Algebra 2 Complex Numbers

Algebra 2 Complex Numbers

memorize.aimemorize.ai (lvl 286)
Section 1

Preview this deck

2-i

Front

Star 0%
Star 0%
Star 0%
Star 0%
Star 0%

0.0

0 reviews

5
0
4
0
3
0
2
0
1
0

Active users

0

All-time users

0

Favorites

0

Last updated

6 years ago

Date created

Mar 14, 2020

Cards (18)

Section 1

(18 cards)

2-i

Front

(9-6i) - (7-5i)

Back

22-4i

Front

(2-4i)(3+4i)

Back

4 + 4i

Front

(6+i) - (2-3i)

Back

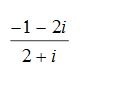
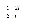
(-3 + 11i)/10

Front

Back

-9 - 7i

Front

(3 - 2i)(-1-3i)

Back

6-3i

Front

(2+3i) + (4-6i)

Back

-1-13i

Front

(4-3i) - (5+10i)

Back

(-4 - 7i)/13

Front

Back

58-30i

Front

(5+i)(10-8i)

Back

7+22i

Front

(3+2i)(5+4i)

Back

(-3 + i)/8

Front

Back

-10+10i

Front

(-2+4i) - (8-6i)

Back

2-2i

Front

(-4+i) + (6-3i)

Back

26-13i

Front

(4-7i)(3+2i)

Back

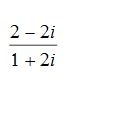
(-2 - 6i)/5

Front

Back

(-4 - 3i)/5

Front

Back

12

Front

(-2 - 2i)(-3 + 3i)

Back

13-16i

Front

(6-5i) + (7-11i)

Back