AP Calculus AB notecards

AP Calculus AB notecards

memorize.aimemorize.ai (lvl 286)
Section 1

Preview this deck

Exponential where d/dx [cⁿ ]

Front

Star 0%
Star 0%
Star 0%
Star 0%
Star 0%

0.0

0 reviews

5
0
4
0
3
0
2
0
1
0

Active users

0

All-time users

0

Favorites

0

Last updated

6 years ago

Date created

Mar 1, 2020

Cards (42)

Section 1

(42 cards)

Exponential where d/dx [cⁿ ]

Front

cⁿ du/dx = eⁿ ut

Back

∫ csc(u) du

Front

-ln|cscu + cotu| + c

Back

If a function is differentiable, it is continuous

Front

Back

d/dx [arcsin u]

Front

u'/√(1-u²)

Back

Tan Line Approximation

Front

y=f'(a)(x-a) + f(a)

Back

d/dx [sin x]

Front

cos x

Back

Intermediate Value Theorem

Front

If f(x) is continuous on a closed interval [a,b] and k is any number between f(a) and f(b), then there is at least one number c in [a,b] such that f(c) = k. (Used to show the existence of a zero on the interval)

Back

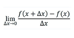
Definition of Derivative

Front

Back

Speed = |v(t)|

Front

Back

d/dx [arccsc u]

Front

-u'/|u|*√(u²-1)

Back

continuous if 3 conditions are met

Front

1) f(c) = defined 2) lim as x approaches c of f(x) exists 3) lim as x approaches c of f(x) = f(c)

Back

Special Trig Limits

Front

Back

∫ du/√(a^2 - u^2)

Front

arcsin(u/a) + c

Back

∫ tan(u) du

Front

-ln * |cosu| + c

Back

Integration Rules (14) on pg 282

Front

Back

∫ du/ u * √(u^2 - a^2)

Front

1/a * arcsec( |u| /a) + c

Back

d/dx [csc x]

Front

-cscxcotx

Back

Using trigonometric identities and properties of logarithms, you could rewrite these six integration rules ↑ in other forms

Front

ex: ∫ csc(u) du = ln|cscu - cotu| + c

Back

d/dx [arctan u]

Front

u'/(1+u²)

Back

Vertical Asymptote

Front

If f(x)→∞ (or -∞) as x→c from the right or left, then x=c is a vertical asymptote

Back

∫ du/(a^2 + u^2)

Front

1/a * arctan(u/a) + c

Back

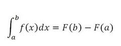
The Fundamental Theorem of Calculus

Front

If a function f is continuous on [a,b] and F is the anti-derivative of f on [a,b], then...

Back

Unit Circle

Front

https://i.pinimg.com/originals/99/22/d6/9922d68e6db185d8c86a34161ba5d68f.png

Back

d/dx [arcsec u]

Front

u'/|u|*√(u²-1)

Back

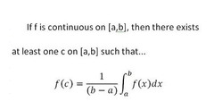
Average Value

Front

Back

If velocity & acceleration have the same sign, then speed is increasing. If velocity & acceleration have opposite signs, then the speed is decreasing.

Front

Back

Definition of Area of a Region in the Plane

Front

Remember that: △(x) = (b - a)/n and Ci = a + i * △(x) https://slideplayer.com/slide/273781/1/images/23/Definition+of+the+Area+of+a+Region+in+the+Plane.jpg

Back

∫ sec(u) du

Front

ln * |secu + tanu| + c

Back

Horizontal Asymptote

Front

If lim x→∞ f(x) = L or lim x→-∞ f(x)=L, then y=L is a horizontal asymptote.

Back

d/dx [sec x]

Front

secxtanx

Back

Extreme Value Theorem

Front

If f is continuous on the closed interval [a,b] then f has a maximum and a minimum on [a,b].

Back

∫ cot(u) du

Front

ln * |sinu| + c

Back

d/dx [arccos u]

Front

-u'/√(1-u²)

Back

d/dx [cos x]

Front

-sin x

Back

d/dx [cot x]

Front

-csc²x

Back

∫ sin(u) du

Front

-cos(u) + c

Back

d/dx [tan x]

Front

sec²x

Back

Integral of a^u

Front

∫ a^u du = 1/(ln a) * a^u + c

Back

∫ cos(u) du

Front

sin(u) + c

Back

d/dx [arccot u]

Front

-u'/(1+u²)

Back

Inverse Functions Domains and Ranges

Front

https://slideplayer.com/slide/7836148/25/images/8/Inverse+Functions+Domains+and+Ranges.jpg

Back

Derivative of an Inverse

Front

g'(x) = 1/f'(g(x)) = 1/f'(f⁻¹(x)) (where f is is the function and g is the inverse of f)

Back