Section 1

Preview this deck

whole numbers

Front

Star 0%
Star 0%
Star 0%
Star 0%
Star 0%

0.0

0 reviews

5
0
4
0
3
0
2
0
1
0

Active users

0

All-time users

0

Favorites

0

Last updated

6 years ago

Date created

Mar 1, 2020

Cards (35)

Section 1

(35 cards)

whole numbers

Front

Natural numbers and zero Not negative or decimals

Back

slope

Front

steepness of a line

Back

range

Front

All possible y values of a function

Back

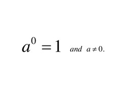
zero exponent

Front

Back

vertex

Front

maximum or minimum of a quadratic

Back

exponential form

Front

5*5

Back

y-intercept

Front

A place where a function crosses the y-axis represented by b in the formula y=mx+b.

Back

irrational numbers

Front

Back

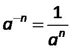
negative exponent

Front

Negative is the opposite of positive and division is the opposite of multiplication, so a number with a negative exponent should be moved to the denominator of a fraction and the exponent switched to positive.

Back

terms

Front

Back

variables

Front

x, y, or any letter that can represent a number that we don't know

Back

linear

Front

Equations that does not have any variables with an exponent. They form a lie when graphed.

Back

absolute value

Front

The distance a number is from zero

Back

vertex of a parabola

Front

highest or lowest point in a parabola

Back

rational number

Front

1/2, .75, -2.2, 9

Back

axis of symmetry

Front

A line that divides a parabola into two congruent reflected halves.

Back

standard form

Front

Back

coordinate plane

Front

A two-dimensional number line where the vertical line is called the y-axis and the horizontal is called the x-axis. These lines are perpendicular and intersect at their zero points called the origin.

Back

quadratic parent function

Front

y=x^2

Back

integers

Front

whole numbers and their negatives

Back

point slope form

Front

Back

quadratic function

Front

degree of 2

Back

real number

Front

all rational and irrational numbers

Back

slope intercept form

Front

Back

natural numbers

Front

Back

expression

Front

Back

parabola

Front

U-shaped curve formed when you graph a quadratic function

Back

scientific notation

Front

One number is in front of the decimal. It will be multiplied by 10 to some power.

Back

function notation

Front

examples: f(x)=3x, g(x)=5x+2 , h(x)=10

Back

Function

Front

A relation for which each output has only one input. Can be tested on the coordinate plane with the vertical line test

Back

domain

Front

All possible x values of a function

Back

order of operations

Front

Grouping symbols, Exponents, Multiplication, Division, Addition, Subtraction

Back

linear equation

Front

forms a line when graphed

Back

x-intercept

Front

A place where a function crosses the x-axis represented by x in the formula y=mx+b.

Back

coefficient

Front

a number that is in front of a variable A number multiplied by a variable.

Back