Algebra - Module 1 - Concepts

Algebra - Module 1 - Concepts

memorize.aimemorize.ai (lvl 286)
Section 1

Preview this deck

Polynomial Expression

Front

Star 0%
Star 0%
Star 0%
Star 0%
Star 0%

0.0

0 reviews

5
0
4
0
3
0
2
0
1
0

Active users

0

All-time users

0

Favorites

0

Last updated

6 years ago

Date created

Mar 1, 2020

Cards (20)

Section 1

(20 cards)

Polynomial Expression

Front

The result of two polynomials either being added or multiplied.

Back

Leading Coefficient

Front

The first constant value of a monomial

Back

Vertex Form of a Quadratic Equation

Front

y = a(x - h)² + k

Back

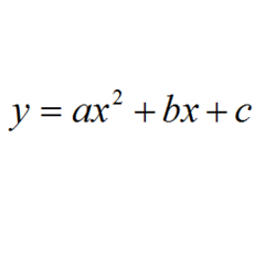
Standard Form of a Quadratic Equation

Front

ax² + bx + c = 0

Back

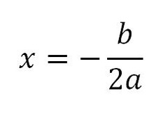
Formula for the Axis of Symmetry

Front

Back

Piecewise Linear Function

Front

The sum of all of the sub-functions of a that yield the graph of a function which only appears to be non-linear, but is the sum of linear functions.

Back

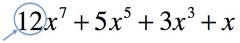
Algebraic Expression

Front

Number and/or Variable Terms separated by one of the four operations.

Back

Leading Term

Front

The first term that appears in a polynomial because of the degree of its exponent

Back

Solution to an Equation

Front

The value of a variable that when substituted within the equation, it makes the equation true.

Back

Quadratic Function

Front

A function in which the greatest power of the variable is 2.

Back

Axis of Symmetry

Front

A line that divides a figure in half so that each half is the mirror image of the other

Back

Zero Property Product

Front

The property that states that if a = b, and a * b = 0, then either a = 0, b = 0 or both a and b = 0.

Back

Standard Form of a Polynomial

Front

The order in which the exponents are listed beginning with the largest exponent first.

Back

Parabola

Front

The U-shaped graph of a quadratic function

Back

Identity Property

Front

A property of both addition and multiplication that shows that adding 0 to a number and/or multiplying a number does not change the number.

Back

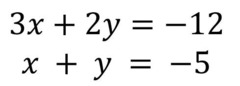
System of Equations

Front

Two or more equations that when solved will yield a solution that is true for both equations.

Back

Degree of a Polynomial

Front

The highest value of the exponents in the terms of the polynomial

Back

Degree of a Monomial

Front

The sum of the exponents of the variable symbols

Back

Constant (Term)

Front

A Value that never changes, such as number.

Back

Solution Set

Front

All the possible values which will may an equation or inequality true.

Back