Section 1

Preview this deck

sever

Front

Star 0%
Star 0%
Star 0%
Star 0%
Star 0%

0.0

0 reviews

5
0
4
0
3
0
2
0
1
0

Active users

0

All-time users

0

Favorites

0

Last updated

6 years ago

Date created

Mar 1, 2020

Cards (440)

Section 1

(50 cards)

sever

Front

to cut off completely

Back

abstract

Front

theoretical or to summarize or a summary

Back

isolate

Front

to separate and make alone or single

Back

engender

Front

to create, foster

Back

digress

Front

to move away from

Back

ephemeral

Front

fleeting, or short life or duration

Back

disperse

Front

to spread out

Back

disarm

Front

to deprive of weapons or to win over, ingratiate

Back

prodigal

Front

foolishly generous, not thrifty

Back

anomalous

Front

irregular, unusual

Back

variance

Front

difference, disagreement

Back

opaque

Front

not transparent, not letting light through

Back

antagonism

Front

hostility, enmity

Back

indigenous

Front

native, originating in a place

Back

redundant

Front

repetitive, and thus unnecessary

Back

intrepid

Front

bold, fearless

Back

lucid

Front

clear, understandable

Back

plummet

Front

to fall suddenly

Back

corroborate

Front

to confirm or make certain

Back

paradox

Front

seeming contradiction or an actual contradiction

Back

feign

Front

to pretend

Back

pertinent

Front

clearly relevant

Back

impenetrable

Front

unable to penetrate, pierced

Back

desiccate

Front

to dry out, dehydrate

Back

viscous

Front

having a thick consistency, gelatinous

Back

phenomenon

Front

an occurrence

Back

circumlocution

Front

excessive speaking, wordiness

Back

synthesis

Front

the combination of diverse elements into one

Back

precursor

Front

a necessary predecessor

Back

torque

Front

rotational force, twist

Back

tacit

Front

unspoken yet understood

Back

prone

Front

inclined, or the position of lying face down

Back

dogma

Front

firmly held disbelief

Back

arbitrary

Front

random, capricious, impartial

Back

perturb

Front

to disquiet, upset

Back

profound

Front

deep, thoughtful

Back

incompatible

Front

not well matched, unsuited

Back

inherent

Front

in the essential nature of a thing

Back

antipathy

Front

strong feeling against, dislike for

Back

whimsy

Front

caprice, a playful thing

Back

eccentric

Front

unusual, strange

Back

porous

Front

having pores, having minute holes

Back

subjective

Front

relating to the mind as the subject of experience

Back

implicit

Front

implied, tacitly understood

Back

diverge

Front

to go apart in different directions

Back

specious

Front

having the deceptive look of truth

Back

defer

Front

to postpone or to submit to another

Back

discrete

Front

distinct, separate

Back

tangential

Front

peripheral, no on the subject at hand

Back

catalyst

Front

a thing that sets another in motion or causes change

Back

Section 2

(50 cards)

platitude

Front

a trite saying, bromide

Back

orate

Front

to make a speech, esp. pompously

Back

laconic

Front

few words, reticent

Back

bolster

Front

support

Back

suppress

Front

keep secret, contain, inhibit

Back

garrulous

Front

extremely talkative

Back

provocative

Front

tending to simulate

Back

cynic

Front

one who has an attitude of contempt, distrust

Back

expend

Front

to use up

Back

arduous

Front

difficult, strenuous

Back

chicanery

Front

flim-flam, trickery

Back

ingenious

Front

extremely clever, original

Back

affluent

Front

wealthy

Back

felicity

Front

happiness, pleasantness

Back

inquisitive

Front

curious, seeking knowledge

Back

jargon

Front

specialized vocabulary

Back

consummate

Front

complete, accomplish, perfect, to a high degree

Back

plasticity

Front

malleability, stretchiness

Back

mundane

Front

everything, pedestrain

Back

equivocal

Front

wavering, vacillating

Back

furtive

Front

secret, sneaky

Back

fallacy

Front

a logical flaw, mistake

Back

constrain

Front

restrict, confine

Back

superfluous

Front

excess, extra

Back

assert

Front

to state without need of proof

Back

succinct

Front

concise, stating in few words

Back

paragon

Front

an ideal, perfect model

Back

nullify

Front

negate, make invalid

Back

inhibit

Front

restrain, forbid

Back

diffuse

Front

to spread thinly, or scattered

Back

prodigy

Front

very talented child

Back

espouse

Front

to take to oneself, to adopt a belief

Back

articulate

Front

well- spoken, intelligible, speak clearly and distinctly

Back

harangue

Front

long, complaining speech

Back

placate

Front

please, pacify

Back

imperative

Front

necessary, immediately important

Back

extemporize

Front

to speak spontaneously

Back

volatile

Front

unstable, likely to explode or vaporize

Back

zeal

Front

fanatical enthusiasm

Back

refute

Front

to disprove, to argue against

Back

capitulate

Front

give in, surrender

Back

resolute

Front

determined, faithful

Back

malevolent

Front

evil, having evil intent

Back

guile

Front

cunning, trickery

Back

demur

Front

to hesitate, protest

Back

zealot

Front

one who has great enthusiasm esp for a cause

Back

obscure

Front

to hide or hidden, vague, not easily understood

Back

obsequious

Front

sycophantic-flatter, fawning

Back

coherent

Front

intelligible, consistent

Back

dubious

Front

doubtful, questionable

Back

Section 3

(50 cards)

component

Front

essential element

Back

disingenuous

Front

seemingly honest while not being so

Back

pandemonium

Front

noisy chaos, bedlam

Back

incipient

Front

beginning, budding

Back

nuance

Front

slight distinction

Back

alloy

Front

mixture esp of metal

Back

multifarious

Front

diverse, of great variety

Back

conform

Front

adapt or compliant with

Back

affiliation

Front

connecting, association

Back

correspond

Front

to match, to conform, to parallel

Back

connoisseur

Front

one who appreciates fine things

Back

shard

Front

fragment esp glass or pottery

Back

fracas

Front

riot, fight

Back

objective

Front

empirically provable, existing independently

Back

jeer

Front

taunt, deride

Back

convoluted

Front

intricate, coiled, twisted

Back

euphemism

Front

mild word or phrase substituted for an offensive one

Back

consolidate

Front

to join together, merge

Back

depletion

Front

lessening

Back

plethora

Front

multiplicity, excessive amount

Back

bombast

Front

pompous speech

Back

labyrinth

Front

maze

Back

precedent

Front

earlier example setting a rule

Back

subordinate

Front

depending on, subservient

Back

pervasive

Front

throughout, in every part

Back

authentic

Front

genuine, trustworthy

Back

nexus

Front

connection, center

Back

antithesis

Front

direct opposite

Back

stereotype

Front

generalized judgment of a group

Back

sporadic

Front

occasional, infrequent

Back

prologue

Front

introductory passage

Back

eclectic

Front

having varying elements

Back

paradigm

Front

model, theoretical framework

Back

gist

Front

general meeting, essence

Back

apposite

Front

relevant, to the point

Back

pedantic

Front

overly scholarly

Back

eradicate

Front

to eliminate completely

Back

gratuitous

Front

uncalled for, not warranted

Back

trivial

Front

minor, not important

Back

negligible

Front

insignificant, not to be considered

Back

misanthrope

Front

one who hates humanity

Back

decorous

Front

in good taste, very proper

Back

heterogeneous

Front

mixed, made up of unlike elements

Back

inextricable

Front

not able to be untangled

Back

definitive

Front

authoritative

Back

arrogant

Front

overbearing, proud

Back

dissent

Front

to disagree

Back

propriety

Front

appropriateness, social acceptability

Back

heretic

Front

one who holds unorthodox or unapproved beliefs

Back

comprehensive

Front

all inclusive

Back

Section 4

(50 cards)

reciprocate

Front

to give and take, to return, to pay back

Back

bucolic

Front

pastoral, relating to country life

Back

cessation

Front

stoppage, ceasing

Back

aberrant

Front

deviating from the norm

Back

flaccid

Front

limp, drooping

Back

exigent

Front

needing swift action

Back

susceptible

Front

prone to, open to

Back

propensity

Front

inclination

Back

proliferate

Front

multiply, procreate

Back

nugatory

Front

negligible, having no effect

Back

fabricate

Front

to create

Back

adjourn

Front

to suspend, as a meeting

Back

relinquish

Front

to let go of, give up

Back

riveting

Front

commanding full attention, fascinating

Back

endow

Front

to grant, as a gift

Back

prevalent

Front

common, frequent

Back

acculturate

Front

to adapt to a culture

Back

inopportune

Front

not timely, inappropriate

Back

fledging

Front

young, inexperienced

Back

alacrity

Front

promptness, eagerness

Back

enumerate

Front

to count

Back

conflate

Front

to blend together, esp a text

Back

fallow

Front

barren, not cultivated or sown

Back

ubiquitous

Front

everywhere, in all places

Back

fusion

Front

merging of diverse parts into a whole

Back

dichotomy

Front

separation into two parts

Back

incubation

Front

period of gestation

Back

troupe

Front

group of performers

Back

colossus

Front

giant statue, very large thing

Back

maverick

Front

intrepid person, innovator

Back

orthodox

Front

adhering to a strict set of beliefs

Back

anachronism

Front

a thing or person out of place in time

Back

connive

Front

to conspire, to be in secret sympathy with

Back

unassailable

Front

not questionable, not doubtable

Back

seminal

Front

original or relating to seed or semen

Back

stasis

Front

stagnation, equilibrium

Back

viable

Front

capable of living, capable of working

Back

sequential

Front

in order, arranged serially

Back

recalcitrant

Front

stubborn, defiant

Back

labile

Front

unstable, open to change

Back

collaborate

Front

to work together, cooperate

Back

intrinsic

Front

essential nature of a thing

Back

synchronous

Front

at the same time

Back

renegade

Front

an outlaw, one who is unconventional

Back

dynamic

Front

in motion

Back

equilibrium

Front

state of balance

Back

dimension

Front

property of space, as in height, width, depth

Back

supersede

Front

to supplant

Back

crusade

Front

a zealous campaign for a cause

Back

quorum

Front

number of members of a governing body necessary in order to proceed

Back

Section 5

(50 cards)

nadir

Front

low point, point opposite the zenith

Back

stipple

Front

speckle or fleck esp with paint, effect of many small dots

Back

egress

Front

exit

Back

lactate

Front

to produce milk

Back

accelerate

Front

speed up

Back

recumbent

Front

lying down, resting

Back

facade

Front

false front

Back

pigment

Front

coloring element in paint

Back

amorphous

Front

without shape, unclassifiable

Back

precipitate

Front

sudden or steep, rain, snow, to bring about suddenly

Back

burgeon

Front

to bloom, flourish

Back

secrete

Front

give off or to hide

Back

obtuse

Front

difficult to understand, unable to understand, stupid

Back

halcyon

Front

happy, prosperous, peaceful

Back

spectrum

Front

range of all colors, complete range

Back

rift

Front

a gap or fissure

Back

contigeous

Front

adjacent with, borders touching

Back

buttress

Front

supporting piece of a structure, strengthen, support

Back

ellipse

Front

oval

Back

errant

Front

wandering, traveling

Back

mosaic

Front

picture made of many small parts such as tiles

Back

peripheral

Front

outside, surrounding, auxiliary

Back

strata

Front

layer

Back

iridescent

Front

having shiny rainbow colors, shimmery

Back

lateral

Front

sideways, on the side

Back

reconnaissance

Front

survey, esp military action

Back

avert

Front

turn away, avoid

Back

transcendental

Front

abstract, supernatural

Back

welter

Front

chaotic mess

Back

pied

Front

multi- colored and blotchy

Back

nucleate

Front

to cluster, to form a nucleus

Back

occlude

Front

to obstruct, block up

Back

stagnant

Front

stale, foul, motionless

Back

tenuous

Front

not solid, weak

Back

constrict

Front

to compress, contract

Back

converge

Front

come together, merge

Back

striate

Front

to stripe

Back

placid

Front

quiet, calm

Back

rudimentary

Front

basic

Back

tortuous

Front

twisting, winding, tricky

Back

florid

Front

flowery or reddish

Back

tepid

Front

lukewarm, room temperature

Back

recapitulate

Front

to repeat, sum up

Back

dormant

Front

asleep, inactive

Back

impalpable

Front

not physical, not able to be touched

Back

saunter

Front

to walk in an easygoing swagger

Back

transpose

Front

change from one place to mode to another

Back

pulverize

Front

smash into dust

Back

cyclical

Front

periodic and repeating

Back

amble

Front

walk leisurely

Back

Section 6

(50 cards)

falter

Front

stumble, hesitate

Back

aerate

Front

to supply or combine with oxygen or air

Back

turbid

Front

muddy, obscurd

Back

ludicrous

Front

ridiculous, absurd

Back

censure

Front

disapprove, condemn, disapproval, condemnation

Back

inane

Front

silly, empty-headed

Back

dilettante

Front

amateur, dabbler

Back

impunity

Front

without fear of punishment

Back

pungent

Front

strong tasting or smelling

Back

discord

Front

argument, strife

Back

ascetic

Front

austere, disciplined

Back

hydrate

Front

add water

Back

reprobate

Front

depraved, condemned

Back

altruism

Front

unselfish behavior

Back

arid

Front

dry

Back

vituperate

Front

scold with excessively harsh language

Back

ostensible

Front

apparent, under pretext

Back

carrion

Front

animal remains

Back

ferrous

Front

with iron

Back

resuscitate

Front

to revive, renew

Back

forage

Front

look for food

Back

candor

Front

straightforwardness, sincerity

Back

naivete

Front

unsophisticatedness, artlessness

Back

fatuous

Front

foolish, silly

Back

implausible

Front

not believable

Back

quisling

Front

traitor

Back

doctrine

Front

creed, belief

Back

probity

Front

honesty

Back

hedonist

Front

one who lives for pleasure

Back

tirade

Front

long, harsh, highly critical speech

Back

perspicacious

Front

keen, mentally sharp

Back

artlessness

Front

crudeness, naturalness

Back

cloying

Front

sweet, sentimental

Back

belie

Front

contradict, give false cover to

Back

gourmand

Front

one who likes to eat alot

Back

vapid

Front

uninteresting, without liveliness

Back

profligate

Front

extravagent, prodigal

Back

pontifical

Front

like a pontiff, pope, extremely authoritative

Back

juggernaut

Front

large vehicle that crushes anything in its path

Back

veracity

Front

truthfulness

Back

indictment

Front

formal charge against a person

Back

monolith

Front

a single, huge structure, or a large organization acting as one force

Back

proscribe

Front

condemn, forbid

Back

peruse

Front

study thoroughly

Back

relic

Front

remnant, souvenir, venerated object

Back

cogitate

Front

to think hard, ponder

Back

obdurate

Front

stubborn, unfeeling

Back

redolent

Front

aromatic, having an odor

Back

emollient

Front

lotion that moisturizes

Back

demise

Front

death, cessation

Back

Section 7

(50 cards)

chauvinist

Front

extreme patriot, one who believes one group is superior to another

Back

timorous

Front

timid, fearful

Back

adulation

Front

admiration

Back

retract

Front

take back, recant

Back

countenance

Front

face, expression or allow to happen

Back

concur

Front

agree

Back

travesty

Front

mockery, parody

Back

aggrandize

Front

praise greatly, make seem greater

Back

ideology

Front

set of beliefs

Back

daunt

Front

subdue or tame

Back

inadvertence

Front

oversight, unwillingness

Back

castigate

Front

scold severely

Back

querulous

Front

complaining, whining

Back

unprepossessing

Front

homely, plain

Back

limpid

Front

clear, serene, transparent`

Back

lionize

Front

make much of

Back

levity

Front

lightness, good humor

Back

concede

Front

to yield, grant

Back

approbation

Front

praise, approval

Back

contend

Front

fight with, oppose

Back

oblivious

Front

unknowing, unheeding

Back

discreet

Front

having good judgment, prudent

Back

sybil

Front

witch

Back

aesthetic

Front

artistic, relating to beauty

Back

derision

Front

scorning, ridicule

Back

meticulous

Front

extremely careful, fastidious

Back

effrontery

Front

boldness

Back

intuitive

Front

known through immediate insight not gained through rational thought

Back

affable

Front

friendly, pleasant

Back

tentative

Front

hesitantm, uncertain

Back

intelligible

Front

understandable, comprehensible

Back

spurious

Front

false, fradulent

Back

pique

Front

offense, resentment, provoke or excite

Back

truculent

Front

ferocious, extremely harsh

Back

solicitude

Front

over-attentive care, anxiety

Back

peer

Front

equal

Back

arcane

Front

secret, esoteric

Back

disquiet

Front

disturb or upset

Back

temperament

Front

disposition, sensibility

Back

prescience

Front

ability to foretell events

Back

commodious

Front

having ample space

Back

exacerbate

Front

aggravate, make worse

Back

redoubtable

Front

formidable, illustrious

Back

contrite

Front

sorry, repentant

Back

vindictive

Front

vengeful, spiteful

Back

prattle

Front

babble, as a child

Back

urbane

Front

sophisticated, wordly

Back

culpable

Front

deserving of blame

Back

scruple

Front

have moral qualms about, moral principle

Back

grandiloquent

Front

having high sounding speech

Back

Section 8

(50 cards)

circuitous

Front

round-about, indirect

Back

verbiage

Front

excessive wordiness

Back

intransigent

Front

stubborn, uncompromising

Back

runic

Front

like runes, mysterious, secret

Back

vernacular

Front

common speech, ordinary language

Back

cryptic

Front

encoded, secret, indecipherable

Back

prevaricate

Front

lie

Back

parry

Front

fend off, dodge

Back

abscond

Front

run away secretly

Back

ambivalent

Front

uncertain, having conflicting feelings

Back

reticent

Front

not talkative

Back

flagrant

Front

bold, open, apparent

Back

allusive

Front

referring to or hinting t something esp in literature

Back

fluctuate

Front

vary widely

Back

caprice

Front

impulsive action, whim

Back

diffident

Front

shy, reserved

Back

seine

Front

fishnet

Back

esoteric

Front

hidden, available only to the initiate

Back

simulate

Front

imitate, make seem real

Back

latent

Front

potential, hidden quality

Back

prate

Front

chatter, talk meaninglessly

Back

loquacioius

Front

extremely talkative and articulate

Back

adamant

Front

hard, unyielding, very hard stone

Back

shirk

Front

neglect or ignore

Back

impromptu

Front

spontaneous, spur of the moment

Back

concise

Front

exact

Back

amenable

Front

agreeable, obediant

Back

tapestry

Front

decorative wall hanging

Back

eclipse

Front

overshadowing, esp sun or moon

Back

terse

Front

short, curt

Back

elusive

Front

difficult to find or pin down

Back

proctor

Front

one who supervises students at an exam

Back

vestige

Front

remnant, trace

Back

voluble

Front

fluent, talkative

Back

apocryphal

Front

spurious, not genuine

Back

discourse

Front

conversation, long paper or speech on a subject

Back

fickle

Front

changeable, not constant

Back

hallmark

Front

distinguishing mark

Back

salient

Front

noticeable, prominent

Back

gregarious

Front

outgoing, friendly

Back

charade

Front

pretense

Back

elucidate

Front

make clear, explain

Back

conundrum

Front

riddle, puzzle

Back

superfluity

Front

excess

Back

erudition

Front

knowledge, esp gained from books

Back

implacable

Front

not able to be changed

Back

tout

Front

solicit or promote

Back

dissemble

Front

lie

Back

hyperbole

Front

excessive exaggeration

Back

obstinate

Front

stubborn, unmoving

Back

Section 9

(50 cards)

inveigle

Front

acquire through sneakiness

Back

Given that

Front

premise

Back

tantalize

Front

tease, give taste of

Back

Required

Front

Necessary

Back

Only

Front

Necessary

Back

Could be true - opposite

Front

Cannot be true

Back

In that

Front

premise

Back

inconsistent

Front

2 things that cannot be true

Back

Cannot be false - opposite

Front

not necessarily true

Back

Every

Front

sufficient

Back

predestine

Front

determined ahead of time

Back

Then

Front

Necessary

Back

Must be false - opposite

Front

could be true

Back

Could be false - opposite

Front

Must be true

Back

Whenever

Front

sufficient

Back

Must be false - def

Front

cannot be true

Back

For

Front

premise

Back

Not necessarily false - def

Front

could be true

Back

Not necessarily false - opposite

Front

cannot be true

Back

For example

Front

premise

Back

Cannot be true - opposite

Front

could be true

Back

avarice

Front

greed

Back

consistent

Front

2 things that CAN be true

Back

Except

Front

Necessary

Back

Since

Front

premise

Back

Must

Front

Necessary

Back

piquant

Front

spicy, as in hot sauce, stimulating, provocative

Back

People who

Front

sufficient

Back

aspiration

Front

hope, ambition, breathing in

Back

Until

Front

Necessary

Back

instigate

Front

urge, incite

Back

Only if

Front

Necessary

Back

If in order to

Front

sufficient

Back

When

Front

sufficient

Back

this can be seen by

Front

premise

Back

Not necessarily true - opposite

Front

must be true

Back

All

Front

sufficient

Back

Could be false - def

Front

not necessarily true

Back

Unless

Front

Necessary

Back

Must be true - opposite

Front

not necessarily true

Back

For the reason that

Front

premise

Back

proclivity

Front

tendency

Back

Any

Front

sufficient

Back

Owing to

Front

premise

Back

Because

Front

premise

Back

As indicated by

Front

premise

Back

Without

Front

Necessary

Back

Due to

Front

premise

Back

Cannot be false - def

Front

Must be true

Back

profuse

Front

plentiful

Back

Section 10

(50 cards)

Sierra goes for a walk if and only if Columbine goes for a walk.

Front

Both or us go or neither of us go

Back

impugn

Front

Dispute the truth

Back

product of

Front

causal term

Back

We know it is cold if it is snowing.

Front

If S happens then C happens

Back

inculcate

Front

Instill by persistent instruction

Back

efficacy

Front

the capacity to produce an effect

Back

played a role in

Front

causal term

Back

unprecedented

Front

Never done or known before

Back

promoted by

Front

causal term

Back

If wrens are in the forest, then so are grosbeaks.

Front

W--> G or no G --> no W

Back

A and B tend to occur together, so A must cause B.

Front

Common Causal Flaw

Back

h --> ~ s

Front

s --> not h can have none but not both

Back

It is snowing only if it is cold.

Front

If S happens then C happens

Back

~h --> s

Front

not s --> h can have both but must have at least one

Back

determined by

Front

causal term

Back

Sara cannot be second unless Trang is first.

Front

If S is second then T is first. Or if T is not first then S is not second. (Get rid of the cannot - arrow through the unless)

Back

caused by

Front

causal term

Back

R → B

Front

No person who buys the red shirt does not buy the blue shirt. If someone buys the red shirt, that person buys the blue shirt. In other words, buying the blue shirt is a necessary condition for buying the red shirt. Since it is impossible to buy the red shirt without also buying the blue shirt, buying the blue shirt is a necessary condition for buying the red shirt. In other words, one can't buy the red shirt without buying the blue shirt, too.

Back

If it is snowing, then it must be cold.

Front

If S happens then C happens.

Back

If jays, martins, or both are in the forest, then so are harriers.

Front

J or M --> H or no H --> no J and no M

Back

On the day after the day

Front

2 days next to each other

Back

immediately/far

Front

be on the look out

Back

responsible for

Front

causal term

Back

A occurred before B, so A must have caused B.

Front

Common Causal Flaw

Back

Weaken a causal argument

Front

Provide an alternate cause Show that cause and effect are reversed Show there is no causal relationship (merely a coincidence)

Back

preceding

Front

come before

Back

Wendy appears in every photograph that Selma appears in.

Front

S -> W

Back

Cannot/Unless

Front

Get rid of the cannot - arrow through the unless

Back

induced by

Front

causal term

Back

Reading Comprehension pay attention

Front

What's interesting What questions would you ask yourself Any ideas that are compared or contrasted Predictions

Back

reason for

Front

causal term

Back

Some + Some

Front

some or most

Back

Most

Front

51% or more

Back

is an effect of

Front

causal term

Back

transgression

Front

A violation of a law, command, or duty

Back

It cannot snow unless it is cold.

Front

If S happens then C happens

Back

Jameson does not attend the concert unless Steve does.

Front

J --> S

Back

Most + Most

Front

Some

Back

leads to

Front

causal term

Back

If harriers are in the forest, then grosbeaks are not.

Front

H --> no G or G --> no H (not both)

Back

some/most

Front

be on the look out

Back

Fewer than three

Front

two or less

Back

petulance

Front

irritable, peevish, or impatient

Back

was a factor in

Front

causal term

Back

A is one possible cause, so A must be the only cause.

Front

Common Causal Flaw

Back

Some

Front

1 to everyone

Back

produced by

Front

causal term

Back

Raimundo appears in every photograh that Yakira does not appear in

Front

Not Y--> R

Back

Reading comprehension 4 points

Front

Cast of Characters Author's Opinion Main Idea Passage Structure

Back

because of

Front

causal term

Back

Section 11

(50 cards)

If the statements above are true, which one of the following CANNOT be true?

Front

Cannot Be True

Back

Of the following, which one most accurately expresses the main point of the argument?

Front

Main Point

Back

Prescriptive Conclusion

Front

Prescriptive Conclusionsstate what "should" or "ought" to be the case. Prescriptive Conclusions are always some form of recommendation.

Back

Which one of the following is an assumption required by the argument above?

Front

Assumption

Back

If the statements above are true, which one of the following must be false?

Front

Cannot Be True

Back

The main point of the argument is that

Front

Main Point

Back

Which one of the following can be properly inferred from Rosen's statement?

Front

Must Be True

Back

Types of Descriptive Conclusion

Front

1. Assertions of Truth 2. Comparisons 3.Predictions 4.Conditionals

Back

Which one of the following, if true, most seriously weakens the reasoning above?

Front

Weaken

Back

Which one of the following, if true, most strongly supports the statement above

Front

Strengthen

Back

Comparison

Front

In a Comparison, the author makes a claim about one thing in relation to another thing. "This advantage makes B.t. toxins preferable tochemical insecticides for use as components of insect pest management programs." "On the basis of these results the official concluded that the new pesticide was more effective thanthe old pesticide, at least in the short term, in limiting the loss of certain fruit to insects."

Back

If the statements above are true, which one of the following must also be true?

Front

Must Be True

Back

The statements above, if true, most strongly support which one of the following?

Front

Must Be True

Back

How should you attack a Method of Argument question?

Front

1. Identify what the question is asking you to do. What is your job? 2. Engage the stimulus as directed by the question. How do you do your job? 3. Consider the requirements of the correct answer. What should the correct answer look like? 4. Evaluate the choices looking for the correct answer. Which answer looks like your prediction? Eliminate answer choices that do not accurately describe the author's method of reasoning.

Back

Which one of the following arguments is most similar in its pattern of reasoning to the argument above?

Front

Parallel

Back

Which one of the following describes the technique of reasoning used above?

Front

Method

Back

Which one of the following, if true, most helps to explain the viewpoint of the historians described above?

Front

Resolve

Back

The reasoning in the astronomer's argument is flawed because this argument

Front

Flaw

Back

The answer to which one of the following questions would contribute most to an evaluation of the argument?

Front

Evaluate

Back

Socrates is a man All men are mortal

Front

Socrates is mortal

Back

Larew and Mendota disagree about whether

Front

Point at Issue

Back

Which one of the following, if true, would provide the most support for the economists' assertion?

Front

Strengthen

Back

The argument is flawed because it

Front

Flaw

Back

The answer to which one of the following questions would most help in evaluating the columnist's argument?

Front

Evaluate

Back

Which one of the following, if true, most strengthens the argument?

Front

Strengthen

Back

What is the evidence and the conclusion? It is inaccurate to say that a diet high in refined sugar cannot cause adult-onset diabetes, since a diet high in refined sugar can make a person overweight, and being overweight can predispose a person to adult-onset diabetes.

Front

Evidence: A diet high in refined sugar can make a person overweight. Being overweight can predispose a person to adult-onset diabetes. Conclusion: It is inaccurate to say that a diet high in refined sugar cannot cause adult-onset diabetes. Method of Argument: It is inaccurate to say that A cannot cause C because A can cause B and B can cause C.

Back

Which one of the following, if true, would most effectively resolve the apparent paradox above?

Front

Resolve

Back

Which one of the following, if assumed, allows the conclusion above to be properly drawn?

Front

Justify

Back

Conditional

Front

In a Conditional, the author states the conclusion in terms of, "if...then..." "Clearly, ifyou buy a Sturdimade, you can rely on being able to drive it for a very long distance." "So ifthey were not so brittle, one could reliably determine a rattlesnake's age simply from the number of sections in its rattle."

Back

Which one of the following can be properly inferred from the passage?

Front

Must Be True

Back

Any language learned by the geologist is learned by the the historian.

Front

g --> h

Back

Two types of Conclusions

Front

Descriptive or Prescriptive which are either absolute or possible.

Back

No budget committee member serves on the planning committee.

Front

P -->not B

Back

Which one of the following arguments is most similar in its pattern of reasoning to the argument above?

Front

Parallel

Back

Absolute Certainty

Front

Absolute Something definitely is or is not the case. A course of action should definitely be undertaken.

Back

The advertisement proceeds by

Front

Method

Back

Prediction

Front

In a Prediction, the author states what will happen or what is likely to happen in the future. "So once humans begin to tap into this tremendous source of creativity and innovation, many problems that today seem insurmountable will be within our ability to solve."

Back

Recommendation Conclusion

Front

In a Recommendation, the author proposes a course of action. "Additional restrictions should be placed on driver's licenses of teenagers." "So individuals who want to reduce their risk of cancer should reduce their fat intake."

Back

Neither giraffes nor bears are on display

Front

no giraffes and no bears. Make sure that you are looking at the NOT ~ conditional.

Back

Possible Certainty

Front

Something is likely or maybe the case. A course of action should perhaps be undertaken.

Back

Tautology

Front

needless repetition of an idea, statement, or word

Back

The dialogue most supports the claim that Tony and Raoul disagree about whether

Front

Point at Issue

Back

Some professors at the school teach Spanish. Some Spanish teachers have been to Spain.

Front

This tells you nothing because you don't know that the Spanish teachers are from the school.

Back

Which one of the following, if assumed, would allow the conclusion to be properly drawn?

Front

Justify

Back

Sue challenges Anne's reasoning by

Front

Method

Back

Which one of the following is an assumption required by the argument above?

Front

Assumption

Back

Ways that author supports conclusion.

Front

Offer an alternative explanation? Eliminate possible alternative explanations? Apply a general principle to a specific case? Argue by analogy? Use an example to prove a point? Cite a relevant authority?

Back

Define Assertion of Truth

Front

In an Assertion of Truth, the author states that something is or is not the case. "So, there are always situations in which it is healthy to try to express one's anger." "Clearly, then, our patrons prefer not to eat potatoes."

Back

Each of the following, if true, supports the claim above EXCEPT

Front

Strengthen X

Back

Which one of the following, if true, most seriously weakens the argument?

Front

Weaken

Back

Section 12

(50 cards)

Which one of the following can be properly inferred from the passage?

Front

Must Be True

Back

Which one of the following can be inferred from the statement above?

Front

Must Be True

Back

Which one of the following inferences is most supported by the information above?

Front

Must Be True

Back

The statements above, if true, most strongly support which of the following?

Front

Must Be True

Back

Which one of the following is most strongly supported by the statements above, if they are true?

Front

Must Be True

Back

If the statements above are true, which one of the following must also be true?

Front

Must Be True

Back

The main point of the argument is that

Front

Main Point

Back

If all of the statements above are true, which one of the following must be true?

Front

Must Be True

Back

Which one of the following most accurately restates the main point of the passage?

Front

Main Point

Back

Which one of the following, if true, does NOT help to resolve the apparent discrepancy between the safety report and the city's public safety record?

Front

Resolve X

Back

Which one of the following, if true, most strongly supports the statement above?

Front

Strengthen

Back

Which one of the following is most strongly supported by the information above?

Front

Must Be True

Back

Which one of the following statements, if true, most weakens the speaker's argument?

Front

Weaken

Back

Which one of the following most logically completes the passage

Front

Main Point (fill in the blank)

Back

Which one of the following, if true, most strongly supports the statement above?

Front

Strengthen

Back

Which one of the following most accurately expresses the conclusion of the journalist's argument?

Front

Main Point

Back

Which one of the following most logically completes the argument?

Front

Main Point

Back

Each of the following describes a flaw in the psychologist's reasoning EXCEPT

Front

Flaw X

Back

The statements above, if true, most strongly support which one of the following?

Front

Must Be True

Back

If the statements above are true, each of the following could be true EXCEPT

Front

Cannot Be True

Back

If the information above is correct, which one of the following conclusions can be properly drawn on the basis of it?

Front

Must Be True

Back

Which one of the following, if true, is the strongest logical counter parent P can make to parent Q's objection?

Front

Weaken

Back

All of the following weakens the politician's argument EXCEPT?

Front

Weaken X

Back

Which one of the following can be logically inferred from the passage?

Front

Must Be True

Back

Each of the following, if true, supports the claim above EXCEPT:

Front

Strengthen X

Back

Which one of the following, if true, casts the most doubt on the conclusion above?

Front

Weaken

Back

Which one of the following inferences is most strongly supported by the information above?

Front

Must Be True

Back

Which one of the following is most strongly supported by the information above?

Front

Must Be True

Back

Which one of the following most accurately expresses the conclusion of the argument?

Front

Main Point

Back

Which one of the following, if true, would most call into question the analysts' explanation of the price increase?

Front

Weaken

Back

Which one of the following, if true, most calls into question the claim above?

Front

Weaken

Back

Which one of the following, if shown to be a realistic possibility, would undermine the argument?

Front

Weaken

Back

Each of the following, if true, weakens the argument EXCEPT

Front

Weaken X

Back

The educators' reasoning provides grounds for accepting which of the following statements?

Front

Must Be True

Back

If the information above is correct, which one of the following conclusions can be properly drawn?

Front

Must Be True

Back

The reasoning in the argument is most vulnerable to criticism on the grounds that the argument

Front

Flaw

Back

Which one of the following, if all of them are true is LEAST helpful in establishing that the conclusion above is properly drawn?

Front

Strengthen X

Back

The information above provides the LEAST support for which one of the following?

Front

Must Be True X

Back

Which one of the following, if true, does most to justify the conclusion above?

Front

Strengthen

Back

Which one of the following conclusions is most strongly supported by the information above?

Front

Must Be True

Back

Which one of the following, if true, LEAST strengthens the argument above?

Front

Strengthen X

Back

Which one of the following can be properly inferred from the passage?

Front

Must Be True

Back

Which one of the following, if true, most strongly strengthens the argument?

Front

Strengthen

Back

Which one of the following most accurately expresses the main conclusion of the argument?

Front

Main Point

Back

Which one of the following, if true, most undermines the researcher's argument?

Front

Weaken

Back

If the statements above are true, which one of the following must also be true?

Front

Must Be True

Back

Which one of the following most accurately expresses the main conclusion of the argument?

Front

Main Point

Back

Which one of the following, if true, most seriously weakens the argument?

Front

Weaken

Back

Which one of the following logically follows from the statements above?

Front

Must Be True

Back

Which one of the following, if true, could be used by Cora to counter Bernard's rejection of her explanation?

Front

Weaken

Back

Section 13

(50 cards)

Which one of the following is an assumption on which the columnist's argument depends?

Front

Assumption

Back

Which one of the following, if true, most helps to reconcile the safety experts' belief with the apparently contrary evidence described above?

Front

Resolve

Back

Which one of the following, if true, most supports the argument

Front

Strengthen

Back

Which one of the following, if true, most helps to resolve the apparent conflict described above?

Front

Resolve

Back

On which one of the following assumptions does the argument rely?

Front

Assumption

Back

Which one of the following, if assumed, enables the argument's conclusion to be properly inferred?

Front

Justify

Back

The conclusion above is properly drawn if which one of the following is assumed?

Front

Justify

Back

The environmentalist's conclusion would be properly drawn if it were true that the

Front

Justify

Back

Ruth responds to Jorge's criticism by

Front

Method

Back

Each of the following, if true, strengthens the toxicologist's argument EXCEPT

Front

Strengthen X

Back

Aiesha responds to Adam's argument by

Front

Method

Back

Which one of the following is an assumption required by the argument above?

Front

Assumption

Back

Which one of the following is an assumption that would serve to justify the conclusion above?

Front

Justify

Back

Which one of the following, if assumed, would allow the conclusion to be properly drawn?

Front

Justify

Back

Which one of the following, if true, most helps to explain the finding of the nicotine study?

Front

Resolve

Back

Which one of the following most accurately describes the role played in the argument by the statement that zooplankton feed upon phytoplankton?

Front

Method

Back

Which one of the following most accurately describes the relationship between Jane's argument and Mark's argument?

Front

Method

Back

The claim that people have positive or negative responses to many nonsense words plays which one of the following roles in the argument?

Front

Method

Back

Which one of the following describes the technique of reasoning used above?

Front

Method

Back

The conclusion above follows logically if which one of the following is assumed?

Front

Justify

Back

The argument proceeds by

Front

Method

Back

Which one of the following is an assumption upon which the argument depends?

Front

Assumption

Back

The method of the argument is to

Front

Method

Back

The argument assumes which one of the following?

Front

Assumption

Back

Which one of the following discoveries, if it were made, would most support the above hypothesis about South America and Africa?

Front

Strengthen

Back

The conclusion cited does not follow unless

Front

Assumption

Back

Each of the following, if true, would strengthen the argument EXCEPT

Front

Strengthen X

Back

The argument employs which one of the following reasoning techniques?

Front

Method

Back

The claim that humans are still biologically adapted to a diet of wild foods plays which one of the following roles in the nutritionist's argument?

Front

Method

Back

The phrase, "certain traits like herding ability risk being lost among pedigreed dogs" serves which one of the following functions in the argument?

Front

Method

Back

The argument derives its conclusion by

Front

Method

Back

Which one of the following, if true, would most effectively resolve the apparent paradox above?

Front

Resolve

Back

The conclusion in the passage above relies on which of the following assumptions?

Front

Assumption

Back

Which one of the following, if true, most helps to reconcile the discrepancy indicated above?

Front

Resolve

Back

Which one of the following most accurately describes a flaw in the argument's reasoning?

Front

Flaw

Back

Which one of the following, if true, most helps to resolve the apparent discrepancy in the passage above?

Front

Resolve

Back

Which one of the following is an argumentative strategy employed in the argument?

Front

Method

Back

Which one of the following, if true, most helps to explain the puzzling fact cited above?

Front

Resolve

Back

Which one of the following most accurately describes the role played in the psychologist's argument by the claim that the obligation to express gratitude cannot be fulfilled anonymously?

Front

Method

Back

Which one of the following is an assumption on which Barnes's argument depends?

Front

Assumption

Back

The argument assumes which one of the following?

Front

Assumption

Back

Which one of the following is an argumentative strategy employed in the argument?

Front

Method

Back

Which one of the following, if true, most helps to explain why raisins contain more iron per calorie than do grapes?

Front

Resolve

Back

Which one of the following, if true, enables the conclusion to be properly drawn?

Front

Justify

Back

Which one of the following, if true, would most strengthen the medical doctor's argument?

Front

Strengthen

Back

Which one of the following is an assumption that the art historian's argument requires in order for its conclusion to be properly drawn?

Front

Assumption

Back

The position taken above presupposes which one of the following?

Front

Assumption

Back

The conclusion in the passage above relies on which one of the following assumptions?

Front

Assumption

Back

Sue challenges Anne's reasoning by

Front

Method

Back

Which one of the following, if true, most helps to explain the behavior of the vervet monkeys described above?

Front

Resolve

Back

Section 14

(50 cards)

[ A _ B ] ... A in inspected __?__ B

Front

before / ahead of

Back

The reasoning above is flawed because it fails to recognize that

Front

Flaw

Back

K marches exactly three groups after J.

Front

[ J _ _ K ]

Back

Which one of the following would be most important to know in evaluating the hypothesis in the passage?

Front

Evaluate

Back

Which one of the following most accurately expresses the principle underlying the argumentation above?

Front

Justify PR

Back

The structure of the reasoning in the argument above is most parallel to that in which one of the following?

Front

Parallel

Back

The statements above, if accurate, can best be used as evidence against which one of the following hypotheses?

Front

Cannot Be True

Back

A questionable aspect of the reasoning above is that it

Front

Flaw

Back

The dialogue above lends the most support to claim that Sherrie and Fran disagree with each other about which one of the following statements?

Front

Point at Issue

Back

Which one of the following would it be most helpful to know in order to judge whether what the scientist subsequently learned calls into question the hypothesis?

Front

Evaluate

Back

The principle above, if established, would justify which one of the following judgments?

Front

Must PR

Back

Which one of the following exhibits both of the logical flaws exhibited by the argument above?

Front

Parallel Flaw

Back

Clarification of which one of the following issues would be most important to an evaluation of the skeptics' position?

Front

Evaluate

Back

[ A _ _ _ B ] ... There are exactly three spaces __?__ A and B / A and B are __?__ three spaces.

Front

between / separated by

Back

The principle above conforms most to which of the following?

Front

Strengthen PR

Back

The information above most closely conforms to which one of the following principles?

Front

Strengthen PR

Back

On the basis of their sentiment, Logan and Mendez are committed to disagreeing over whether

Front

Point at Issue

Back

The flawed pattern of reasoning in the argument above is most similar to that in which one of the following?

Front

Parallel Flaw

Back

The argument can most reasonably be interpreted as an objection to which one of the following claims?

Front

Cannot Be True

Back

D is inspected exactly two days before E is inspected.

Front

[ D _ E ]

Back

The reasoning in the argument is most vulnerable to criticism on the ground that the argument

Front

Flaw

Back

Which one of the following most accurately expresses the point at issue between Ted and Mary?

Front

Point at Issue

Back

The answer to which one of the following questions would contribute most to an evaluation of the argument?

Front

Evaluate

Back

Which one of the following arguments has a flawed pattern of reasoning most like the flawed reasoning in the argument above?

Front

Parallel Flaw

Back

Which one of the following most accurately conforms to the principle above?

Front

Must PR

Back

If the statements above are true, then which one of the following must be false?

Front

Cannot Be True

Back

Which one of the following exhibits a flawed pattern of reasoning most similar to that in the argument above?

Front

Parallel Flaw

Back

Which one of the following is most closely parallel in its reasoning to the reasoning in the argument above?

Front

Parallel

Back

Which one of the following judgments most closely conforms to the principle above?

Front

Must PR

Back

Which one of the following exhibits a pattern of reasoning most similar to that exhibited by the argument above?

Front

Parallel

Back

Each of the following principles is logically consistent with the columnist's conclusion EXCEPT

Front

Cannot PR

Back

Each of the following precepts is logically consistent with the columnist's conclusion EXCEPT

Front

Cannot PR

Back

If the statements above are true, which one of the following CANNOT be true?

Front

Cannot Be True

Back

The questionable reasoning in the argument above is most closely paralleled by that in which one of the following?

Front

Parallel Flaw

Back

Which one of the following arguments is most similar in its pattern of reasoning to the argument above?

Front

Parallel

Back

Which one of the following principles most helps to justify the reasoning above?

Front

Strengthen PR

Back

[ A _ B ] ... B is inspected __?__ A

Front

after / behind

Back

H is inspected exactly two days ahead of when L is inspected.

Front

[ H _ L ]

Back

Which one of the following arguments is most similar in its logical features to the argument above?

Front

Parallel

Back

The flawed reasoning in which one of the following is most similar to that in the commentator's argument?

Front

Parallel Flaw

Back

Which one of the following most accurately represents what is at issue between Jorge and Ruth?

Front

Point at Issue

Back

The reasoning in the argument is fallacious because the argument

Front

Flaw

Back

Which one of the following propositions most helps to justify the reasoning above?

Front

Strengthen PR

Back

If all of the claims made above are true, then each of the following could be true EXCEPT:

Front

Cannot Be True

Back

Which one of the following judgments best illustrates the principle illustrated by the argument above?

Front

Must PR

Back

Which one fo the following arguments exhibits flawed reasoning most similar to that exhibited by the argument above?

Front

Parallel Flaw

Back

F marches exactly three groups behind G.

Front

[ G _ _ F ]

Back

The pattern of reasoning displayed in the argument above is most closely paralleled by that in which one of the following arguments?

Front

Parallel Flaw

Back

Which one of the following would it be most relevant to investigate in evaluating the conclusion of George's argument?

Front

Evaluate

Back

The statements above, if true, most seriously undermine which one of the following assertions?

Front

Cannot Be True

Back

Section 15

(50 cards)

F is displayed immediately prior to G, and G is displayed at some point before I.

Front

Back

C must sit 4 chairs behind D, and E must sit 3 chairs before C.

Front

Back

What is a necessary condition?

Front

an event or circumstance whose occurrence is required in order for a sufficient condition to occur. If a sufficient occurrence occurs, then you automatically know that the necessary condition also occurs. If (sufficient), then (necessary)

Back

The "unless" rule

Front

1. Changes the other part into the opposite. 2. The part with the unless goes last.

Back

T dances sixth unless P dances third.

Front

Back

SUFFICIENT/NECESSARY CONDITIONS If you get an A+, then you must have studied.

Front

Sufficient: If you get an A + Necessary: Then you must have studied. Depicted as: A+ --> Study

Back

If J is performed fourth, K is performed sixth.

Front

Back

Either H or J must be inspected on the third day.

Front

Back

B swims immediately after F only if D does not swim immediately ahead of K.

Front

Back

Unless P swims immediately after T, J swims immediately after S.

Front

Back

What is a sufficient condition?

Front

an event or circumstance whose occurrence indicates that a necessary condition must also occur. If a sufficient occurrence occurs, then you automatically know that the necessary condition also occurs. If (sufficient), then (necessary)

Back

R jumps into the pool immediately ahead of P unless Q jumps into the pool after H.

Front

Back

If F's delivery is earlier than M's, then L's delivery is earlier than H's.

Front

Back

Unless A eats cake, B cannot eat cake.

Front

Back

Q is inspected before R is inspected but after H is inspected.

Front

H > Q > R

Back

When F dances third, then G dances 7th

Front

Back

J dances fifth only if M dances second

Front

Back

D is not inspected exactly two days before E is inspected.

Front

Back

If Kahlil performs first, then Martin performs at some time before Paulo.

Front

Back

H and Q are both inspected before R is inspected.

Front

Back

A, B, or C must be displayed on the first day.

Front

Back

First part (X --> Y)

Front

If / When

Back

G is recorded earlier than H

Front

Back

If A sits next to B, then B does not sit next to C.

Front

Most people diagram this as AB --> -B-C-. This is incorrect!

Back

H must be inspected on the third day or the fifth day.

Front

Back

Tom can sit neither immediately before nor immediately after Pat.

Front

Back

Q is inspected before R is inspected.

Front

Q > R

Back

Unless Q speaks second, G does not speak fourth.

Front

Back

Second part (X --> Y)

Front

Then / Only / Only if / Unless

Back

If R is delivered first, then X is delivered fourth.

Front

Back

Q is not inspected the day before R is inspected.

Front

Back

If R is inspected on the third day, S is not inspected on the fifth day.

Front

Back

G does not speak fourth unless Q speaks second.

Front

Back

A is not shorter than B.

Front

Back

T dances sixth only if P dances third

Front

Back

If V is displayed immediately before W, then S must be displayed third.

Front

Back

SUFFICIENT/NECESSARY CONDITIONS Unless a person studies, he or she will not receive an A+.

Front

Back

S and T are displayed on consecutive days.

Front

Back

P sings seventh only if G sings fourth.

Front

Back

Terms that introduce the necessary condition

Front

Then Only Only if Unless

Back

There are four spaces between D and H, and D is behind H.

Front

[ H _ _ _ _ D ]

Back

A is inspected before B, C, and D are inspected.

Front

Back

Laron performs second only if Nancy performs sixth.

Front

Back

Z is selected during one of the first two days.

Front

Back

Either S or T must speak on the third day.

Front

Back

P sings seventh if G sings fourth.

Front

Back

There are two days between the day Q is inspected and the day R is inspected.

Front

Back

R and Q are separated by four spaces, and R is ahead of Q.

Front

[ R _ _ _ _ Q ]

Back

If Chris goes fishing with Steve, then Jason will join them as well.

Front

Back

Terms that introduce the sufficient condition

Front

If When

Back

Section 16

(50 cards)

"Must Be False"

Front

Cannot Be True

Back

"Not Necessarily False"

Front

Could Be True

Back

[Logical Opposition] Which one of the following must be true?

Front

1 = Must Be True 4 = Not Necessarily True

Back

[Logical Opposition] Which one of the following cannot be true?

Front

1 = Cannot Be True 4 = Could Be True

Back

[Logical Opposition] If G is seated second, which one of the following could be true?

Front

1 = Could Be True 4 = Cannot Be True

Back

[Logical Opposition] If R is selected fifth, which one of the following must be true?

Front

1 = Must Be True 4 = Not Necessarily True

Back

A college dormitory manager must assign five students--P, Q, R, S, and T--to five different floors of the dormitory--floors 1, 2, 3, 5, and 6. The assignments must comply with the following restrictions: P must be assigned to the floor directly above Q. R must be assigned to floor 6.

Front

Back

Each of six patrons--L, M, N, O, P, and Q--will be assigned to exactly one of seven tables. The tables stand consecutively and are numbered 1 through 7, and each table is assigned no more than one patron. Table assignments must meet the following requirements: N cannot be assigned to table 3, 5, or 7. P and Q must sit at lower-numbered tables than M. Tables 5, 6, and 7 must be occupied by a patron. O sits at a higher-numbered table than M.

Front

Back

TIP: Always read each of the five answer choices before deciding which answer is correct. ALWAYS choose the BEST answer.

Front

TIP: On average, you have 1 minute and 25 seconds to complete each question.

Back

"Cannot Be False"

Front

Must Be True

Back

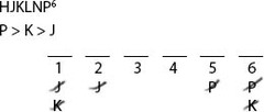
Six swimmers--H, J, K, L, N, and P--are assigned to six swimming lanes numbered 1 through 6. Exactly one swimmer is assigned to each lane. The lane assignments conform to the following conditions: Swimmer K is assigned a lower-numbered lane than is swimmer J. Swimmer P is assigned a lower-numbered lane than is swimmer K.

Front

Back

Three speakers--F, G, and H--give six consecutive one-hour speeches, two speeches per speaker. Exactly one speaker speaks during each hour. The speaker that gives the first speech must also give the second speech.

Front

Back

Six lawyers--H, J, K, L, M, and O--must speak at a convention. The six speeches are delivered one at a time, consecutively, according to the following restrictions: K and L must speak consecutively. O must speak fifth.

Front

Back

R cannot be inspected first.

Front

Back

K must be played before L. L must be played before M.

Front

Back

Seven passengers--G, H, L, M, O, P, and S are assigned to nine seats.

Front

This is a 1-1-1-1-1-1-1-1-1 relationship (underfunded). The deficit of variables can be countered by creating two "E" placeholder variables to represent the two empty seats.

Back

A doctor must see six patients--C, D, E, F, G, and H--one after another, not necessarily in that order. The patients must be seen according to the following conditions: E is seen exactly three patients after C. D is seen immediately before F is seen. * If G is seen third, which one of the following must be true?

Front

The CE split-block must be placed into slots 1-4 because if it is placed in slots 2-5 there will be no room for the DF block.

Back

Five dogs--an Akita, a Bulldog, a Cocker Spaniel, a Doberman, and an English Settler--compete in the final round of a dog show. Each dog will be shown alone to the judges exactly once in accordance with the following conditions: The Doberman can be shown neither immediately before nor immediately after the English Settler. The Akita must be shown two places before the Doberman. Which one of the following must be true? (A) If the Akita is shown third, the English Settler must be shown second. (B) If the Bulldog is shown fourth, the Akita must be shown third. (C) If the Cocker Spaniel is shown third, the English Settler must be shown first. (D) If the Doberman is shown third, the Bulldog must be shown second. (E) If the English Settler is shown second, the Cocker Spaniel must be shown fourth.

Front

Back

Each rock classic is immediately preceded on the CD by a new composition.

Front

[NR] is wrong because it doesn't state that each new composition is immediately followed by a rock classic.

Back

What is a conclusion?

Front

A statement or judgement that follows from one or more reasons. A conclusion is the point the author tries to prove by using another statement. "What is the author driving at? What does the author want me to believe? What point follows from the others?"

Back

A dance academy instructor must schedule eight dance classes--a charleston class, a foxtrot class, a jitterbug class, a limbo class, a polka class, a rumba class, a tango class, and a waltz class--for a single day. Exactly two classes will be scheduled at a time, and the scheduling must be made according to the following conditions: The limbo class and the rumba class are not scheduled for the same time. The charleston class and the polka class must be scheduled for the same time. The limbo class is scheduled at some time after the polka class. The rumba class and the waltz class are not scheduled for the same time. If the tango class is scheduled for the same time as the foxtrot class, which one of the following must be true? (A) The jitterbug class and the limbo class must be scheduled for the same time. (B) The jitterbug class and the rumba class must be scheduled for the same time. (C) The jitterbug class and the waltz class must be scheduled for the same time. (D) The limbo class and the rumba class must be scheduled for the same time. (E) The rumba class and the waltz class must be scheduled for the same time.

Front

Answer choice (B) is correct. If F is scheduled with T, then only J remains to be paired with R.

Back

Opposite of "Cannot Be True"

Front

Could Be True

Back

When M is shown first, then O is shown sixth.

Front

M1 --> O6

Back

If Q is displayed fourth, then R must be displayed second. R and S are displayed consecutively.

Front

Back

Opposite of "Not Necessarily True"

Front

Must Be True

Back

PREMISE/CONCLUSION Humans cannot live on Venus because the surface temperature is too high.

Front

P: because the surface temperature is too high. C: Humans cannot live on Venus.

Back

Opposite of "Must Be True"

Front

Not Necessarily True

Back

Dr. Saitawa schedules six patients--G, H, L, M, O, and P--for surgery during a single week on Monday through Friday. Dr. Saitawa will operate on exactly one patient each day, except for one of the days when Dr. Saitawa will operate on two patients in separate, non-simultaneous sessions.

Front

This is a 2-1-1-1-1 relationship (overloaded). One a patient has been assigned a day, it is still possible that another patient could be assigned to that day and thus the day is not "closed off" from further consideration.

Back

PREMISE/CONCLUSION The economy is in tatters. Therefore, we must end this war.

Front

P: The economy is in tatters. C: Therefore, we must end this war.

Back

What is a premise?

Front

A fact, proposition, or statement from which a conclusion is made. A premise gives a reason why something should be believed. "What reasons has the author used to persuade me? Why should I believe this argument? What evidence exists?"

Back

Opposite of "Could Be True"

Front

Cannot Be True

Back

Seven attorneys--C, D, F, G, H, J, and K--are scheduled to interview for a position with a local law firm. The seven interviews are conducted on six different days, Monday through Saturday. On one of the days two attorneys will be interviewed and on all other days exactly one attorney will be interviewed. The interview schedule must conform to the following conditions: F and K must be interviewed on the same day. J must be interviewed on Thursday. F must be interviewed after C but before G. D and H cannot be interviewed on consecutive days. K must be interviewed on either Tuesday or Friday. Which one of the following could be true? (A) C is interviewed on Wednesday. (B) C is interviewed on Friday. (C) D is interviewed on Tuesday. (D) G is interviewed on Wednesday. (E) G is interviewed on Friday.

Front

Back

"Could Be False"

Front

Not Necessarily True

Back

an argument vs. a set of facts

Front

An argument: " All professors are ethical (premise). Mason is a professor (premise). So Mason is ethical (conclusion). " A set of facts: " The Jacksonville area has just over one million residents. The Cincinnati area has almost two million residents. The New York area has almost twenty million residents. " (a set of facts does not include a conclusion)

Back

M and T must be performed on consecutive days.

Front

Back

A manager must schedule five meetings--Accounting, Finance, Management, Resources, and Training--during a single workweek, Monday through Friday. Each meeting will be scheduled for exactly one day, and exactly one meeting is held per day. The meeting schedule must observe the following constraints: The Management meeting is held the day before the Finance meeting. The Resources meeting is held at some time after the Finance meeting. The Accounting meeting is held second.

Front

Back

B is not inspected the day before C is inspected. C cannot be inspected second.

Front

Back

[Logical Opposition] Each of the following must be true except:

Front

1 = Not Necessarily True 4 = Must Be True

Back

A tutor is planning a daily schedule of individual tutoring sessions for each of six students--S, T, W, X, Y, and Z. The tutor will meet with exactly one student at a time, for exactly one hour each session. The tutor will meet students starting at 1 P.M., for six consecutive hours.

Front

This is a 1-1-1-1-1-1 relationship (balanced).

Back

A driver must pick up exactly eight passengers—P, R, S, T, V, X, Y, and Z—one at a time, not necessarily in that order. The pickups must be made in accordance with the following conditions: Either T or V must be picked up fifth. Either Y or Z must be picked up third. The driver picks up exactly one passenger between picking up T and picking up Z. S is picked up eighth when Y is picked up third. Z must be picked up ahead of T. If V is picked up fifth, which one of the following must be true? (A) P is picked up first. (B) R is picked up sixth. (C) S is picked up eighth. (D) X is picked up seventh. (E) Z is picked up sixth.

Front

Answer choice (C) is correct. If V is picked up fifth, Y must be picked up third, and when Y is picked up third then S must be picked up eighth.

Back

If Q is displayed fourth, then R must be displayed first. R and S are displayed consecutively.

Front

Back

W and X cannot speak consecutively. X must speak third of fifth.

Front

Back

Six students--T, V, W, X, Y, and Z--are scheduled to speak at a debate contest. Each student will speak exactly once, and no two speakers will speak at the same time. The schedule must satisfy the following requirements: T speaks at some time before W. X must be the fourth speaker. V speaks immediately after T.

Front

Back

There are exactly seven office buildings numbered 1 through 7 on a street. Each building is occupied by exactly one of seven companies: A, B, C, D, E, F, and G. All of the buildings are on the same side of the street, which runs from east to west. Building 1 is the westernmost building. The following restrictions apply: Company A does not occupy building 1, 3, 5, or 7. Company C occupies the building immediately to the west of Company D. Company B occupies one of the three westernmost buildings. Company F is the third building to the east of Company E. The easternmost building is not occupied by Company G.

Front

Back

A child must play five games--P, Q, R, S, and T--one after another, not necessarily in that order. The games must be played according to the following conditions: The child plays exactly two games between playing S and playing T, whether or not S is played before T. P is played immediately before Q is played.

Front

Back

A jazz band director is selecting the songs for an evening's performance. Seven songs--F, G, H, J, Q, R, and S--will be played one after another, not necessarily in that order. Each song will be played exactly once, according to the following conditions: F must be played immediately before or immediately after G. H must be played immediately before or immediately after J. S must be played fourth. G must be played after F. H must be played before J. Which one of the following cannot be true? (A) F and R are played consecutively. (B) G and Q are played consecutively. (C) H and R are played consecutively. (D) J and Q are played consecutively. (E) Q and R are played consecutively.

Front

Back

A salesman must visit five families--the Browns, the Chans, the Duartes, the Egohs, and the Feinsteins--one after another, not necessarily in that order. The visit must conform to the following restrictions: The Browns must be visited first or fifth. The Feinsteins cannot be visited third. The Chans must be visited fourth.

Front

Back

Y is inspected before both X and Z are inspected.

Front

Back

A doctor must schedule nine patients—L, M, O, P, R, S, T, V, and X—during a given week, Monday through Sunday. At least one patient must be scheduled for each day, and the schedule must observe the following constraints: M and S must be scheduled for the same day. On the day P is scheduled, P must be the only patient scheduled to see the doctor. Exactly one patient is scheduled for Wednesday. T cannot be scheduled for Thursday. If P is scheduled for Monday, then V and X must be scheduled for Saturday. R is not scheduled for Thursday unless L is scheduled for Monday. If L is scheduled for Monday, which one of the following must be true? (A) R is scheduled for Thursday. (B) V is scheduled for Saturday. (C) S is scheduled for Saturday. (D) P is not scheduled for Monday. (E) V is not scheduled for Monday. Which one of the following statements about the doctor's schedule must be true? (A) The maximum number of patients scheduled for Monday is one. (B) The maximum number of patients scheduled for Tuesday is two. (C) The maximum number of patients scheduled for Friday is three. (D) The minimum number of patients scheduled for Saturday is two. (E) The minimum number of patients scheduled for Sunday is two.

Front

Answer choice (D) is the correct answer. If L is scheduled for Monday, then according to the second rule P cannot be scheduled for Monday. Answer choice (C) is correct since the maximum number of patients that can ever be scheduled for a single day is three (3-1-1-1-1-1-1).

Back

If A sits next to B, then B does not sit next to C.

Front

Back

Section 17

(50 cards)

as a result

Front

Conclusion Indicator

Back

moreover

Front

Additional Premise Indicator

Back

since

Front

Premise Indicator

Back

for example

Front

Premise Indicator

Back

PREMISE/CONCLUSION So, as indicated by the newly released data, we should push forward with our efforts to recolonize the forest with snowy tree crickets.

Front

P: as indicated by the newly released data. C: so we should push forward with our efforts to recolonize the forest with snowy tree crickets.

Back

what's more

Front

Additional Premise Indicator

Back

PREMISE/CONCLUSION Since we need to have many different interests to sustain us, the scientists' belief must be incorrect.

Front

P: since we need to have many different interests to sustain us. C: the scientists' belief must be incorrect.

Back

PREMISE/CONCLUSION Given that the price of steel is rising, we will no longer be able to offer discounts on our car parts.

Front

P: given that the price of steel is rising C: we will no longer be able to offer discounts on our car parts

Back

PREMISE/CONCLUSION The best way of eliminating traffic congestion will not be easily found. There are so many competing possibilities that it will take millions of dollars to study every option, and implementation of most options carries an exorbitant price tag.

Front

P: There are so many competing possibilities that it will take millions of dollars to study every option, and implementation of most options carries an exorbitant price tag. C: The best way of eliminating traffic congestion will not be easily found.

Back

furthermore

Front

Additional Premise Indicator

Back

PREMISE/CONCLUSION The political situation in Somalia is unstable owing to the ability of individual warlords to maintain powerful armed forces.

Front

P: owing to the ability of individual warlords to maintain powerful armed forces. C: the political situation in Somalia is unstable.

Back

PREMISE/CONCLUSION Anne: Halley's Comet, now in a part of its orbit relatively far from the Sun, recently flared brightly enough to be seen by telescope. No comet has ever been observed to flare so far from the Sun before, so such a flare must be highly unusual. Sue: Nonsense. Usually no one bothers to try to observe comets when they are so far from the Sun. This flare was observed only because an observatory was tracking Halley's Comet very carefully.

Front

P1: Halley's Comet, now in a part of its orbit relatively far from the Sun, recently flared brightly enough to be seen by telescope. P2: No comet has ever been observed to flare so far from the Sun before C: so such a flare must be highly unusual. P: Usually no one bothers to try to observe comets when they are so far from the Sun. C: This flare was observed only because an observatory was tracking Halley's Comet very carefully.

Back

in that

Front

Premise Indicator

Back

due to

Front

Premise Indicator

Back

clearly

Front

Conclusion Indicator

Back

follows that

Front

Conclusion Indicator

Back

PREMISE/CONCLUSION Television has a harmful effect on society. This can be seen from the poor school performance of children who watch significant amounts of television and from the fact that children who watch more than six hours of television a day tend to read less than non-television watching children.

Front

P1: This can be seen from the poor school performance of children who watch significant amounts of television P2: from the fact that children who watch more than six hours of television a day tend to read less than non-television watching children. C: Television has a harmful effect on society.

Back

for

Front

Premise Indicator

Back

for this reason

Front

Conclusion Indicator

Back

PREMISE/CONCLUSION Phenylketonurics are people who cannot metabolize the amino acid phenylalanine. There are dangers associated with phenylketonuria, and products containing phenylalanine must carry a warning label that states, "Phenylketonurics: contains phenylalanine." In addition, all children in developed societies receive a phenylketonuria test at birth. Hence, at the moment, we are doing as much as possible to protect against this condition.

Front

P1: Phenylketonurics are people who cannot metabolize the amino acid phenylalanine. P2: There are dangers associated with phenylketonuria, and products containing phenylalanine must carry a warning label that states, "Phenylketonurics: contains phenylalanine." P3: In addition, all children in developed societies receive a phenylketonuria test at birth. C: Hence, at the moment, we are doing as much as possible to protect against this condition.

Back

PREMISE/CONCLUSION The rapid diminishment of the ecosystem of the Amazon threatens the entire planet. Consequently, we must take immediate steps to convince the Brazilian government that planned development projects need to be curtailed for the simple reason that these development projects will greatly accelerate the loss of currently protected land.

Front

P1: The rapid diminishment of the ecosystem of the Amazon threatens the entire planet. P2: for the simple reason that these development projects will greatly accelerate the loss of currently protected land. C: Consequently, we must take immediate steps to convince the Brazilian government that planned development projects need to be curtailed

Back

Conclusion Identification Method

Front

Because... We can conclude that...

Back

PREMISE/CONCLUSION During last nights robbery, the thief was unable to open the safe. Thus, last nights robbery was unsuccessful despite the fact that the thief stole several documents. After all, nothing in those documents was as valuable as the money in the safe.

Front

P1: During last nights robbery, the thief was unable to open the safe. P2: After all, nothing in those documents was as valuable as the money in the safe. CP: despite the fact that the thief stole several documents. C: Thus, last nights robbery was unsuccessful

Back

therefore

Front

Conclusion Indicator

Back

PREMISE/CONCLUSION We must reduce our budget due to the significant cost overruns we experienced during production.

Front

P: due to the significant cost overruns we experienced during production. C: we must reduce our budget.

Back

in addition

Front

Additional Premise Indicator

Back

owing to

Front

Premise Indicator

Back

for the reason that

Front

Premise Indicator

Back

hence

Front

Conclusion Indicator

Back

this can be seen from

Front

Premise Indicator

Back

PREMISE/CONCLUSION Every professor at Fillmore University teaches exactly one class per semester. Fillmore's Professor Jackson, therefore, is teaching exactly one class this semester. Moreover, I heard Professor Jackson say she was teaching only a single class.

Front

P1: Every professor at Fillmore University teaches exactly one class per semester. P2: Moreover, I heard Professor Jackson say she was teaching only a single class. C: Fillmore's Professor Jackson, therefore, is teaching exactly one class this semester.

Back

TIP: Always identify the conclusion, if one exists.

Front

TIP:

Back

PREMISE/CONCLUSION Wine is made by crushing grapes and eventually separating the juice from the grape skins. However, the separated juice contains impurities and many wineries do not filter the juice. These wineries claim the unfiltered juice ultimately produces a more flavorful and intense wine. Since these winemakers are experts, we should trust their judgement and not shy away from unfiltered wine.

Front

P1: Wine is made by crushing grapes and eventually separating the juice from the grape skins. P2: These wineries claim the unfiltered juice ultimately produces a more flavorful and intense wine. P3: Since these winemakers are experts CP: However, the separated juice contains impurities and many wineries do not filter the juice. C: we should trust their judgement and not shy away from unfiltered wine.

Back

we know this by

Front

Premise Indicator

Back

consequently

Front

Conclusion Indicator

Back

PREMISE/CONCLUSION Therefore, since higher debt has forced consumers to lower their savings, they now have less money to loan.

Front

P: since higher debt has forced consumers to lower their savings C: therefore, banks now have less money to loan.

Back

conclude that

Front

Conclusion Indicator

Back

because

Front

Premise Indicator

Back

must be that

Front

Conclusion Indicator

Back

PREMISE/CONCLUSION Fraud has cost the insurance industry millions of dollars in lost revenue. Thus, congress will pass a stricter fraud control bill since the insurance industry has one of the most powerful lobbies.

Front

P1: fraud has cost the insurance industry millions of dollars in lost revenue. P2: since the insurance industry has one of the most powerful lobbies. C: thus, congress will pass a stricter fraud control bill.

Back

after all

Front

Additional Premise Indicator

Back

accordingly

Front

Conclusion Indicator

Back

as indicated by

Front

Premise Indicator

Back

shows that

Front

Conclusion Indicator

Back

PREMISE/CONCLUSION Because the Vikings have the best quarterback in football, they therefore have the best offense in football. Because they have the best offense in football, they will win the Super Bowl next year.

Front

P: Because the Vikings have the best quarterback in football Sub-C: they therefore have the best offense in football C: They will win the Super Bowl next year.

Back

given that

Front

Premise Indicator

Back

PREMISE/CONCLUSION The data show that people who eat chocolate are generally happy people. As a result, more and more people are buying chocolates.

Front

P: people who eat chocolate are generally happy people. C: more and more people are buying chocolates.

Back

besides

Front

Additional Premise Indicator

Back

thus

Front

Conclusion Indicator

Back

so

Front

Conclusion Indicator

Back

Section 18

(50 cards)

despite

Front

Counter-premise Indicator

Back

begging the question

Front

You presented a circular argument in which the conclusion was included in the premise. This logically incoherent argument often arises in situations where people have an assumption that is very ingrained, and therefore taken in their minds as a given. Circular reasoning is bad mostly because it's not very good. e.g. The word of Zorbo the Great is flawless and perfect. We know this because it says so in The Great and Infallible Book of Zorbo's Best and Most Truest Things that are Definitely True and Should Not Ever Be Questioned.

Back

affirming the consequent

Front

x->y to y->x If it's a fish, then it lives under water. If it lives under water, then it must be a fish.

Back

but

Front

Counter-premise Indicator

Back

What is, the scope of an argument?

Front

The scope of an argument is the range to which the premises and conclusion encompass certain ideas. For example, consider an argument discussing a new surgical technique. The ideas of surgery and medicine are within the scope of the argument. The idea of federal monetary policy, on the other hand, would not be within the scope of the argument.

Back

What is, "to identify an inference"?

Front

It means, to identify something that must be true.

Back

deductive reasoning

Front

reasoning from the general to the particular (or from cause to effect). "Teenagers cause the most car accidents. You're a teenager, you will get in a car accident."

Back

even though

Front

Counter-premise Indicator

Back

inductive reasoning

Front

reasoning from detailed facts to general principles. e.g. All of the ice we have examined so far is cold. Therefore, all ice is cold."

Back

the fallacy of accident

Front

When a general rule is applied to a situation in which it was not intended to apply. General rule: Birds normally can fly. Fact: Penguins are birds. Therefore, penguins can fly. General rule: 55 mph speed limit on the road Fact: It's raining, there's heavy fog, and it's dark out Should we continue to go 55 mph? NO!

Back

although

Front

Counter-premise Indicator

Back

Therefore is a key word to signal

Front

Conclusion

Back

TIP- The same type of wrong answer will show up REPEATEDLY throughout the Logical Reasoning section the following are examples

Front

(A) Most art is shocking ( C ) Art used to be more shocking than it currently is ( E ) Anything that shocks is art

Back

How does the Denial Test work

Front

Deny the answer choice & see if it makes the conclusion fall apart

Back

runaway train

Front

When an argument used to support a course of action would also support more of it. The state should subsidize opera because it would be too expensive to mount productions without the extra support from public funds. (And as the train heads off into the distance, wait for the stations marked son et lumière concerts, civil war re-enactments, and gladiatorial displays. If opera is different, we need to know why.)

Back

ad hominem

Front

An attack on the person rather than on the opponent's ideas. "You shouldn't listen to him. He is an uneducated alcoholic."

Back

strawman

Front

You misrepresented someone's argument to make it easier to attack. By exaggerating, misrepresenting, or just completely fabricating someone's argument, it's much easier to present your own position as being reasonable, but this kind of dishonesty serves to undermine honest rational debate. e.g. After Will said that we should put more money into health and education, Warren responded by saying that he was surprised that Will hates our country so much that he wants to leave it defenceless by cutting military spending.

Back

All' Negated is

Front

Not all

Back

What is the difference between an inference and an assumption?

Front

inference (something that must be true) is what follows from an argument (in other words, a conclusion). P: People who read a lot of books are smart. P: David reads a lot of books. C: David is smart <-- This is an inference. An assumption (unstated premise) is what is taken for granted while making an argument. P: People who read a lot of books are smart. P: David goes to the library every day. C: David is smart. Assumption: David reads books whenever he goes to the library.

Back

bandwagon

Front

"Everyone is doing it so you should too." You appealed to popularity or the fact that many people do something as an attempted form of validation. The flaw in this argument is that the popularity of an idea has absolutely no bearing on its validity. If it did, then the Earth would have made itself flat for most of history to accommodate this popular belief. e.g. Shamus pointed a drunken finger at Sean and asked him to explain how so many people could believe in leprechauns if they're only a silly old superstition. Sean, however, had had a few too many Guinness himself and fell off his chair.

Back

When an Assumption stimulus contains formal logicstatements, think about what can be deduced from each statement. In particular, identify the contrapositive because...

Front

it is likely to be the correct answer

Back

When the conclusion introduces a term NOT mentioned in the evidence, the assumption will provide a..

Front

Logical basis for the term

Back

An Assumption is an..

Front

Unstated gap b/w the evidence and conclusion

Back

still

Front

Counter-premise Indicator

Back

tu quoque (too-KWO-kwee)

Front

AKA the appeal to hypocrisy. The "you too" argument. "How can you tell me not to join the military? You did when you were young." "Why should we listen to Brown's support for the new carpark when only last year he opposed the whole idea?" "Nicole identified that Hannah had committed a logical fallacy, but instead of addressing the substance of her claim, Hannah accused Nicole of committing a fallacy earlier on in the conversation."

Back

admittedly

Front

Counter-premise Indicator

Back

on the other hand

Front

Counter-premise Indicator

Back

red herring

Front

Something that draws attention away from the main issue. "The police should stop environmental demonstrators from inconveniencing the general public. We pay our taxes. '" "Surely global meltdown is infinitely worse than a little inconvenience?"

Back

loaded words

Front

Words which are slanted for or against the subject. Scotland stole a goal in the first half, but England's efforts were well rewarded in the second half when... Can you guess which side the reporter comes from?

Back

yet

Front

Counter-premise Indicator

Back

slippery slope fallacy

Front

not all slippery slope arguments are fallacious. if A happens, and then Z happens later, it doesn't necessarily mean that A caused Z to happen. This is a post hoc fallacy. You said that if we allow A to happen, then Z will eventually happen too, therefore A should not happen. The problem with this reasoning is that it avoids engaging with the issue at hand, and instead shifts attention to extreme hypotheticals. Because no proof is presented to show that such extreme hypotheticals will in fact occur, this fallacy has the form of an appeal to emotion fallacy by leveraging fear. In effect the argument at hand is unfairly tainted by unsubstantiated conjecture. e.g. Colin Closet asserts that if we allow same-sex couples to marry, then the next thing we know we'll be allowing people to marry their parents, their cars and even monkeys.

Back

In Formal Logic "The only " identifies

Front

Suffucient Condition

Back

in contrast

Front

Counter-premise Indicator

Back

More' Negated is

Front

Less-than or Equal

Back

post hoc fallacy

Front

False assumption that because one event occurred before another event, it must have caused that event. Bill purchases a new PowerMac and it works fine for months. He then buys and installs a new piece of software. The next time he starts up his Mac, it freezes. Bill concludes that the software must be the cause of the freeze. The Republicans pass a new tax reform law that benefits wealthly Americans. Shortly thereafter the economy takes a nose dive. The Democrats claim that the the tax reform caused the economic woes and they push to get rid of it.

Back

Because is a key word to signal

Front

Evidence

Back

loaded question

Front

You asked a question that had a presumption built into it so that it couldn't be answered without appearing guilty. Loaded question fallacies are particularly effective at derailing rational debates because of their inflammatory nature - the recipient of the loaded question is compelled to defend themselves and may appear flustered or on the back foot. e.g. Grace and Helen were both romantically interested in Brad. One day, with Brad sitting within earshot, Grace asked in an inquisitive tone whether Helen was having any problems with a drug habit.

Back

however

Front

Counter-premise Indicator

Back

appeal to authority

Front

You said that because an authority thinks something, it must therefore be true. It's important to note that this fallacy should not be used to dismiss the claims of experts, or scientific consensus. Appeals to authority are not valid arguments, but nor is it reasonable to disregard the claims of experts who have a demonstrated depth of knowledge unless one has a similar level of understanding and/or access to empirical evidence. However it is, entirely possible that the opinion of a person or institution of authority is wrong; therefore the authority that such a person or institution holds does not have any intrinsic bearing upon whether their claims are true or not. e.g. Not able to defend his position that evolution 'isn't true' Bob says that he knows a scientist who also questions evolution (and presumably isn't a primate).

Back

None' Negated is

Front

Some

Back

In Formal Logic "Requires " identifies

Front

Necessity

Back

What is an assumption?

Front

An assumption is an unstated premise. It is what must be true in order for the argument to be true.

Back

denying the antecedent

Front

x->y to (not y)->(not x) If it's a fish, then it lives under water. If it's not a fish, then it doesn't live under water.

Back

in spite of

Front

Counter-premise Indicator

Back

In Formal Logic "All " identifies

Front

Suffucient Condition

Back

To help determine what an author's conclusion is, use the

Front

One Sentence Test

Back

Since always signals

Front

Evidence

Back

whereas

Front

Counter-premise Indicator

Back

Lower case 'since' means

Front

That the preceding clause is the conclusion

Back

amphiboly

Front

The fallacy of ambiguous construction. It occurs whenever the whole meaning of a statement can be taken in more than one way, and is usually the fault of careless grammar. I met the ambassador riding his horse. He was snorting and steaming, so I gave him a lump of sugar.

Back

Section 19

(50 cards)

In Formal Logic "None " identifies

Front

Mutually Exclusive

Back

A gets out at some time after B....Scribe as...

Front

B...A

Back

A gets out at some time before B but after C....Scribe as...

Front

C...A...B

Back

Thus is a key word to signal

Front

conclusion

Back

Can be' Negated is

Front

Cannot be

Back

C: X-->Z E: Y--> Z A: ?

Front

A: A-->Y

Back

Studies suggest' signals

Front

Conclusion

Back

In Formal Logic "Never " identifies

Front

Mutually Exclusive

Back

Z is needed for Y translats to

Front

If Y ---> Z

Back

So is a key word to signal

Front

Conclusion

Back

Y needs z translats to

Front

If Y --->Z

Back

C: X-->Z E: X--> Y A: ?

Front

A: Y --> Z

Back

In Formal Logic "Bound to lead to " identifies

Front

Necessity

Back

It is clear' signals

Front

Conclusion

Back

Common Argument Structure C: The Event WILL occur E: Reason an event is likely to occur A: S: W:

Front

A:The evidence is relevant to the prediction; there isn't some other factor that's not being taken into account S: The basis for the prediction is more relevant W: Some other factor that makes the given basis for the prediction less important/less relevant

Back

All except Z are Y translats to

Front

If ~Y --> Z

Back

In Formal Logic "Must " identifies

Front

Necessity

Back

In Formal Logic "Cannot " identifies

Front

Mutually Exclusive

Back

A is a lower numbered position than B....Scribe as...

Front

A...B

Back

It follows that' signals

Front

Conclusion

Back

X if, but only if Y translats to

Front

X ---> Y AND Y---->X

Back

A gets out some time before B....Scribe as...

Front

A...B

Back

That is why' signals

Front

Conclusion

Back

If presented w/ an answer choice that is difficult to comprehend then...?

Front

The more confussing it is , the more likely the answer choice is a distracter

Back

In Formal Logic "Necessary " identifies

Front

Necessity

Back

Fewer' Negated is

Front

More than or Equal

Back

Y depends on Z translats to

Front

If Y -->Z

Back

A gets out immediately after B....Scribe as...

Front

BA

Back

Clearly is a key word that signals

Front

Conclusion

Back

Common Argument Structure C: The First thing did Cause the Second E: One thing can cause another A: S: W:

Front

A: There is no other possible explanation for the 2nd event to occur S:Eliminate other possible explanations W: Suggest an alternative explanation

Back

This shows' signals

Front

Conclusion

Back

Common Argument Structure C: One caused the other E: Two things are correlated (Occur Together) A: S: W:

Front

A:Correlation wasn't a coincidence, due to third factor, or due to reversed causation S:Eliminating the possibility of coincidence, third factor, or reversal; or stregthening the liklihood that the first really causes the 2nd W: Evidence that the correlation may really be just a coincidence, due to a third factor or reversed

Back

Without Z, Y translats to

Front

If ~Y --->Z If ~Z ---> ~Y

Back

Consequently is a key word to signal

Front

Conclusion

Back

In Formal Logic "Neither....nor " identifies

Front

Mutually Exclusive

Back

From the fact that' signals

Front

Evidence

Back

In Formal Logic "Every " identifies

Front

Suffucient Condition

Back

Common Argument Structure C: We Should/Should not... E: One reason "X" is good/bad A: S: W:

Front

A: There are no other considerations to take into account S: This reason is particularly IMPORTANT/ Eliminating another possible factor W:There is another factor that is relevant

Back

Must be' Negated is

Front

Need not be

Back

What key words in a Logical Reasoning QUESTION indicates that you should use the denial test

Front

Necessary, Depends, Required

Back

Common Argument Structure C: The event did not occur at all E: Something did no occur in a particular way A: S: W:

Front

A:The event could not have happened for any other reason S:Eliminate other possible reasons the event could have occured W:Give another possible way for the event to have occured

Back

A gets out immediately before B....Scribe as...

Front

AB

Back

Either Y or Z translats to

Front

If ~Y -->Z

Back

In Formal Logic " If " identifies

Front

Suffucient Condition

Back

In Formal Logic " Incapable" identifies

Front

Suffucient Condition

Back

In Formal Logic "Guarantees " identifies

Front

Necessity

Back

In Formal Logic " Any" identifies

Front

Suffucient Condition

Back

C: X-->W E: X--> Y E: Z --> W A: ?

Front

A: Y--> Z

Back

For is a key word to signal

Front

Evidence

Back

"After all' Signals

Front

Evidence

Back

Section 20

(50 cards)

In Formal Logic "Produces " identifies

Front

Necessity

Back

In Formal Logic "Sure to " identifies

Front

Necessity

Back

A is forth, B is seventh....Scribe as...

Front

A₄ --> B₇ B ̰₇ --> A ̰₄

Back

In Formal Logic "Incapable " identifies

Front

Mutually Exclusive

Back

In Formal Logic "Are destined to " identifies

Front

Necessity

Back

Hence is a key word to signal

Front

Conclusion

Back

Global Questions

Front

• Identify the question type: "Main idea", "Purpose", "Organization" • Task: Think big picture, Review T/S/P/MI, Consult you roadmap • You should be able to predict an answer to most Global questions • Do global questions first • Global questions are usually the first and next to last questions

Back

If George buys A, then he does not buy B....Scribe as....

Front

A ---> ~ B B ---> ~ A

Back

It is clear from" signals

Front

Evidence

Back

If A is not seventh, he is fith

Front

A ̰₇ --> A ₅ A ̰₅ -->A ₇

Back

Obviously is a key word to signal

Front

Conclusion

Back

Reading Strategically

Front

Whatever strategy you choose, you should give the passage or pair of passages at least one careful reading before answering the questions. Try to distinguish main ideas from supporting ideas, and opinions or attitudes from factual, objective information. Note transitions from one idea to the next and identify the relationships among the different ideas or parts of a passage, or between the two passages in Comparative Reading sets. Consider how and why an author makes points and draws conclusions. Be sensitive to implications of what the passages say.

Back

Abstract Rules & Considerations Exactly twice as many people are in group 1 as in group 2. ...Question you ask yourself?

Front

How many people can be in group one?

Back

In Formal Logic "Impossible " identifies

Front

Mutually Exclusive

Back

Roadmap the Text

Front

You may find it helpful to mark key parts of passages. For example, you might underline main ideas or important arguments, and you might circle transitional words—"although," "nevertheless," "correspondingly," and the like—that will help you map the structure of a passage. Also, you might note descriptive words that will help you identify an author's attitude toward a particular idea or person. • Always circle colon • Always circle a question mark

Back

If she selects G, she can select neither H nor Y...scribe as...

Front

G---> ~H and ~Y H or Y --> ~G

Back

As a result' signals

Front

Conclusion

Back

Detail Questions

Front

• Identify the question type: "According to the author", "The passage states", "the author mentions" • Task: Research the relevant text

Back

A is exactly two positions before B....Scribe as...

Front

A_B

Back

In Formal Logic "No " identifies

Front

Mutually Exclusive

Back

Inference Questions

Front

• Identify the question type: "the author implies", "the passage suggests", "likely to agree" • Task: Read between the lines, Perhaps combine statements, Identify what must follow from the passage • Inference means "must be true". It's a statement that must be true if everything in the stimulus is true. • Inference questions require you to paraphrase the relevant text or make a deduction • Common wrong answer choices; 180, faulty use of detail, extreme, out of scope • Answer inference questions after you've already picked up points with Global and Detail questions • The correct answer to an inference question doesn't require any information that isn't included in the stimulus • Valid inferences aren't necessarily mind-blowing • Beware of extreme wording in inference answer choices • The correct answer doesn't have to take the entire stimulus into account

Back

In Formal Logic "Only (if) " identifies

Front

Necessity

Back

Either A or B must be selected, but A and B cannot both be selected....scribe as...

Front

A//B

Back

If George does not buy A, then he buys B

Front

~ A --> B ~ B --> A This rule says we must have A, or B, or both

Back

In Formal Logic "Each " identifies

Front

Suffucient Condition

Back

In Formal Logic "Results in " identifies

Front

Necessity

Back

Logical Reasoning Questions

Front

• Identify the question type: Will mimic LR question types, including o strengthening / weakening - "supports" / "undermines" o Principle - "principle" o Parallel Reasoning - "analogies" • Task: Use the appropriate LR strategy

Back

Abstract Rules & Considerations J and K have at least one symptom in common...Question you ask yourself?

Front

What symptom could that be?

Back

A and B are always in the same group....scribe as...

Front

ALWAYS AB

Back

Section Strategy

Front

The most effective and efficient order approach the section: choose your passage # of questions and degree of difficulty Read the passage strategically Identify the Question Type Research the Relevant Text Make a Prediction Evaluate the Answer Choices

Back

Abstract Rules & Considerations L has greater number of symptoms than K... Question you ask yourself?

Front

How many could L have how many could K have?

Back

A is not selected unless B is selected....scribe as...

Front

A ---> B ~ B ---> ~ A

Back

Logical Function Questions

Front

• Identify the question type: "the author...primarily in order to", "primary purpose of the first passage", "best describes the function of" • Task: Looks at the context of the detail or paragraph and ask why the author put it there • Common wrong answer choices; 180, distortion, faulty use of detail

Back

Common Logical Reasoning & Reading Comp Wrong Answer Types

Front

• Extreme Language • Faulty use of detail • Outside of scope • 180 • Distortion • Half Right, Half Wrong • Irrelevant Comparison

Back

In Formal Logic "Whenever " identifies

Front

Suffucient Condition

Back

In Formal Logic "Unless " identifies

Front

Necessity

Back

In Formal Logic "Always " identifies

Front

Necessity

Back

If she selects K, she nust select M ...Scribe as ...

Front

K --> M ~M ---> ~K

Back

At least one person gets out after A but before B ....Scribe as...

Front

A_...B

Back

Question Types

Front

• Global • Detail • Inference • Logic Function • Logic Reasoning

Back

This proves that' signals

Front

Conclusion

Back

In Formal Logic "Then " identifies

Front

Necessity

Back

Exactely one person gets out b/w A and B ....Scribe as...

Front

A/B_B/A

Back

Abstract Rules & Considerations Exactly one entity is in every group. ...Question you ask yourself?

Front

Which entity could that be? Must it be? Could it be not?

Back

Approach

Front

• Identify the topic • Scope • Purpose • Main idea

Back

M got out after either V or G but not both....Scribe as...

Front

V...M...G AND G...M...V or V//G...M...G/V

Back

A is in a group with exactly two members ....scribe as...

Front

A _ _ (Boxed in)

Back

A is imediately next to B....Scribe as...

Front

AB or BA

Back

A can come neither immediately before nor immediately after B....Scribe as...

Front

AB BA (With line through them)

Back

Exactly one person gets out after A but before B....Scribe as...

Front

A_B

Back

Section 21

(16 cards)

Temporal Keywords

Front

Since Until recently Recent developments In the past Historically Traditionally

Back

Contrast Keywords

Front

But Despite Yet Although However Even So Nevertheless Whereas On the other hand Conversely Instead

Back

Opinion Keywords

Front

Believed by Thought to be Asserts Some maintain Argues that According to As X sees it The astronomers assumed

Back

Contrast Keywords

Front

; In addition Also As well Similarly Likewise

Back

Emphasis Keywords

Front

Remarkable (more / most) important Compelling Substantial Even more than

Back

Words that reveal the author's viewpoint - Negative

Front

Doubtful Unconvincing Unlikely Danger Harmful

Back

Words that reveal the author's viewpoint - Positive

Front

Cogent Completing Promising

Back

Conclusion Keywords

Front

Thus Clearly as a result And so

Back

Testing Strategy

Front

• Expect questions that reward your ability to identify points of agreement and disagreement between the passages

Back

Words that reveal the author's viewpoint - Uncertainty / Qualification

Front

Seems Appears Mysterious

Back

Numerical Keywords

Front

Three possible explanations There are two reasons for this Abrams describes a fourfold structure

Back

Comparative Reading

Front

• Two short passages • 6-8 questions

Back

Illustration Keywords

Front

: In contrast to For example

Back

Locate and use keywords

Front

• Logic - Evidence and Conclusion (Therefore..., Since...) • Contrast (However...) • Continuation (Moreover...) • Illustration (Examples of...) • Emphasis / Opinion (Critics, Voices, Even) • Sequence / Timing (Frame of reference, Dates, More Recently)

Back

Use the clues

Front

• Proper Nouns & Names; look for same key word in the text or margin notes • Line Reference; context is key. Look at the surrounding paragraph (+/- 2 sentences) • Direct Quotes; context is key. Who is quoted (author, critic) Associated Keywords • Paragraph References; consider paragraph in totality. Consider paragraph in context of larger argument • Content Clues; word or phrase of the text. What paragraph. Look for associated key words

Back

Evidence Keywords

Front

Because Since This is clear from

Back