AP Calculus BC Exam, AP Calculus BC

AP Calculus BC Exam, AP Calculus BC

memorize.aimemorize.ai (lvl 286)
Section 1

Preview this deck

When f '(x) is increasing, f(x) is

Front

Star 0%
Star 0%
Star 0%
Star 0%
Star 0%

0.0

0 reviews

5
0
4
0
3
0
2
0
1
0

Active users

0

All-time users

0

Favorites

0

Last updated

6 years ago

Date created

Mar 1, 2020

Cards (153)

Section 1

(50 cards)

When f '(x) is increasing, f(x) is

Front

concave up

Back

Linearization

Front

use tangent line to approximate values of the function

Back

y = x cos(x), state rule used to find derivative

Front

product rule

Back

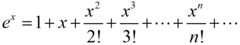
y = e^x, y' =

Front

y' = e^x

Back

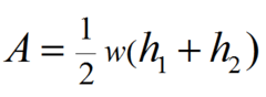
[(h1 - h2)/2]*base

Front

area of trapezoid

Back

When f '(x) changes from positive to negative, f(x) has a

Front

relative maximum

Back

To find absolute maximum on closed interval [a, b], you must consider...

Front

critical points and endpoints

Back

right riemann sum

Front

use rectangles with right-endpoints to evaluate integrals (estimate area)

Back

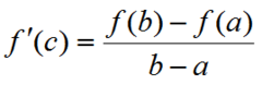
mean value theorem

Front

if f(x) is continuous and differentiable, slope of tangent line equals slope of secant line at least once in the interval (a, b) f '(c) = [f(b) - f(a)]/(b - a)

Back

rate

Front

derivative

Back

area under a curve

Front

∫ f(x) dx integrate over interval a to b

Back

Particle is moving to the left/down

Front

velocity is negative

Back

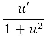
y = tan⁻¹(x), y' =

Front

y' = 1/(1 + x²)

Back

y = ln(x)/x², state rule used to find derivative

Front

quotient rule

Back

area above x-axis is

Front

positive

Back

When f '(x) is decreasing, f(x) is

Front

concave down

Back

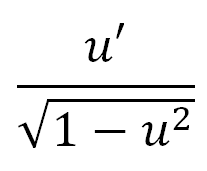
y = sin⁻¹(x), y' =

Front

y' = 1/√(1 - x²)

Back

Intermediate Value Theorem

Front

If f(1)=-4 and f(6)=9, then there must be a x-value between 1 and 6 where f crosses the x-axis.

Back

y = cot⁻¹(x), y' =

Front

y' = -1/(1 + x²)

Back

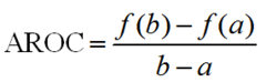
Average Rate of Change

Front

Slope of secant line between two points, use to estimate instantanous rate of change at a point.

Back

If f '(x) = 0 and f"(x) < 0,

Front

f(x) has a relative maximum

Back

indefinite integral

Front

no limits, find antiderivative + C, use inital value to find C

Back

definite integral

Front

has limits a & b, find antiderivative, F(b) - F(a)

Back

When f '(x) is positive, f(x) is

Front

increasing

Back

y = sec(x), y' =

Front

y' = sec(x)tan(x)

Back

When f '(x) changes from increasing to decreasing or decreasing to increasing, f(x) has a

Front

point of inflection

Back

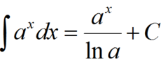
y = a^x, y' =

Front

y' = a^x ln(a)

Back

y = sin(x), y' =

Front

y' = cos(x)

Back

y = cot(x), y' =

Front

y' = -csc²(x)

Back

Quotient Rule

Front

(uv'-vu')/v²

Back

If f '(x) = 0 and f"(x) > 0,

Front

f(x) has a relative minimum

Back

Particle is moving to the right/up

Front

velocity is positive

Back

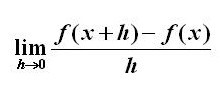
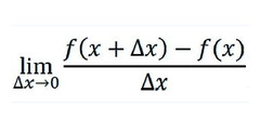
Formal definition of derivative

Front

limit as h approaches 0 of [f(a+h)-f(a)]/h

Back

y = log (base a) x, y' =

Front

y' = 1/(x lna)

Back

y = cos²(3x)

Front

chain rule

Back

Instantenous Rate of Change

Front

Slope of tangent line at a point, value of derivative at a point

Back

y = ln(x), y' =

Front

y' = 1/x

Back

y = csc(x), y' =

Front

y' = -csc(x)cot(x)

Back

trapezoidal rule

Front

use trapezoids to evaluate integrals (estimate area)

Back

When f '(x) is negative, f(x) is

Front

decreasing

Back

y = tan(x), y' =

Front

y' = sec²(x)

Back

y = cos⁻¹(x), y' =

Front

y' = -1/√(1 - x²)

Back

When is a function not differentiable

Front

corner, cusp, vertical tangent, discontinuity

Back

Alternate definition of derivative

Front

limit as x approaches a of [f(x)-f(a)]/(x-a)

Back

Chain Rule

Front

f '(g(x)) g'(x)

Back

Product Rule

Front

uv' + vu'

Back

y = cos(x), y' =

Front

y' = -sin(x)

Back

left riemann sum

Front

use rectangles with left-endpoints to evaluate integral (estimate area)

Back

absolute value of velocity

Front

speed

Back

When f '(x) changes from negative to positive, f(x) has a

Front

relative minimum

Back

Section 2

(50 cards)

alternating series test

Front

lim as n approaches zero of general term = 0 and terms decrease, series converges

Back

limit comparison test

Front

if lim as n approaches ∞ of ratio of comparison series/general term is positive and finite, then series behaves like comparison series

Back

given v(t) and initial position t = a, find final position when t = b

Front

s₁+ Δs = s Δs = ∫ v(t) over interval a to b

Back

methods of integration

Front

substitution, parts, partial fractions

Back

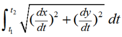
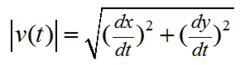
given velocity vectors dx/dt and dy/dt, find total distance travelled

Front

∫ √ (dx/dt)² + (dy/dt)² over interval from a to b

Back

6th degree Taylor Polynomial

Front

polynomial with finite number of terms, largest exponent is 6, find all derivatives up to the 6th derivative

Back

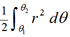
area inside polar curve

Front

1/2 ∫ r² over interval from a to b, find a & b by setting r = 0, solve for theta

Back

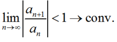
find interval of convergence

Front

use ratio test, set > 1 and solve absolute value equations, check endpoints

Back

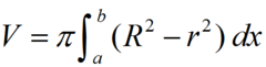
Volume of Washer

Front

Back

length of parametric curve

Front

∫ √ (dx/dt)² + (dy/dt)² over interval from a to b

Back

integral test

Front

if integral converges, series converges

Back

given velocity vectors dx/dt and dy/dt, find speed

Front

√(dx/dt)² + (dy/dt)² not an integral!

Back

To find particular solution to differential equation, dy/dx = x/y

Front

separate variables, integrate + C, use initial condition to find C, solve for y

Back

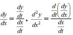
derivative of parametrically defined curve x(t) and y(t)

Front

dy/dx = dy/dt / dx/dt

Back

volume of solid of revolution - no washer

Front

π ∫ r² dx over interval a to b, where r = distance from curve to axis of revolution

Back

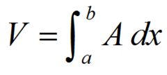
volume of solid with base in the plane and given cross-section

Front

∫ A(x) dx over interval a to b, where A(x) is the area of the given cross-section in terms of x

Back

area between two curves

Front

∫ f(x) - g(x) over interval a to b, where f(x) is top function and g(x) is bottom function

Back

p-series test

Front

general term = 1/n^p, converges if p > 1

Back

area inside one polar curve and outside another polar curve

Front

1/2 ∫ R² - r² over interval from a to b, find a & b by setting equations equal, solve for theta.

Back

given v(t) find displacement

Front

∫ v(t) over interval a to b

Back

Taylor series

Front

polynomial with infinite number of terms, includes general term

Back

slope of vertical line

Front

undefined

Back

indeterminate forms

Front

0/0, ∞/∞, ∞*0, ∞ - ∞, 1^∞, 0⁰, ∞⁰

Back

geometric series test

Front

general term = a₁r^n, converges if -1 < r < 1

Back

volume of solid of revolution - washer

Front

π ∫ R² - r² dx over interval a to b, where R = distance from outside curve to axis of revolution, r = distance from inside curve to axis of revolution

Back

use integration by parts when

Front

two different types of functions are multiplied

Back

P = M / (1 + Ae^(-Mkt))

Front

logistic growth equation

Back

ratio test

Front

lim as n approaches ∞ of ratio of (n+1) term/nth term > 1, series converges

Back

If g(x) = ∫ f(t) dt on interval 2 to x, then g'(x) =

Front

g'(x) = f(x)

Back

dP/dt = kP(M - P)

Front

logistic differential equation, M = carrying capacity

Back

use substitution to integrate when

Front

a function and it's derivative are in the integrand

Back

area below x-axis is

Front

negative

Back

given v(t) find total distance travelled

Front

∫ abs[v(t)] over interval a to b

Back

converges conditionally

Front

alternating series converges and general term diverges with another test

Back

converges absolutely

Front

alternating series converges and general term converges with another test

Back

nth term test

Front

if terms grow without bound, series diverges

Back

length of curve

Front

∫ √(1 + (dy/dx)²) dx over interval a to b

Back

Fundamental Theorem of Calculus

Front

∫ f(x) dx on interval a to b = F(b) - F(a)

Back

Volume of Disc

Front

Back

given rate equation, R(t) and inital condition when t = a, R(t) = y₁ find final value when t = b

Front

y₁ + Δy = y Δy = ∫ R(t) over interval a to b

Back

To draw a slope field,

Front

plug (x,y) coordinates into differential equation, draw short segments representing slope at each point

Back

use partial fractions to integrate when

Front

integrand is a rational function with a factorable denominator

Back

find radius of convergence

Front

use ratio test, set > 1 and solve absolute value equations, radius = center - endpoint

Back

Volume of Shell

Front

Back

L'Hopitals rule

Front

use to find indeterminate limits, find derivative of numerator and denominator separately then evaluate limit

Back

second derivative of parametrically defined curve

Front

find first derivative, dy/dx = dy/dt / dx/dt, then find derivative of first derivative, then divide by dx/dt

Back

∫ u dv =

Front

uv - ∫ v du

Back

Product rule Derivatives

Front

Back

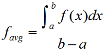
average value of f(x)

Front

= 1/(b-a) ∫ f(x) dx on interval a to b

Back

slope of horizontal line

Front

zero

Back

Section 3

(50 cards)

Average Rate of Change

Front

Back

Mean Value Theorem

Front

Back

Polar Conversion for x

Front

Back

Logistic differential

Front

Back

Lagrange Error

Front

Back

Parametric Derivatives

Front

Back

Integral test

Front

Whatever integral does, series does

Back

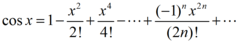
Elementary Series for cos x

Front

Back

Average Value of a Function

Front

Back

Arc Length Cartesian

Front

Back

Integral of u'/u

Front

Back

Alt. Series Error:

Front

Back

Integral of sec^2 x

Front

Back

Integral of csc^2 x

Front

Back

Integration by parts

Front

Back

p-series test

Front

Back

nth term test

Front

Back

Inst. Rate of Change

Front

Back

Integral of sin x

Front

Back

Trapezoidal Rule

Front

Back

Arc Length Parametric

Front

Back

Integral of tan x

Front

Back

Euler's Method

Front

Back

Integral of a^x

Front

Back

Limit definition of derivative with delta x

Front

Back

Total Dist.

Front

Check for turning points too!

Back

Polar Conversion for theta

Front

Back

Elementary Series for sin x

Front

Back

Limit definition of derivative with h

Front

Back

Second Fundamental Theorem

Front

Back

Arc Length Polar

Front

Back

Integral of csc x cot x

Front

Back

Geometric series test

Front

Back

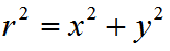
Polar Conversion for r^2

Front

Back

Intermediate Value Thm

Front

A function f that is continuous on [a,b] takes on every y-value between f(a) and f(b)

Back

Volume of Cross Section

Front

Back

Speed

Front

Back

Elementary Series for e^x

Front

Back

Polar Conversion for y

Front

Back

Integral of cos x

Front

Back

Taylor expansion

Front

Back

Logistics Equation

Front

Back

Elementary Series for ln x

Front

Back

Alternating series test

Front

terms decrease in absolute value means convergence

Back

Area of Trapezoid

Front

Back

Integral of sec x tan x

Front

Back

Integral of cot x

Front

Back

derivative of arctan u

Front

Back

Polar Area

Front

Back

derivative of arcsin u

Front

Back

Section 4

(3 cards)

Limit comparison test

Front

Back

Direct comparison test

Front

Back

Ratio test

Front

Also check each x value for IOC

Back