Algebra 2 Math Terms

Algebra 2 Math Terms

memorize.aimemorize.ai (lvl 286)
Section 1

Preview this deck

irrational number

Front

Star 0%
Star 0%
Star 0%
Star 0%
Star 0%

0.0

0 reviews

5
0
4
0
3
0
2
0
1
0

Active users

0

All-time users

0

Favorites

0

Last updated

6 years ago

Date created

Mar 1, 2020

Cards (27)

Section 1

(27 cards)

irrational number

Front

a number that can NOT be expressed as a fraction; includes decimals that never end or repeat - Pi or any square root of an imperfect square are considered irrational

Back

coefficient

Front

A number multiplied by a variable in an algebraic expression.

Back

rational number

Front

Any number that can be written as a fraction; includes natural, whole, and integer numbers; includes decimals that end or repeat

Back

variable

Front

A letter that represents a value that can change or vary

Back

range

Front

All of the output or y values in a function

Back

quadratic formula

Front

-b±[√b²-4ac]/2a

Back

standard form

Front

when the terms of a polynomial are arranged in 1) alphabetical order and 2) exponential order (from largest to smallest)

Back

coordinate plane

Front

A coordinate system formed by the intersection of a horizontal number line, called the x-axis, and a vertical number line, called the y-axis.

Back

vertex

Front

the point where the axis of symmetry and the graph of a quadratic meet

Back

domain

Front

All of the input or x values in a function

Back

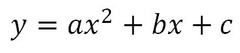
quadratic function

Front

A function that can be written in the form f(x) = ax2+bx+c, where a,b,and c are real numbers and a ≠ 0

Back

x-intercept

Front

x coordinate of a point where a graph crosses the x axis; y coordinate of this point is zero

Back

constant term

Front

A value that does not change; an integer without a variable in an expression or equation

Back

radical

Front

another name for a square root

Back

function

Front

A relation in which each element of the domain is paired with exactly one element in the range

Back

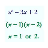
factoring (quadratic)

Front

reverse distribution of a quadratic function

Back

GCF

Front

The greatest number/variable that is a factor of each of two or more numbers.

Back

algebraic expression

Front

A mathematical phrase made up of terms; each term is separated by a + or -

Back

polynomial

Front

another name for an algebraic expression; special cases include monomial (one term), binomial (two terms), and trinomial (3 terms)

Back

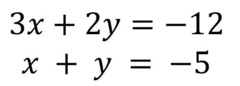
system of linear equations

Front

Two or more linear equations to be solved at the same time (with the same variables)

Back

axis of symmetry

Front

the line that divides the parabola into two matching halves; x=-b/2a; the x-value of the vertex

Back

slope

Front

Rise over run; The steepness of a line on a graph; (y₂-y₁)/(x₂-x₁)

Back

parabola

Front

the graph of a quadratic function

Back

y-intercept

Front

y-coordinate of a point on a line that crosses the y-axis; when x = 0 (ex: (0,3))

Back

term

Front

A number, a variable, or a combination of a number and a variable

Back

like terms

Front

Expressions that contain the same variables to the same power (exponent)

Back

ordered pair

Front

A pair of numbers that can be used to locate a point on a coordinate plane, for example (3,2); also known as a coordinate or a point

Back