols, Exponents, Multiplication, Division, Addition, Subtraction

Back

coordinate plane

Front

A two-dimensional number line where the vertical line is called the y-axis and the horizontal is called the x-axis. These lines are perpendicular and intersect at their zero points called the origin.

Back

vertex of a parabola

Front

highest or lowest point in a parabola

Back