AP Calculus Midterm Review

AP Calculus Midterm Review

memorize.aimemorize.ai (lvl 286)
Section 1

Preview this deck

instantaneous rate of change

Front

Star 0%
Star 0%
Star 0%
Star 0%
Star 0%

0.0

0 reviews

5
0
4
0
3
0
2
0
1
0

Active users

0

All-time users

0

Favorites

0

Last updated

6 years ago

Date created

Mar 1, 2020

Cards (96)

Section 1

(50 cards)

instantaneous rate of change

Front

f'(a)

Back

derivative of cot(x)

Front

-csc²(x)

Back

∫dx

Front

x+c

Back

∫csc(x)cot(x)dx

Front

-csc(x)+C

Back

Average Rate of Change of f(x) on [a,b]

Front

find: [f(b)- f(a)]/ (b-a)

Back

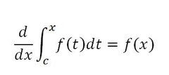
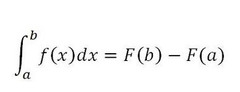
Fundamental Theorem of Calculus #1

Front

The definite integral of a rate of change is the total change in the original function.

Back

Intermediate Value Theorem

Front

If f is continuous on [a,b] and k is a number between f(a) and f(b), then there exists at least one number c such that f(c)=k

Back

piecewise function is differentiable at x=a where the function splits if

Front

a. f(x) is continuous at x=a b. lim x->a- f'(x) = x->a+ f'(x)

Back

If g(x) is the inverse of f(x), find g'(a)

Front

g'(a) = 1/f'(g(a)) aka the reciprocal of the derivative of f(x) at the corresponding point since on g(x) (a, g(a)) and on f(x) (g(a), a)

Back

Given f'(x): Is f continuous @ c? Is there an inflection point on f @ C?

Front

This is a graph of f'(x). Since f'(C) exists, differentiability implies continuouity, so Yes. Yes f' decreases on X<C so f''<0 f' increases on X>C so f''>0 A point of inflection happens on a sign change at f''

Back

f is continuous at x=c if...

Front

Back

Critical Number

Front

If f'(c)=0 or does not exist, and c is in the domain of f, then c is a critical number. (Derivative is 0 or undefined)

Back

Antiderivative of f(x) from [a,b]

Front

Back

derivative of tan(x)

Front

sec²(x)

Back

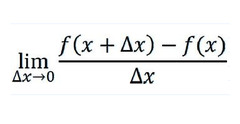
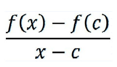
Alternative Definition of a Derivative

Front

f '(x) is the limit of the following difference quotient as x approaches c

Back

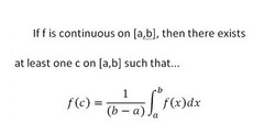
Mean Value Theorem for integrals or the average value of a functions

Front

Back

First Derivative Test for local extrema

Front

Back

Fundamental Theorem of Calculus #2

Front

Back

Point of inflection at x=k

Front

Back

Horizontal Asymptote

Front

Back

Adding or subtracting antiderivatives

Front

Back

Show that lim x->a f(x) exisits

Front

Show the limit on the left side of a = limit on the righ side of a

Back

Equation of the line tangent at x=a

Front

f'(a)=m point: (a, f(a) do y=mx+b or point-slope

Back

2nd derivative test

Front

If f'(c) = 0 and f"(c)<0, there is a local max on f at x=c. If f'(c) = 0 and f"(c)>0, there is a local min on f at x=c.

Back

Derivative of eⁿ

Front

Back

derivative of sin(x)

Front

cos(x)

Back

f(x) is differentiable if

Front

f(x) must be continuous and smooth (no corners, cusps, undefined, discontinuities)

Back

∫sec²(x)dx

Front

tan(x)+C

Back

∫sin(x)dx

Front

-cos(x)+C

Back

derivative of x

Front

1

Back

∫(1/x)dx

Front

ln|x|+C

Back

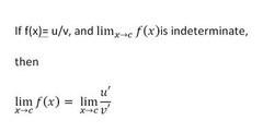
L'Hopital's Rule

Front

Back

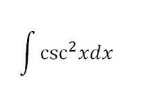
∫csc²(x)dx

Front

-cot(x)+C

Back

derivative of uvw

Front

uvw'+uv'w+u'vw

Back

Definition of a Derivative

Front

Back

derivative of f'(x)+g(x)

Front

f'(x)+g'(x)

Back

Area between two curves

Front

T(x) = upper B(x) = lower

Back

derivative of x^n

Front

nx^(n-1)

Back

∫(a^u)du

Front

ln(a)*aⁿ+C

Back

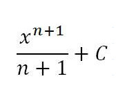
Antiderivative of xⁿ

Front

Back

Extreme Value Theorem

Front

If f is continuous on [a,b] then f has an absolute maximum and an absolute minimum on [a,b]. The global extrema occur at critical points in the interval or at endpoints of the interval.

Back

∫sec(x)tan(x)dx

Front

sec(x)+C

Back

derivative of sec(x)

Front

sec(x)tan(x)

Back

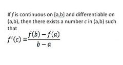
Mean Value Theorem

Front

The instantaneous rate of change will equal the mean rate of change somewhere in the interval. Or, the tangent line will be parallel to the secant line.

Back

derivative of cos(x)

Front

-sin(x)

Back

Constants in integrals

Front

Back

Intermediate Value Theorem

Front

If f is continuous on [a,b] and k is a number between f(a) and f(b), then there exists at least one number c such that f(c)=k

Back

∫cos(x)dx

Front

sin(x)+C

Back

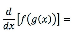
derivative of f(g(x))

Front

f'(g(x))g'(x)

Back

Derivative of ln(u)

Front

Back

Section 2

(46 cards)

LRAM

Front

evaluate function on the left side of the rectangle

Back

derivative of y = f(x)^g(x)

Front

ln both sides or dy/dx = f(x)^g(x)[g'(x)ln(f(x))+g(x)d/dx(ln(f(x))]

Back

Find the interval where f(x) is increasing or decreasing

Front

1. find critical values 2. make a sign chart

Back

Given s(t) (position function), find v(t)

Front

v(t) = s '(t)

Back

FInd displacement on [a, b]

Front

find ∫v(t)dt (net change)

Back

Find where the tangent line to f(x) is vertical.

Front

where f'(x) is undefined and f(x) is continuous.

Back

Given x=f(t), y=g(t), find dy/dx

Front

dy/dx = (dy/dt)/(dx/dt)

Back

Trapezoidal rule

Front

1/2(b₁+b₂)h where h is ∆x

Back

RRAM is an underestimate when

Front

f(x) is continuous and decreasing

Back

Given a chart of x and f(x) on selected values between a and b, estimate f'(c) where c is between a and b

Front

f'(c) is approx. [f(b)-f(a)]/(a-b)

Back

Given a picture of f'(x), find there f(x) is decreasing

Front

where f'(x) is negative (below the x-axis)

Back

given the polar curve r = f(θ), find the horizontal tangents

Front

dy/dθ = 0 as long as dx/dθ doesn't =0

Back

∫f(g(x))g'(x)dx

Front

F(g(x)) + C

Back

When different variables are changing over time..

Front

Related rates Differentiate each variable implicitly with respect to time ex. dx/dt, dy/dt

Back

find the interval where the SLOPE of f(x) is decreasing

Front

find where f''<0

Back

Given a picture of f'(x), find where f(x) is concave down

Front

where the slope of f'(x) is negative

Back

Average velocity

Front

given position: (s(b) - s(a))/(b-a) given velocity: find (1/(b-a))∫v(t)dt

Back

Given a picture of f'(x), find where f(x) has a local max

Front

where f'(x) crosses from positive to negative

Back

Limit definition of an integral

Front

lim n→∞ ∑f(ci)∆x where ∆x = (b-a)/n

Back

given the polar curve r = f(θ), find the vertical tangents

Front

dx/dθ = 0 as long as dy/dθ doesn't =0

Back

Given a picture of f'(x), find where f(x) is concave up

Front

where the slope of f'(x) is positive

Back

MRAM

Front

evaluate the function at the midpoint of the rectangle

Back

Given a picture of f'(x), find where f(x) has a local min

Front

where f'(x) crosses from negative to positive

Back

If lim x→a f(x)/g(x) approaches 0/0 or ∞/∞

Front

L'Hopital

Back

RRAM

Front

evaluate function on the right side of the rectangle

Back

particle is at rest when

Front

v(t) = 0 or x'(t) = y'(t) = 0

Back

Given x=f(t), y=g(t), find horizontal tangents

Front

dy/dt = 0 as long as dx/dt doesn't =0

Back

particle is speeding up when

Front

v(t) and a(t) have the same sign

Back

Derivative of a^x

Front

a^x ln(a)

Back

If lim x→a f(x) - g(x) approaches ∞-∞

Front

1. make one fraction 2. L'Hopital

Back

find the inverval where the SLOPE of f(x) is increasing

Front

find where f''>0

Back

Find where the tangent line to f(x) is horizontal.

Front

Set derivative = 0

Back

Given a picture of f'(x), find there f(x) is increasing

Front

where f'(x) is positive (above the x-axis)

Back

Trapezoidal Rule is an underestimate when

Front

f(x) is continuous and concave down

Back

To minimize or maximize anything

Front

1. Find critical values 2. use a number line as needed

Back

If lim x→a (f(x))^ g(x) approaches ∞^∞, 0^0, 1^∞, 0^∞

Front

1.

Back

To find where f(x) is concave up/down

Front

1. Find PPOIs 2. sign chart

Back

Given x=f(t), y=g(t), find d^2y/dx^2

Front

d^2y/dx^2 = [d/dt(dy/dx)]/(dx/dt)

Back

derivative of inverse tangent

Front

1/(1+x^2)

Back

derivative of inverse sin

Front

1/sqrt(1-x^2)

Back

Use implicit differentiation when

Front

you can't solve for 'y' easily *use chain rule - multiply by dy/dx when you take the derivative of y

Back

LRAM is an underestimate when

Front

f(x) is continuous and increasing

Back

If lim x→a f(x)g(x) approaches 0

Front

1. make a fraction 2. L'Hopital

Back

find dy/dx given the polar curve r = f(θ)

Front

(dy/dθ)/(dx/dθ)=[f'(θ)sinθ +f(θ)cosθ]/[f'(θ)cosθ -f(θ)sinθ]

Back

Given x=f(t), y=g(t), find the vertical tangents

Front

dx/dt = 0 as long as dy/dt doesn't =0

Back

Find the total distance traveled on [a, b]

Front

find ∫|v(t)|dt (total change)

Back